Студопедия

КАТЕГОРИИ:


Архитектура-(3434)Астрономия-(809)Биология-(7483)Биотехнологии-(1457)Военное дело-(14632)Высокие технологии-(1363)География-(913)Геология-(1438)Государство-(451)Демография-(1065)Дом-(47672)Журналистика и СМИ-(912)Изобретательство-(14524)Иностранные языки-(4268)Информатика-(17799)Искусство-(1338)История-(13644)Компьютеры-(11121)Косметика-(55)Кулинария-(373)Культура-(8427)Лингвистика-(374)Литература-(1642)Маркетинг-(23702)Математика-(16968)Машиностроение-(1700)Медицина-(12668)Менеджмент-(24684)Механика-(15423)Науковедение-(506)Образование-(11852)Охрана труда-(3308)Педагогика-(5571)Полиграфия-(1312)Политика-(7869)Право-(5454)Приборостроение-(1369)Программирование-(2801)Производство-(97182)Промышленность-(8706)Психология-(18388)Религия-(3217)Связь-(10668)Сельское хозяйство-(299)Социология-(6455)Спорт-(42831)Строительство-(4793)Торговля-(5050)Транспорт-(2929)Туризм-(1568)Физика-(3942)Философия-(17015)Финансы-(26596)Химия-(22929)Экология-(12095)Экономика-(9961)Электроника-(8441)Электротехника-(4623)Энергетика-(12629)Юриспруденция-(1492)Ядерная техника-(1748)

Понятие передаточной функции




Понятие передаточной функции динамического элемента и линейной динамической системы связано с операторным методом решения дифференциального уравнения. Суть метода состоит в сведении решения дифференциального уравнения к решению алгебраического уравнения. В основе метода — переход от первоначальных функций времени x(t), y(t) к их образам X{s), Y[s) — преобразованиям Лапласа этих функций. Необходимые сведения о преобразованиях Лапласа даны в Приложении 2, здесь напомним только определение преобразования Лапласа для некоторой функции f(t):

и формулу обратного перехода от образа к оригиналу (прообразу)

Образ производной можно найти по образу функции

поэтому

В частности, при f(0) = 0 Lf. =sF(s), при

В табл. 1.1 приведены преобразования Лапласа некоторые функций.

Применим преобразование Лапласа к обеим частям уравнен и* динамического элемента (3.1.1) (пользуясь формулой (3.1.9) для образа производных):

где

откуда

где

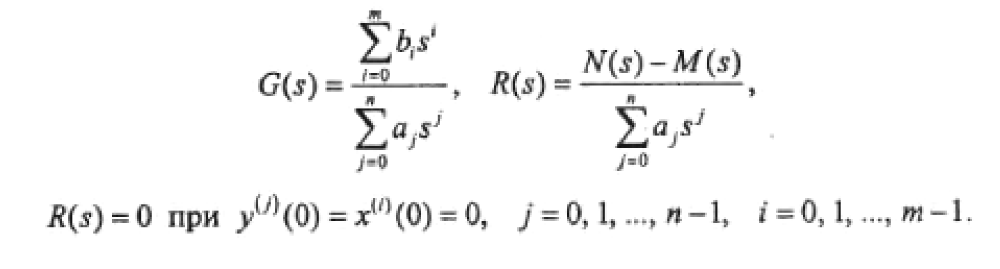
Передаточной функцией G(s) динамической системы (или подсистемы, или элемента) называется отношение образа выхода к образу входа при нулевых начальных условиях. Из (3.1.10) видно, что передаточная функция линейного динамического элемента является дробно-раиионадьной функцией параметра s. Например, переда-точная функция инерционного звена равна (см. 3.1.3)

В передаточной функции динамической системы (подсистемы, звена) содержатся все сведения о ее поведении при нулевых начальных условиях- В самом деле, по входу х(г) находим его образ X(s), затем умножаем этот образ на передаточную функцию, тем самым получаем образ выхода Y(s) = G(s) X(s) Ит наконец, пользуясь либо табл. 3.1, либо непосредственно формулой (3.1.8), определяем выход у(t). Если начальные условия ненулевые, то к этому решению еше добавится «шлейф», образ которого — R(s).

Таблица 3.1




Поделиться с друзьями:


Дата добавления: 2014-12-24; Просмотров: 397; Нарушение авторских прав?; Мы поможем в написании вашей работы!


Нам важно ваше мнение! Был ли полезен опубликованный материал? Да | Нет



studopedia.su - Студопедия (2013 - 2026) год. Все материалы представленные на сайте исключительно с целью ознакомления читателями и не преследуют коммерческих целей или нарушение авторских прав! Последнее добавление




Генерация страницы за: 0.012 сек.