Студопедия

КАТЕГОРИИ:


Архитектура-(3434)Астрономия-(809)Биология-(7483)Биотехнологии-(1457)Военное дело-(14632)Высокие технологии-(1363)География-(913)Геология-(1438)Государство-(451)Демография-(1065)Дом-(47672)Журналистика и СМИ-(912)Изобретательство-(14524)Иностранные языки-(4268)Информатика-(17799)Искусство-(1338)История-(13644)Компьютеры-(11121)Косметика-(55)Кулинария-(373)Культура-(8427)Лингвистика-(374)Литература-(1642)Маркетинг-(23702)Математика-(16968)Машиностроение-(1700)Медицина-(12668)Менеджмент-(24684)Механика-(15423)Науковедение-(506)Образование-(11852)Охрана труда-(3308)Педагогика-(5571)Полиграфия-(1312)Политика-(7869)Право-(5454)Приборостроение-(1369)Программирование-(2801)Производство-(97182)Промышленность-(8706)Психология-(18388)Религия-(3217)Связь-(10668)Сельское хозяйство-(299)Социология-(6455)Спорт-(42831)Строительство-(4793)Торговля-(5050)Транспорт-(2929)Туризм-(1568)Физика-(3942)Философия-(17015)Финансы-(26596)Химия-(22929)Экология-(12095)Экономика-(9961)Электроника-(8441)Электротехника-(4623)Энергетика-(12629)Юриспруденция-(1492)Ядерная техника-(1748)

Предмет и метод статистической науки. 1 страница




1.1 Статистика как наука.

В настоящее время под термином «статистика» чаще всего пони­мают следующее.

Статистика - это самостоятельная общественная наука, име­ющая свой предмет исследования и свои специфические методы.

Статистика - это эффективное орудие, инструмент познания. используемый в естественных и общественных науках для установ­ления тех специфических закономерностей, которые действуют в кон­кретных массовых явлениях, изучаемых данной наукой.

Статистика — это также одна из форм практической деятельнос­ти людей, цель которой - сбор, обработка и анализ массовых данных о тех или иных явлениях. Когда мы говорим: государственная и ведом­ственная статистика РФ, организация статистики в России, то как раз имеем в виду особую форму практической деятельности людей.

Статистикой называют также различного рода числовые, или, как часто говорят, цифровые, данные, характеризующие различные сто­роны жизни государства: политические отношения, культуру, населе­ние, производство и т.д.

1.2 Предмет статистической науки.

Основные черты и особенности предмета статистической науки:

1) Статистика исследует не отдельные факты, а массовые социально-экономические явления и процессы, выступающие как множества отдельных фактов, обладающих как индивидуальными, так и общими признаками. Объект статистического исследования называют статистической совокупностью. Статистическая совокупность – это множество единиц, обладающих массовостью, однородностью, определённой целостностью, взаимозависимостью состояний отдельных единиц и наличием вариации. Каждый отдельно взятый элемент данного множества называется единицей статистической совокупности. Единицы совокупности характеризуются общими свойствами, т.е. признаками. Под качественной однородностью совокупности понимается сходство единиц по каким-либо существенным признакам и различие по каким-либо другим признакам. Каждая единица совокупности обладает индивидуальными особенностями и различиями, отличающими их друг от друга, т.е. существует так называемая вариация признака.

2) Статистика изучает количественную сторону общественных явлений и процессов в конкретных условиях места и времени, т.е. предметом статистики выступают размеры и количественные соотношения социально-экономических явлений, закономерности их связи и развития.

3) Статистика характеризует структуру общественных явлений, т.е. внутреннее строение массовых явлений (статистического множества).

4) Статистика изучает изменения уровня и структуры явления во времени, т.е. в динамике.

5) Статистика выявляет связи между явлениями и процессами. Под статистической закономерностью принято понимать форму проявления причинной связи, выражающейся в последовательности, регулярности, повторяемости событий с достаточно высокой степенью вероятности.

Таким образом, статистика – это общественная наука, которая изучает количественную сторону качественно определённых массовых социально-экономических явлений и процессов, их структуру и распределение, размещение в пространстве, движение во времени, выявляя действующие количественные зависимости, тенденции и закономерности, причем в конкретных условиях места и времени.

 

1.3 Метод статистики.

Статистическая методология – система приёмов и методов, направленных на изучение количественных закономерностей, проявляющихся в структуре, динамике и взаимосвязях социально-экономических явлений.

Статистическое исследование состоит из трёх стадий:

1) Статистическое наблюдение;

2) Первичная обработка, сводка и группировка результатов наблюдения;

3) Анализ полученных сводных материалов.

Прохождение каждой стадии исследования связано с использованием специальных методов, объясняемых содержанием выполняемой работы.

1) Метод массовых наблюдений. Статистическое наблюдение – научно организованный сбор сведений об изучаемых социально-экономических процессах или явлениях. Полученные данные являются исходным материалом для выполнения последующих этапов статистического исследования. Эти данные необходимо обработать определённым образом. Такая обработка является следующей стадией статистического исследования.

2) Метод статистических группировок и таблиц. Сводка исходных данных для получения обобщающих характеристик исследуемого процесса или явления. Результаты статистической сводки и группировки излагаются в виде статистических таблиц.

3) Методы анализа с помощью обобщающих показателей. Статистический анализ – заключительная стадия статистического исследования. В его процессе исследуется структура, динамика и взаимосвязи общественных явлений и процессов. Выделяют следующие основные этапы анализа:

Констатация фактов и их оценка;

Установление характерных черт и причин явления;

Сопоставление явления с другими явлениями;

Формулирование гипотез, выводов и предположений;

Статистическая проверка выдвинутых гипотез с помощью специальных статистических показателей.

Общая теория статистики – наука о наиболее общих принципах, правилах и законах цифрового освещения социально-экономических явлений. Она является методологической основой всех отраслей статистики.

1.4 Задачи статистики в условиях перехода к рыночной экономике.

Исходя из изменений управления, роли и места предприятий, фирмы, межрегиональных отношений и отношений внешним миром, основными статистики на современном ее этапе являются: 1) всестороннее исследование происходящих в обществе глубоких преобразований экономических и социальных процессов на основе научно обоснованной системы показателей; 2) обобщение и прогнозирование тенденций развития национального хозяйства; 3) выявление имеющихся резервов эффективности общественного производства; 4) своевременное обеспечение надежной информацией законодательной власти, управленческих, исполнительных и хозяйственных органов, а также широкой общественности.
Гос­комстат России: в соответствии с Положением о Государственном ко­митете РФ по статистике, утвержденным по­становлением Правительства Российской Федерации от 2 февраля 2001 г- № 85, осуществляет возложенные на него задачи и функции непосредственно, а также через свои территориальные органы, созданные в каждом субъекте Российской Федерации (в том числе и в муниципальных образованиях). В соответствии с этим Положением основными задачами Госкомстата России являются: • реализация государственной политики в области государственной статистики; • разработка и совершенствование системы статистических пока­зателей, характеризующих состояние экономики и социальной сферы; • разработка научно обоснованной официальной статистической ме­тодологии, соответствующей международным стандартам, учитыва­ющей особенности деятельности различных министерств и ведомств, отражающей новые явления, процессы и технологии в экономике, а также предназначенной для проведения государственных статисти­ческих наблюдений и формирования статистических показателей; • координация деятельности федеральных органов исполнитель­ной власти по формированию государственных информацион­ных ресурсов в области статистики; • разработка информационной системы государственной статисти­ки, которая обеспечивала бы ее совместимость и взаимодействие с другими государственными информационными системами в едином информационном пространстве Российской Федерации; • обеспечение хранения и защиты статистической информации; • реализация обязательств России, вытекающих из членства в меж­дународных организациях и участия в международных договорах • осуществление международного сотрудничества в области статистики. 2.Статистическое наблюдение. 2.1 Понятие о статистической информации.
Слово «информация» в переводе с латинского языка означает осведомленность, получение сведений о чем-либо. Статистическая информация (статистические данные) — первичный статистический материал, формирующийся в процессе статистического наблюдения, который затем подвергается систематизации, сводке, обработке, анализу и обобщению. Первичный статистический материал — это фундамент статистического исследования. Статистическое наблюдение – это массовое, планомерное, научно организованное наблюдение за явлениями социальной и экономической жизни, которое заключается в регистрации отобранных признаков у каждой единицы совокупности.   2.2 Основные организационные формы статистического наблюдения. Виды и способы статистического наблюдения. Формы статистического наблюдения. В отечествен­ной статистике используются три организационные формы (типы) статистического наблюдения: • Отчетность (предприятий, организаций, учреждений и т.п.) - основная форма статистического наблюдения, с помощью которой статистические органы в определенные сроки получают от предприятий, учреждений необходимые данные в виде установленных отчетных документов. Как правило, отчетность основана на первичном учете и является его обобщением. Первичный учет – регистрация различных фактов, событий, которые производятся по мере их совершения. Регистрация происходит на определенном социальном документе, при этом действующая статистическая отчетность бывает типовая и специализированная. Типовая – единая для всех предприятий, а в специализированной состав показателей отраслей изменяется в зависимости от особенностей отдельных отраслей. Отчетность бывает ежедневной, недельной, двухнедельной, месячной, квартальной, годовой. Все перечисленные, кроме годовой, являются текущими. • Специально организованное статистическое наблюдение. Ярким примером является перепись – специально организованная отчетность, которая повторяется через равные промежутки времени с целью получения данных о численности, составе и состоянии объекта по ряду признаков. Особенности переписи: - одновременность ее проведения на всей территории страны - единство программы статистического наблюдения - регистрация единиц наблюдения по состоянию на один и тот же критический момент. К данной форме относятся бюджетные обследования, характеризующие структуру потребительских расходов и доходов семьи. • Регистр - система, постоянно следящая за состоянием единицы наблюдения и оценивающую силу воздействия различных факторов на изучаемые показатели. Регистр населения – поименованный и регулярно изменяемый перечень жителей страны. В данном случае программа наблюдения ограниченна общими признаками (пол, дата и место рождения, дата вступления в брак). Существует такой признак, как брачное состояние (переменный признак). Регистр предприятий, который включает в себя все виды экономической деятельности и содержит значение основных признаков по каждой единице наблюдения за определенный период или момент времени. Содержит данные о времени создания или регистрации предприятий, название, адрес, телефон, организационно-правовую форму, вид экономической деятельности, количество занятых и т.д., т.е. полную информацию о предприятии. Способы статистического наблюдения 1) Непосредственное – наблюдение, при котором сами регистраторы путем непосредственного замера, взвешивания, подсчета или проверки работы и т.д. устанавливают факт, подлежащий регистрации, и на этом основании производят записи в формуляре наблюдения. 2) Документальный способ основан на использовании в качестве источника статистической информации различного рода документов, как правило, учетного характера. 3) Опрос– способ, при котором необходимые сведения получают со слов респондента. Он предполагает обращение к непосредственному носителю признаков, подлежащих регистрации во время наблюдения, и использование для получения информации о явлениях и процессах, не поддающихся непосредственному прямому наблюдению. При устном (экспедиционном) опросе специально подготовленные работники (счетчики, регистраторы) получают необходимую информацию на основе опроса соответствующих лиц и сами фиксируют ответы в формуляре наблюдения. При саморегистрации формуляры заполняются самими респондентами, а счетчики раздают им бланки опросного листа, разъясняют правила их заполнения, а затем их собирают. Корреспондентский способ – сведения в органы, ведущие наблюдение, сообщает штаб добровольных корреспондентов. Этот вид опроса требует наименьших затрат, но не дает уверенности в том, что полученный материал является высококачественным, т.к. не всегда возможно непосредственно на месте проверить правильность полученных ответов. Анкетный способ – сбор информации в виде анкет. Определенному кругу респондентов вручаются специальные вопросники либо лично, либо путем публикации в периодической печати. Заполнение этих вопросников носит добровольный характер и осуществляется, как правило, анонимно. Обычно обратно получаются меньше анкет, чем рассылается. Этот способ сбора информации используется при несплошном наблюдении. Анкетный опрос применяется в обследовании, где не требуется высокая точность, а нужны приближенные, ориентировочные результаты. Явочный способ – представление сведений в органы, ведущие наблюдение, в явочном порядке, например при регистрации браков, рождений, разводов и т.д. Виды статистического наблюдения Существуют определенные виды статистического наблюдения: 1) по времени регистрации факторов, которое в свою очередь подразделяется на текущее и прерывное. Прерывное может быть единовременным и периодическим. 2) по обхвату единиц совокупности делится на сплошное и несплошное, которое в свою очередь делится на выборочное, монографическое и основного массива. При текущем наблюдении изменение в отношении изучаемых явлений фиксируется по мере их наступления (регистрация рождения ребенка). Данное наблюдение проводится с целью изучения динамики каких- либо явлений. Примером прерывного – перепись. Единовременное наблюдение предоставляет сведения о количественных характеристиках какого-либо явления или процесса в момент его исследования. По обхвату единиц совокупности Сплошное наблюдение – сбор и получение информации от всех единиц исследуемой совокупности. Данный вид статистического наблюдения характеризуется высокими трудовыми и материальными затратами, недостатком оперативной информации и, как правило, не обеспеченностью охвата всех единиц совокупности. Несплошное наблюдение – обследование только части единиц совокупности. Самым распространенным является выборочное несплошное наблюдение, которое основано на принципе случайного отбора единиц. Метод основного массива заключается в обследовании самых существенных, наиболее крупных единиц изучаемой совокупности, которые пор основному признаку имеют наибольший удельный вес в собственности. Монографическое наблюдение – обследование отдельных единиц совокупности, характеризующих новые типы явлений, и проводится с целью выявления имеющихся или намечающихся тенденций в развитии явлений. 2. 3 Программно-методологические вопросы статистического наблюдения. Цель наблюдения – получение достоверной информации для выявления зависимостей развития явлений и процессов. Объект наблюдения – некоторая статистическая совокупность, в которой проистекают исследуемые социально-экономические явления и процессы. Для определения объекта необходимо определить границы изучаемой совокупности, для чего следует указать важнейшие признаки, отличающие его от других схожих совокупностей. Каждый объект состоит из отдельных элементов, т.е. единиц наблюдения, которые являются носителем признаков, подлежащих регистрации. Отчетная единица – это субъект, от которого поступают данные об единице наблюдения. Программа наблюдения – это перечень признаков (вопросов), подлежащих регистрации в процессе наблюдения. Статистический формуляр – это документ единого образца, содержащий программу и результаты наблюдения. Примером могут быть переписной лист, опросный план, анкета и др. При этом различают две системы статистического формуляра: 1) Индивидуальный (карточный), который предусматривает запись ответов на вопросы только об одной единице наблюдения. 2) Списочный предусматривает ответы на вопросы о нескольких единицах наблюдения. Выбор времени, когда будет проводиться наблюдение, заключается в решении двух вопросов: – установлении критического момента (даты) или интервала времени. – определение срока или периода наблюдения. Критический момент (дата) – конкретный день года, час дня, по состоянию на который должна быть проведена регистрация признаков по каждой единице исследуемой совокупности. Срок (период) наблюдения – это время, в течение которого происходит заполнение статистических формуляров, т.е. время, необходимое для проведения массового сбора данных. 2.4 Организационные вопросы статистического наблюдения. Важнейшее место в организационной работе занимает подготовка кадров, в процессе которой проводятся различного рода инструктажи с сотрудниками статистических органов, с организациями, пре­доставляющими данные, по вопросам заполнения статистических документов, подготовки материалов наблюдения к автоматизирован­ной обработке и т.д. Размножение документации как для самого обследования, так и для проведения инструктажей и рассылка ее по территориальным органам Госкомстата России также относятся к организационным вопросам наблюдения. В период подготовки большая роль отводится массовой работе:проведению лекций, бесед, организации выступлений в печати, по радио и телевидению, разъясняющих населению значение, цели и задачи предстоящего обследования. Для согласования деятельности всех служб, занятых подготовкой и проведением наблюдения, составляется календарный план, пред­ставляющий собой перечень (наименование) работ и сроки их испол­нения отдельно для каждой организации, занятой в проведении об­следования. 2.5 Ошибки статистического наблюдения. Меры по обеспечению надежности статистической информации. Точность статистического наблюдения – это степень соответствия величины какого-либо показателя, определенной по материалам статистического наблюдения, действительной его величине. Расхождение между расчетным и действительным значениями изучаемых величин называется ошибкой наблюдения. В зависимости от причин возникновения различают ошибки регистрации и ошибки репрезентативности. Ошибки регистрации – это отклонения между значением показателя, полученного в ходе статистического наблюдения, и фактическим, действительным его значением. Этот вид ошибок может быть при сплошном и несплошном наблюдениях. Ошибки регистрации бывают случайные и систематические. Случайные ошибки регистрации – это результат действия различных факторов (например, переставлены цифры, перепутаны соседние стоки или графы и т.д.). Систематические ошибки регистрации всегда имеют одинаковую тенденцию либо к увеличению, либо к уменьшению показателя по каждой единице наблюдения и поэтому величина показателя по совокупности в целом будет включать накопленную ошибку (например, различные округления). В отличие от ошибок регистрации ошибки репрезентативности характерны только для несплошного наблюдения. Отклонение значения показателя обследованной совокупности и его величины по исходной совокупности называется ошибкой репрезентативности. Ошибки репрезентативности также бывают случайные и систематические. Случайные ошибки репрезентативности возникают, если отобранная совокупность неполно воспроизводит всю совокупность в целом. Систематические ошибки репрезентативности появляются вследствие нарушения принципов отбора единиц из исходной совокупности, которые должны быть подвергнуты наблюдению. 2.6 Основные вопросы организации статистической отчетности. Статистическое наблюдение – это массовое, планомерное, научно организованное наблюдение за социально-экономическими явлениями и процессами, заключающееся в регистрации необходимых признаков у каждой единицы изучаемой совокупности. Различаются две основные формы статистические наблюдения: Отчетность – это такая форма наблюдения, при кот предпри, организации представляют в статистические и вышестоящие органы постоянные сведения, характеризующие их деятельность. Отчетность предоставляется по заранее определенной программе в строго определенные сроки и содержит важнейшие показатели, необходимые в процессе ежедневной работы. Специально организованное наблюдение – такое наблюдение, которое организуется со специальной целью на определенную дату для получения данных, которые в силу различных причин не собираются статистической отчетност, а также с целью проверки данных статистической отчетности. Виды стат наблюдения По времени регистрации фактов статистическое наблюдение может быть непрерывным, периодическим и единовременным. Непрерывное(текущее) наблюдение – ведется систематически т.е. регистрация фактов производится по мере их свершения). Пример – ЗАГС. Периодическое наблюдение – повторяется через определенные равные промежутки времени. Пример – перепись населения. Единовременное наблюдение – производится по мере надобности без соблюдения определенной периодичности. Пример – оценка и переоценка основных фондов. По охвату единиц совокупности выделяют сплошное и несплошное наблюдение. Сплошным называется наблюдение, при котором исследованию подвергаются все единицы изучаемой совокупности. Несплошным называется такое наблюдение, при котором исследованию подвергается только часть единиц изучаемой совокупности, отобранная определенным образом(анкетный, метод основного массива, метод направленного долевого отбора, выборочный и монографический) Способы статистического наблюдения Основанием для регистрации фактов могут служить либо документы, либо высказанное мнение, либо хронометражные данные. В связи с этим различают наблюдение: · непосредственное (сами измеряют), · документально (из документов), · опрос (со слов кого-либо) и т.д.   2.7 Переписи и другие виды специально организованного статистического наблюдения. Российская практическая статистика проводит переписи на­селения, материальных ресурсов, многолетних насаждений, неустанов­ленного оборудования, строек незавершенного строительства, обору­дования и др. Перепись - это специально организованное наблюдение, повто­ряющееся, как правило, через равные промежутки времени с целью получения данных о численности, составе и состоянии объекта ста­тистического наблюдения по ряду признаков. Характерными особенностями переписи являются: · одновременность проведения ее на всей территории, которая должна быть охвачена обследованием; · единство программы наблюдения; · регистрация всех единиц наблюденияпо состоянию на один и тот же. Из всех переписей наиболее известны переписи населения. Цель последних состоит в установлении численности и размещения населения по территории страны, в получении характеристики состава населения по полу, возрасту, занятиям и другим показателям. критический момент времени. Переписи получили большое распространение и в зарубежной ста­тистике. Среди них наиболее интересными являются систематически проводимые в США переписи отраслей национального хозяйства, в частности переписи обрабатывающей промышленности, называемые цензами. Кроме переписей статистика проводит и другие специально орга­низованные наблюдения, в частности, к специально организованному статистическому наблюдению относится сплошное статистическое об­следование малых предприятий по итогам работы. Оно про­водится в два этапа. На первом этапе собираются сведения о факти­ческих видах деятельности малых предприятий на основе упрощенного вопросника. На втором этапе каждому предприятию высылается основ­ной вопросник, содержащий общую часть и специальные вопросы, свя­занные с видом деятельности, указанной предприятием на первом эта­пе. 2.8 Пути совершенствования статистического наблюдения. Происходящие глубокие преобразования в обществе, появляющиеся новые экономические и социальные процессы, реализация концепций создания автоматизированной статистической информационной системы ставят перед статистикой новые сложные задачи. Они естественно в первую очередь должны учитываться системой статистических наблюдений. Ведь от качества и полноты проведения статистического наблюдения в конечном счете зависят результаты статистического исследования. 1. Развитие статистической науки (теории или методологии, разработка новых методов, математизация и т.д.). 2. Обоснование и уточнение системы статистического наблюдения (от отчетности к систематическим специальным обследованиям). 3. Совершенствование системы статистических показателей. 4. Совершенствование структуры и функций статистических государственных органов. 5. Повышение квалификации и совершенствование подготовки статистических специалистов (овладение новыми методами) 6. Расширении контактов с другими странами, учет их опыта и т.д. Учет методологии международных статистических сопоставлений. 7. Система информатизации общества и учет этой системы в организации государственной статистике. Можно предположить следующую последовательность разработки и реализации программы совершенствования действующей системы статистических наблюдений. 8. Использование и совершенствование системы цензов, максимально ориентированной на методологию, применяемую для международного статистического сопоставления. 3. Статистическая сводка. 3.1 Понятие о статистической сводке. Сводка представляет собой комплекс последовательных операций по обобщению конкретных единичных фактов, образующих совокупность, для выявления типичных черт и закономерностей, присущих изучаемому явлению в целом. Результатом сводки являются подробные данные, отражающие в целом всю совокупность. По глубине обработки материала сводка бывает простая и сложная. Простой сводкой называется операция по подсчету общих итогов по совокупности единиц наблюдения. Сложная сводка – комплекс операций, включающих группировку единиц наблюдения, подсчет итогов по каждой группе и по всему объекту и представление результатов группировки и сводки в виде статистических таблиц. Разработка программы сводки состоит из следующих этапов: выбор группировочных признаков; определение порядка формирования групп; разработка системы статистических показателей для характеристики групп и объекта в целом; разработка системы макетов статистических таблиц, в которых должны быть представлены результаты сводки. По форме обработки материала сводка бывает децентрализованная (обработка материала производится этапами: например, отчеты предприятий сводятся статистическими органами субъектов РФ, а уже итоги по региону поступают в Госкомстат России) и централизованная (весь первичный материал поступает в одну организацию, где и подвергается обработке от начала до конца). 3.2 Методологические вопросы статистических группировок, их значение в экономическом исследовании.
Сводка статистической информации, как правило, не ограничивается получением общих итогов по изучаемой совокупности. Различающиеся между собой единицы статистической совокупности по значениям изучаемого признака можно объединить в группы (по их сходству или различию в существенном отношении). Например, признак квалификации продавцов представлен тремя категориями: первой, второй, третьей. При расчленении совокупности продавцов по этому признаку получают группы коммерческих работников по квалификации. Их можно дифференцировать и по стажу работы. Однако и здесь, систематизировав всю численность продавцов по признаку продолжительности работы, их можно объединить в отдельные группы по стажу, например с 3-летним интервалом: до 3 лет, 3—б, 6—9, 9—12 и т. д.
В зависимости от содержания и форм изучаемых признаков статистические группировки образуются или посредством разделения совокупности на отдельные части, характеризующиеся внутренней однородностью и различающиеся между собой рядом признаков, или благодаря объединению в группы единиц совокупности по типичным признакам. Результатом осуществления этого двуединого процесса является разделенный на группы объект наблюдения.
Располагая информацией по совокупности торговых предприятий, можно осуществить группировку по одному или нескольким из следующих признаков: объему товарооборота, численности работающих, величине основных фондов и др.
Особым видом группировок являются классификации, получившие широкое распространение в статистике.
Классификация, представляющая собой устойчивую номенклатуру классов и групп, образованных на основе сходства и различий единиц наблюдаемого объекта, имеет фундаментальное значение для всего цикла статистических работ, особенно для составления баланса народного хозяйства, позволяющего следить за пропорциональностью экономического развития отдельных регионов.
Значение статистических группировок состоит в том, что они раскрывают объективное положение вещей и выявляют самые существенные черты и свойства изучаемых явлений, а также позволяют получать информацию о размерности отдельных групп, соотношении их в общей совокупности и о связях между изучаемыми показателями, характеризующими выделенные части, и признаками, положенными в основу группировки. Этого можно достичь в том случае, когда применение метода статистических группировок опирается на положения экономической науки.   3.3 Задачи статистических группировок, их виды.
Выделяют следующие основные задачи, решаемые с помощью метода статистических группировок: образование социально-экономических типов явлений; изучение строения изучаемых явлений и структурных изменений, происходящих в них; выявление связи между изучаемыми признаками.
Для решения этих задач соответственно применяют типологические, структурные и аналитические группировки.

Типологическая группировка – это разделение исследуемой качественно разнородной совокупности на классы, социально-экономические типы, однородные группы единиц в соответствии с правилами научной группировки. Примером является группировка промышленных предприятий по формам собственности.

При проведении типологической группировки основное внимание должно быть уделено идентификации типов социально-экономических явлений.

Структурной называется группировка, в которой происходит разделение однородной совокупности на группы, характеризующие ее структуру по какому-либо варьирующему признаку.

Аналитическая группировка выявляет взаимосвязи между изучаемыми явлениями и их признаками.

3.4 Принципы выбора группировочного признака. Образование групп и интервалов группировки.

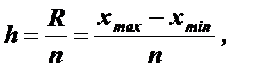
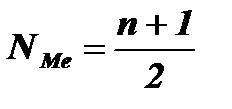
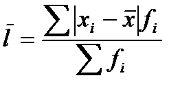
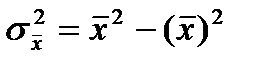
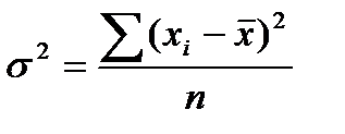
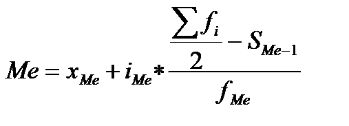
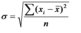
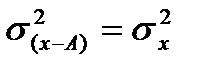
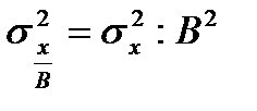
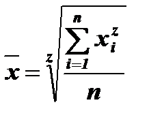
Важным моментом при выборе группировочного признака является необходимость учета изменившихся обстоятельств, в которых действует то или иное явление. Принцип соблюдения условия места и времени здесь должен выполняться. Процесс построения группировок состоит из следующих этапов. 1) Определение группировочного признака. Группировочным признаком называется признак, по которому проводится разбивка единиц совокупности на отдельные группы. Его часто называют основанием группировки. В основание группировки могут быть положены как количественные, так и качественные признаки. Первые имеют числовое выражение (объем торгов, возраст человека и т.д.), а вторые отражают состояние единицы совокупности (пол человека, национальность, и т.д.) Всю совокупность признаков можно разделить на две группы: факторные и результативные. Факторными называются признаки, под воздействием которых изменяются другие признаки и образуют группу результативных признаков. 2) Определение количества групп. Число групп зависит от задач исследования и вида признака, положенного в основание группировки, численности совокупности. Степени вариации признака. При построении группировки по качественному признаку групп будет столько, сколько имеется градаций, видов, состояний у этого признака (пол – 2, регионов России – 89 и т.д.). Если группировка проводится по количественному признаку, то необходимо обратить внимание на число единиц исследуемого объекта и степень колеблемости группировочного признака. Чем больше колеблемость группировочного признака, тем больше следует образовать групп. Если распределение признака условно равномерно, то для определения количества групп используется формула Стерджесса: Недостаток формулы состоит в том, что ее применение дает хорошие результаты, если совокупность состоит из большого числа единиц и распределение единиц по признаку, положенному в основание группировки, близко к нормальному. 3) Определение интервала группировки. Интервал – значения варьирующего признака, лежащие в определенных границах. Каждый интервал имеет свою величину, верхнюю и нижнюю границы или хотя бы одну из них. Нижней границей называется наименьшее значение признака в интервале, а верхней – наибольшее значение признака в нем. Величина интервала – разность между верхней и нижней границами интервала. Интервалы группировки в зависимости от их величины бывают равные и неравные. Последние делятся на прогрессивно возрастающие, прогрессивно убывающие, произвольные и специализированные. Если вариация признака проявляется в сравнительно узких границах и распределение носит более или менее равномерный характер, то строят группировку с равными интервалами. Величина равного интервала определяется по следующей формуле: Прежде чем определять размах вариации, из совокупности рекомендуется исключить аномальные наблюдения (крайние точки). Полученная величина является шагом интервала. Открытые интервалы – те, у которых указана только одна граница. Закрытые интервалы – те, у которых обозначены обе границы. Ширина открытого интервала принимается равной ширине соседнего с ним закрытого интервала. 3.5 Статистические ряды распределения. Статистический ряд распределения – это упорядоченное распределение единиц совокупности на группы по определенному варьирующему признаку. В зависимости от признака, положенного в основу группировки различают атрибутивные и вариационные ряды распределения. Атрибутивными называют ряды, построенные по качественным признакам. Вариационными рядами называют ряды распределения, построенные по количественному признаку. Каждый вариационный ряд состоит из двух элементов: вариантов и частот. Вариантами считаются отдельные значения признака, которые он принимает в вариационном ряду, т.е. конкретное значение варьирующего признака. Частоты – это численности отдельных вариантов или каждой группы вариационного ряда, показывающие, как часто встречается та или иная варианта в ряду. Частостями называют частоты, выраженные в процентах или долях единицы. В зависимости от характера вариации признака различают дискретные и интервальные вариационные ряды. В случае дискретной вариации величина количественного признака принимает только целые значения. В случае непрерывной вариации величина признака у единиц совокупности может принимать в определенных пределах любые значения. 3.6 Статистические таблицы. Статистической называется таблица, которая содержит числовую характеристику исследуемой совокупности по одному или нескольким существенным признакам, взаимосвязанным логикой экономического анализа. По логическому содержанию таблица представляет собой статистическое предложение. Подлежащим статистической таблицы называется объект, характеризующийся цифрами. Обычно подлежащее располагается в левой части таблицы, в наименовании строк. Сказуемое статистической таблицы образует система показателей, которыми характеризуется подлежащее (объект изучения). Сказуемое формирует верхние заголовки и составляет содержание граф. 3.7 Разработка сказуемого статистических таблиц. По разработке сказуемого различают таблицы с простой и сложной разработкой сказуемого. При простой разработке сказуемого показатель, определяющий его, не подразделяется на подгруппы, и итоговые значения получаются путем простого суммирования значений по каждому признаку отдельно, независимо друг от друга. Сложная разработка сказуемого предполагает деление признака на формирующие его подгруппы. Исследователь при построении статистических таблиц должен руководствоваться оптимальным соотношением показателей сказуемого и учитывать как положительные, так и отрицательные моменты сложной разработки показателей сказуемого. 3.8 Основные правила составления таблицы. Приемы, определяющие технику формирования статистичес­ких таблиц. 1. Таблица должна быть компактной и содержать только те исход­ные данные, которые непосредственно отражают исследуемое соци­ально-экономическое явление в статике и динамике и необходимы для познания его сущности. Цифровой материал необходимо представлять таким образом, чтобы при анализе табли­цы сущность явления раскрывалась чтением строк слева направо и сверху вниз. 2. Заголовки таблицы, граф и строк пишутся полностью, без сокращений. 3. Информация, располагаемая в столбцах (графах) таблицы, за­вершается итоговой строкой. 4. Для того чтобы легче читать и анализировать достаточно боль­шие таблицы (по количеству приведенных строк), целесообразно ос­тавлять двойной промежуток после каждых пяти (и далее кратных пяти)строк. 5. Если названия отдельных граф повторяются между собой, со­держат повторяющиеся термины или несут единую смысловую нагруз­ку, тоим необходимо присвоить общий объединяющий заголовок.Данный прием используется и для подлежащего, и для сказуемо­го таблиц. 6. Графы и строки полезно нумеровать. 7. Взаимосвязанные и взаимозависимые данные, характеризую­щие одну из сторон анализируемого явления, целесообразно располагать в соседних друг с дру­гом графах. 8. Графы и строки должны содержать единицы измерения 9. Лучше всего располагать в таблицах сопоставляемую в ходе анализа цифровую информацию в одной и той же графе, одну под другой, что значительно облегчает процесс их сравнения. 10. Для удобства работы числа в таблицах следует представлять в середине граф, одно под другим: единицы под единицами, запятая под запятой, четко соблюдая при этомих разрядность. 11. По возможности числа целесообразно округлять. 12. Отсутствие данных об анализируемом социально-экономичес­ком явлении может быть обусловлено различными причинами, что по-разному отмечается в таблице 13. В случае необходимости дополнительной информации - разъяснений к таблице могут даваться примечания.   4.Графический метод в изучении экономической деятельности. 4.1 Значение графического метода в статистике. Графический метод есть метод условных изображений статисти­ческих данных при помощи геометрических фигур, линий, точек и разнообразных символических образов. Главное достоинство статистических графиков - наглядность. Графики являются незаменимым средством обобщения статистических данных, подведения итогов сложных исследований и выявления связи между явлениями. Для построения графика необходимо определить, для каких це­лей он составляется, и тщательно изучить исходный материал. Но самое главное условие - это овладение методологией графических изображений. 4.2 Основные элементы статистического графика. Графический образ - это символические знаки, с помощью кото­рых изображаются статистические данные: линии, точки, плоские геометрические фигуры (прямоугольники, квадраты, круги и т.д.).В качестве графического образа выступают и объемные фигуры. Иног­да в графиках используются и негеометрические фигуры в виде силу­этов или рисунков предметов. Полем графика является место, на котором он выполняется. Это листы бумаги, географические карты, план местности и т.п. Принято считать, что наиболее оптимальным для зрительного восприятия является график, выполненный на поле прямоугольной формы с соотношением сторон 1:1,3 до 1:1,5; этот вариант именуется правилом «золотого сечения». Пространственные ориентиры графика задаются в виде систе­мы координатных сеток. Система координат необходима для разме­щения геометрических знаков в поле графика. Наиболее распростра­ненной является система прямоугольных координат. Масштабные ориентиры статистического графика определяют­ся масштабом и системой масштабных шкал. Масштаб статистичес­кого графика - это мера перевода числовой величины в графическую. Масштабной шкалой называется линия, отдельные точки которой могут быть прочитаны как определенные числа. Шкала имеет большое значение в графике и включает три элемента: линию (или носитель шкалы); определенное число помеченных черточками точек; цифровое обозначение чисел, соответствующих отдельным помеченным точкам. Различают шкалы прямолинейные (например, миллиметровая линейка) и криволинейные - дуговые и круговые (ци­ферблат часов). Масштабом равномерной шкалы называется длина отрезка. Последний элемент графика - экспликация. Каждый график дол­жен иметь словесное описание его содержания. Описание включает, название графика, которое в краткой форме передает его содержание; надписи вдоль масштабных шкал и пояснения к отдельным частям графика. 4.3 Назначение графиков в статистике. Статистический график – это чертеж, на котором статистические совокупности, характеризуемые определенными показателями, описываются с помощью условных геометрических образов или знаков. Представление данных таблиц в виде графика производит более сильное впечатление, чем цифры, значительно облегчает понимание статистического материала, делает его наглядным и доступным. С появлением ПЭВМ построение графических изображений стало технически достаточно просто. Однако для проведения графического анализа необходимо правильно сконструировать графические изображения, хорошо знать изучаемые явления и учитывать: Назначение графиков. Они могут быть использованы для различных целей, и, в зависимости от этого подбирают, его величину, характер линий, цвет, вид штрихования, которые должны гармонически сочетаться между собой. Цель графиков. Очень часто цель их – наглядно представить результаты исследования, в других случаях – подчеркнуть известные закономерности, иллюстрировать новые открытые факты, обосновать новые гипотезы. 4.4 Классификация статистических графиков. Существует множество видов графических изображений. Их классификация основана на ряде признаков, в основе которых; • способ построения графического образа; • геометрические знаки, изображающие статистические показа­тели; • задачи, решаемые с помощью графического изображения. Классификация статистических графиков по форме графического образа: • Линейные (стат.кривые); • Плоскостные (квадратные, секторные, точечные, фоновые и т.д.); • Объемные (поверхностного распределения). По способу построения статистические графики делятся на диаг­раммы и статистические карты. 4.5 Диаграммы. Диаграммы - наиболее распространенный способ графических изображений. 1) Диаграмма сравнения. Наиболее распространенными диаграммами сравнения являются столбиковые диаграммы. Это графическое изображение статистичес­ких показателей в виде столбиков-прямоугольников. Данные диаграм­мы широко используются для наглядного сравнения объектов изучае­мых явлений во времени и пространстве, а также для изображения структуры явлений. Разновидность столбиковых диаграмм составляют так называе­мые ленточные, или полосовые, диаграммы. Их отличие состоит в том, что масштабная шкала расположена по горизонтали сверхуилиснизу и она определяет величину полос по длине. Разновидностью столбиковых (ленточных) диаграмм являются направленные диаграммы. Они отличаются от обычных двусторонним расположением столбиков или полос и имеют начало отсчета по масш­табу в середине. К группе двусторонних относятся диаграммы числовых отклонений. В них полосы направлены в обе стороны от вертикальной нулевой линии; вправо - для прироста; влево – для уменьшения. Прямоугольные диаграммы (не квадраты!) находят себе применение при графическом изображении, главным образом для двумасштабных сравнений: один масштаб для основания, другой - для высоты. Эти ди­аграммы называются знаками Варзара. 2) Структурные диаграммы. Основное назначение структурных диаграмм заключается в на­глядной иллюстрации структуры какого-либо явления, характеристи­ке удельных весов отдельных частей целого, выявлении структур­ных сдвигов. В качестве графического образа для изображения структуры со­вокупностей применяются прямоугольники - для построения стол­биковых и полосовых диаграмм и круги - для построения секторных диаграмм. 3) Диаграммы динамики. Для построения линейных графиков применяют систему прямоу­гольных координат. Обычно по оси абсцисс откладывают время (годы, месяцы и т.д.), а по оси ординат - размеры изображаемых явлений или процессов. На оси ординат наносят масштабы. Полулогарифмической сеткой называется сетка, в которой на од­ной оси нанесен линейный масштаб, а на другой – логарифмический. Замкнутые диаграммы отражают внутригодичный цикл динами­ки какого-либо одного года. Спиральные диаграммы показывают внут­ригодичный цикл динамики за ряд лет. Среди различных видов графиков особое место занимает кривая, именуемая моделью Лоренца, или кривой Лоренца. Данная кривая дает, возможность графически изобразить уровень концентрации явления.   4.6 Статистические карты. Статистические карты представляют собой вид графических изображений статистических данных на схематической географичес­кой карте и характеризуют уровень или степень распространения того или иного явления на определенной территории. Картограмма - это схематическая географическая карта, на кото­рой штриховкой различной густоты, точками или окраской определен­ной степени насыщенности показывается сравнительная интенсивность какого-либо показателя в пределах каждой единицы нанесенного на кар­ту территориального деления (например, плотность населения по облас­тям или республикам, распределение районов по урожайности зерно­вых культур и т.п.). Картограммы делятся на фоновые и точечные. Картограмма фоновая - вид картограммы, на которой штрихов­кой различной густоты или окраской определенной степени насыщен­ности показывают интенсивность какого-либо показателя в пределах территориальной единицы. Картограмма точечная - вид картограммы, где уровень выбран­ного явления изображается с помощью точек. Точка изображает одну единицу совокупности или некоторое их количество, показывая на географической карте плотность или частоту проявления определен­ного признака. 5. Обобщающие статистические показатели. 5. 1. Виды и значение обобщающих статистических показателей в изучении экономической деятельности. Статистический показатель – количественная характеристика социально-экономических явлений и процессов в условиях качественной определенности. Система статистических показателей – это совокупность взаимосвязанных показателей, имеющая одноуровневую или многоуровневую структуру и нацеленная на решение конкретной статистической задачи. Различают конкретный статистический показатель и показатель категорию. Конкретный статистический показатель характеризует размер, величину изучаемого явления или процесса в определенном месте и определенном времени. Показатель-категория отражает сущность, общие отличительные свойства конкретных статистических показателей одного и того же вида без указания места и времени. По охвату единиц совокупности все показатели делят на индивидуальные и сводные. Индивидуальные показатели характеризуют один объект или одну единицу совокупности. Сводные показатели характеризуют группу совокупности или всю совокупность в целом. Сводные показатели делятся на объемные и расчетные. Объемные показатели получают путем сложения значение признака отдельных единиц совокупности. Расчетные показатели определяются по различным формулам. По форме выражения статистические показатели подразделяются на абсолютные, относительные и средние. Моментные показатели – показатели на определенную дату. Интервальные показатели – показатели за определенный период времени. В зависимости от принадлежности к одному или двум объектам изучения различают однообъектные и межобъектные. С точки зрения пространственной определенности статистические показатели подразделяют на общетерриториальные (характеризует изучаемый объект или явление в целом по стране), региональные и местные (локальные). 5.2 Абсолютные величины, их основные виды. Абсолютные показатели отражают физические размеры изучаемых статистикой процессов и явлений, а именно их массу, площадь, объем, протяженность, временные характеристики. Всегда являются именованными числами. Выражаются в натуральных, стоимостных или трудовых единицах измерения. Натуральные единицы – тонны, километры, литры, баррели, штуки. Условно-натуральные единицы используются когда какой-либо продукт имеет несколько разновидностей и общий объем можно определить только исходя из общего для всех разновидностей потребительского свойства. Перевод в условные единицы осуществляется на основе специальных коэффициентов, рассчитываемых как отношение потребительских свойств отдельных разновидностей продукта к эталонному значению. Стоимостные единицы измерения дают денежную оценку социально-экономическим явлениям (стоимость ВВП). Трудовые единицы измерения позволяют учитывать общие затраты труда на предприятии и трудоемкость отдельных операций технологического процесса (чел-дни, чел-часы). Индивидуальные абсолютные показатели получают непосредственно в процессе статистического наблюдения как результат интересующего количественного признака. Сводные объемные абсолютные показатели получают в результате сводки и группировки индивидуальных значений. 5.3 Относительные величины, их значение и основные виды. Относительный показатель – результат деления одного абсолютного показателя на другой и выражает соотношение между количественными характеристиками социально-экономических явлений. Без относительных показателей невозможно измерить интенсивность развития изучаемого явления во времени, оценить уровень развития одного явления на фоне других, взаимосвязанных с ним явлений, осуществить пространственно-территориальные сравнения. При расчете относительного показателя абсолютный показатель, находящийся в числителе получаемого отношения, называется текущим или сравниваемым, а показатель, находящийся в знаменателе, называется базой сравнения или основой. Относительные показатели могут выражаться в коэффициентах, процентах, промилле, продецимилле, а могут быть именованными значениями. Проценты используются в тех случаях, когда сравниваемый абсолютный показатель превосходит базисный не более, чем в 2-3 раза. Если же превосходство больше, то используется коэффициент. Выделяют следующие виды относительных показателей. 1. Относительный показатель динамики (ОПД) – отношение уровня исследуемого процесса или явления за данный период времени и уровня этого же явления в прошлом. ОПД измеряется в процентах, либо выражается в виде коэффициента. Данная величина показывает во сколько раз текущий уровень больше базисного или какую долю от базисного составляет. Если ОПД выражен кратным отношением, то он представляет собой коэффициент роста. При умножении этого коэффициента на 100 получают темп роста. 2. Относительный показатель плана (ОПП) – отношение планируемого уровня показателя к уже достигнутому показателю в прошлом. ОПП, также как и ОПД, выражается в процентах или в виде коэффициента. 3. Относительный показатель реализации плана (ОПРП) – отношение фактически достигнутого уровня к запланированному уровню показателя. ОПРП также выражается в процентах или в виде коэффициента. 4. Относительный показатель структуры (ОПС) – соотношение структурных частей изучаемого объекта и определяется отношением показателя, характеризующего часть совокупности к показателю, характеризующему всю совокупность. ОПС выражается в долях единицах или в процентах. 5. Относительный показатель координации (ОПК) – соотношение разных частей, принадлежащих одному объекту. 6. Относительный показатель сравнения (ОПСр) – соотношение одноименных абсолютных показателей, характеризующих разные объекты. 7. Относительный показатель интенсивности (ОПИИ) характеризует степень распространения изучаемого процесса или явления в присущей ему среде и определяется отношением показателя, характеризующего явление к показателю, характеризующему среду распространения этого явления. ОПИ измеряются в процентах, промилле, продецимилле. Данный показатель исчисляется, когда абсолютная величина оказывается недостаточной для формулировки обоснованных выводов о масштабах явления. Разновидностью ОПИИ являются показатели уровня экономического развития, характеризующие производство ВВП на душу населения, товарооборот на душу населения и т.д. Показатели уровня экономического развития являются именованными величинами и измеряются в рублях на душу и т.д.   6. Средние величины. 6.1 Сущность и значение средней величины. Средняя величина представляет собой обобщенную количественную характеристику признака статистической совокупности в конкретных условиях места и времени. Показатель в форме средней величины отражает типичные черты и дает обобщающую характеристику однотипных явлений по одному из варьирующих признаков. Сущность средней заключается в том, что в ней взаимопогашаются отклонения значений признака отдельных единиц совокупности, обусловленные действием случайных факторов, и учитываются изменения, вызванные действием основных. Средняя величина только тогда будет отражать типичный уровень признака, когда она рассчитана по качественно однородной совокупности. 6.2 Виды средних и методы их расчета. На практике определить среднюю во многих случаях можно через исходное соотношение средней (ИСС) или ее логическую формулу: Данная формула является основополагающей. В зависимости от того, в каком виде представлены исходные данные для расчета средней, зависит, каким именно образом будет реализовано ее исходное соотношение. Различают следующие виды средней, каждая из которых может быть простой и взвешенной: 1)Средняя арифметическая простая (не взвешенная). Эта форма средней используется в тех случаях, когда расчет осуществляется по не сгруппированным данным. Средняя арифметическая взвешенная. При расчете средних величин отдельные значения признака могут повторяться, встречаться по нескольку раз. В данном случае расчет проводится по сгруппированным данным или вариационным рядам, которые могут быть дискретными или интервальными. 2)Средняя гармоническая – это величина, обратная средней арифметической из обратных значений признака. Различают среднюю гармоническую простую и взвешенную. Средняя гармоническая простая. Средняя гармоническая взвешенная применяется тогда, когда статистическая информация не содержит частот по отдельным вариантам совокупности, а представлена как их произведение.   Средняя арифметическая и средняя гармоническая величины могут применятся в одних и тех же ситуациях, но по разным данным. Если в ИСС неизвестен числитель, то в расчетах применяется средняя арифметическая величина. Если в ИСС неизвестен знаменатель, то в расчетах используется средняя гармоническая величина. 3)Средняя квадратическая величина применяется тогда, когда вместо индивидуальных значений признака представлены квадраты исходных величин.   4)Средняя геометрическаяприменяется в случаях определения средней по значениям, имеющим большой разброс, либо в случаях определения средней величины по относительным показателям.   5)Средняя степенная. В математической статистике различные средние выводятся из формул степенной средней: При z = 1 – средняя арифметическая; z = 0 – средняя геометрическая; z = –1 – средняя гармоническая; z = 2 – средняя квадратическая. Чем выше z, тем больше значения средней величины. 6.3 Структурные средние величины. Характеристиками структуры совокупности являются следующие структурные средние: 1. Мода (Mo) – величина признака, наиболее часто встречающаяся в совокупности, т.е. имеющая наибольшую численность в ряду распределения. а) В дискретном ряду распределения мода определяется визуально. б) В интервальном ряду распределения визуально можно определить только интервал, в котором заключена мода, который называется модальным интервалом. Мода будет равна: 2. Медиана (Me) – значение признака, приходящееся на середину ранжированного ряда, т.е. делящее ряд распределения на две равные части. а) В дискретном ряду распределения определяется номер медианы по формуле: Номер медианы показывает то значение показателя, которое и является медианой. б) В интервальном ряду распределения медиана рассчитывается по следующей формуле:   7. Показатели вариации. 7.1 Понятие вариации. Вариации – колеблемость, многообразие, изменяемость величины признака у единиц совокупности. Измерение вариации позволяет определить степень воздействия на данный признак других варьирующих признаков. Показатели вариации делятся на абвсолютные и относительные. К абсолютным показателям относятся размах вариации, среднее линейное отклонение, дисперсия, среднее квадратическое отклонение. К относительным – коэффициенты осцилляции, коэффициенты вариации и относительное линейное отклонение. 7.2 Измерение вариации. Размах вариации – простейший показатель, разность между максимальным и минимальным значениями признака. Недостатком является то, что он оценивает только границы варьирования признака и не отражает его колеблемость внутри этих границ. Среднее линейное отклонение отражает все колебания варьирующего признака и представляет собой среднюю арифметическую из абсолютных значений отклонений вариант от средней величины, т.к. сумма отклонений значений признака от средней равно 0, то все отклонения берутся по модулю. Простая Взвешенная   Дисперсия– средний квадрат отклонений значений признака от их средней величины. Невзвешенная формула: Взвешенная формула: Наиболее удобным и широко распространенным на практике показателем является Среднее квадратическое отклонение. Оно определяется как квадратный корень из дисперсии и имеет ту же размерность, что и изучаемый признак. Невзвешенная формула: Взвешенная формула: Рассмотренные показатели позволяют получить абсолютное значение вариации, т.е. оценивают ее в единицах измерения исследуемой совокупности. В отличие от них, коэффициент вариации измеряет колеблемость в относительном выражении, относительно среднего уровня, что во многих случаях является предпочтительнее: Если коэффициент вариации не превышает 33%, то совокупность по рассматриваемому признаку можно считать однородной. Относительные показатели. 1) Коэффициент осцилляции 2) Линейный коэффициент вариации 3) Коэффициент вариации Они определяют не только сравнительную оценку вариации, но и дают характеристику однородности совокупности. Совокупность считается однородной, если коэффициент вариации не превышает 33 % 7.3 Свойства дисперсии и ее расчет. Дисперсия– средний квадрат отклонений значений признака от их средней величины. Невзвешенная формула: Взвешенная формула: 10Дисперсия постоянной величины равна 0 20 Уменьшение всех значений признака на одну и ту же величину А не изменяет величину дисперсии 30Уменьшение всех значений признака в В раз уменьшает дисперсию в В2 раз, а среднее квадратическое отклонение в В раз Таким образом все значения признака можно разделить на какую-то постоянную величину, затем определить среднее квабратическое отклонение и умножить его на эту постоянную величину 40 Средний квадрат отклонений от любой величины А в той или иной степени отличающейся от средней арифметической всегда будет больше среднего квадрата отклонений, исчисленного от средней арифметической При этом средний квадрат отклонений будет больше на определенную величину (на квадрат разности средней и условно взятой величины) 50 Дисперсия имеет свойство минимальности; если А=0, то дисперсия вычисляется по формуле: Между средним линейным отклонением и средним квадратическим отклонением существует примерное соотношение. в том случае, если фактическое распределение близко к нормальному распределению. Как правило В условиях нормального распределения существует зависимость между величиной среднего квадратического отклонения и количеством наблюдений. Правило трех 1) В пределах располагается 68,3% количества наблюдений 2) В пределах находится 95,4% количества наблюдений 3) В пределах находится 99,7% количества наблюдений Отклонения считается максимально возможными 7.4 Правило сложения дисперсии. Показатели вариации могут быть использованы не только в анализе изменчивости изучаемого признака, но и для оценки степени воздействия одного признака на вариацию другого признака, т.е. в анализе взаимосвязей между показателями. При проведении такого анализа совокупность должна представлять собой множество единиц, каждая из которых характеризуется двумя признаками – факторным и результативным. Для выявления взаимосвязи исходная совокупность делится на д



Поделиться с друзьями:


Дата добавления: 2014-12-24; Просмотров: 536; Нарушение авторских прав?; Мы поможем в написании вашей работы!


Нам важно ваше мнение! Был ли полезен опубликованный материал? Да | Нет



studopedia.su - Студопедия (2013 - 2026) год. Все материалы представленные на сайте исключительно с целью ознакомления читателями и не преследуют коммерческих целей или нарушение авторских прав! Последнее добавление




Генерация страницы за: 0.04 сек.