Студопедия

КАТЕГОРИИ:


Архитектура-(3434)Астрономия-(809)Биология-(7483)Биотехнологии-(1457)Военное дело-(14632)Высокие технологии-(1363)География-(913)Геология-(1438)Государство-(451)Демография-(1065)Дом-(47672)Журналистика и СМИ-(912)Изобретательство-(14524)Иностранные языки-(4268)Информатика-(17799)Искусство-(1338)История-(13644)Компьютеры-(11121)Косметика-(55)Кулинария-(373)Культура-(8427)Лингвистика-(374)Литература-(1642)Маркетинг-(23702)Математика-(16968)Машиностроение-(1700)Медицина-(12668)Менеджмент-(24684)Механика-(15423)Науковедение-(506)Образование-(11852)Охрана труда-(3308)Педагогика-(5571)Полиграфия-(1312)Политика-(7869)Право-(5454)Приборостроение-(1369)Программирование-(2801)Производство-(97182)Промышленность-(8706)Психология-(18388)Религия-(3217)Связь-(10668)Сельское хозяйство-(299)Социология-(6455)Спорт-(42831)Строительство-(4793)Торговля-(5050)Транспорт-(2929)Туризм-(1568)Физика-(3942)Философия-(17015)Финансы-(26596)Химия-(22929)Экология-(12095)Экономика-(9961)Электроника-(8441)Электротехника-(4623)Энергетика-(12629)Юриспруденция-(1492)Ядерная техника-(1748)

Методологічні основи статистичного аналізу соціально-економічних явищ і процесів 2 страница




ЛИНЕЙН(відомі_значення_y;відомі_значення_x;конст;статистика)

Відомі_значення_y - це безліч значень y, що уже відомі для співвідношення y = b1x1 + b2x2 +... + b

■ Якщо масив відомі_значення y має один стовпець, то кожний стовпець масиву відомі значення x інтерпретується як окрема змінна.

■ Якщо масив відомі значення y має один рядок, то кожний рядок масиву відомі значення x інтерпретується як окрема змінна.

Відомі значення x - це необов'язкова множина значень x, що уже відомі для співвідношення y = b1x1 + b2x2 +... + b

■ Масив відомі значення x може містити одне або декілька множин змінних. Якщо використовується тільки одна змінна, то відомі значення y і відомі значення x можуть бути масивами будь-якої форми за умови, що вони мають однакову розмірність. Якщо використовується більш однієї змінної, то відомі значення y повинні бути вектором.

■ Якщо відомі значення x опущені, то передбачається, що це масив {1;2;3;... } такого ж розміру як і відомі значення y.

Конст - це логічне значення, що вказує, чи потрібно, щоб константа b дорівнювала 0.

■ Якщо конст має значення ИСТИНА або опущена, то b обчислюється звичайним способом.

■ Якщо конст має значення ЛОЖЬ, то b покладається рівним 0 і значення bі підбираються так, щоб виконувалося співвідношення y = bx.

Статистика - це логічне значення, що вказує, чи потрібно повернути додаткову статистику по регресії.

■ Якщо статистика має значення ЛОЖЬ або опущена, то функція ЛИНЕЙН повертає тільки коефіцієнти bі і постійну b.

У цьому випадку регресійна статистика повертається за формою таблиці 2.4

Таблиця 2.4 – Регресійна статистика

bm bm-1 …. b2 b1 b

 

■ Якщо статистика має значення ИСТИНА, то функція ЛИНЕЙН повертає додаткову регресійну статистику (див. табл. 2.5)

 

Таблиця 2.5 – Додаткова регресійна статистика

bm bm-1 …. b2 b1 b
….
R2 -стандартна помилка для оцінки у        
F -критерій df (ступені свободи)        
       

Наступним етапом є розрахунок та перевірка статистичної значущості коефіцієнту детермінації, що відповідає визначеному теоретичному рівнянню, та значущості коефіцієнтів регресії.

Коефіцієнт детермінації, який надає оцінку загальної якості моделі, розраховується за формулою

(2.35)

де

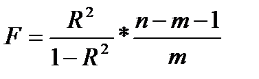
Перевірку статистичної істотності коефіцієнту детермінації можна здійснити за допомогою критерію Фішера, розрахункове значення якого визначається за формулою

(2.36)

де n – обсяг вибірки,

m - кількість факторних ознак, що включено до моделі (кількість змінних у рівнянні)

Одержане розрахункове значення F порівнюється з табличним для визначеного рівня істотності a, тобто з Fα (m; n - m -1 ). Якщо Fрозр ≥ Fтабл – коефіцієнт детермінації статистично значущ.

Оцінка істотності коефіцієнтів регресії здійснюється за допомогою t -критерію Ст'юдента. При цьому визначають розрахункові (фактичні) значення (2.37)

де - оцінка стандартної помилки коефіцієнту

Розрахункові значення t -критерію Ст'юдента порівнюють з табличними, які обираються в залежності від рівня істотності a та числа ступенів свободи n - m -1. Параметр визначається істотним, якщо розрахункове значення перевищує табличне.

Висновки по розділу 2

 

Широке використання в економічних дослідженнях методів математичної статистики дає можливість поглибити економічний аналіз, підвищити якість інформації в плануванні і прогнозуванні показників виробництва й аналізу його ефективності. Коли проводяться групування, треба вибирати така ознаку яка буде адекватна меті дослідження і характеру первинної інформації. Групувальні ознаки за формою вираження можна поділити на атрибутивні (якісні) та кількісні. На основі групування одиниць спостереження за однією ознакою та підрахунків числа одиниць в кожній групі одержують ряд розподілу. Ряд розподілу за величиною груповочної ознаки можливо представити графічно у вигляді полігону або гістограми.
Для характеристики статистичного розподілу треба характеризувати центр угрупування (середню величину), ступінь варіації елементів сукупності. Характеристика розподілу може відбуватися за згрупованими ат незгрупованими даними, тому у кожному випадку застосовуються різні формули середніх величин та характеристик варіації.

При побудові та аналізу парної та множинної регресії треба розрахувати багато показників, таких як: критерій Фішера, лінійний коефіцієнт кореляції, коефіцієнт детермінації та ін. також треба порівняти розрахункові значення з табличними та здійснюється оцінка статистичної значущості коефіцієнтів рівняння регресії.


 

3 СТАТИСТИЧНИЙ АНАЛІЗ ПОКАЗНИКІВ ДІЯЛЬНОСТІ ПІДПРИЄМСТВА

3.1 Побудова рядів розподілу економічних показників та визначення їх основних статистичних характеристик.

 

Визначимо ширину інтервалу для продуктивності праці за формулою 2.1:

Таблиця 3.1 - Схема угрупування для продуктивності праці

№ групи Межі групи Кількість одиниць сукупності
в абсолютному вираженні % до підсумку
  [70,1; 76,6)    
  (76,6;83,1)   20,8
  (83,1;89,6)   16,7
  (89,6;96,1)   20,8
  (96,1;102,6]   16,7
  Разом   100,0

Рисунок 3.1 Гістограма частот для продуктивності праці

 

Рисунок 3.2. Полігон частот для продуктивності праці

Визначимо ширину інтервалу за формулою 2.1 для рівня втрат робочого часу:

Таблиця 3.2 - Схема угрупування для рівня втрат робочого часу

№ групи Межі групи Кількість одиниць сукупності
в абсолютному вираженні % до підсумку
  [3,4;6,06)   20,8
  (6,06;8,72)   12,5
  (8,72;11,38)   8,3
  (11,38;14,04)    
  (14,04;16,7]   33,4
  Разом   100,0

 

Рисунок 3.3 Гістограма частот для рівня втрат робочого часу

 

 

Рисунок 3.4. Полігон частот для рівня втрат робочого часу

 

 

Визначимо ширину інтервалу за формулою 2.1 для стажу років:

Таблиця 3.3 - Схема угрупування для стажу робот

№ групи Межі групи Кількість одиниць сукупності
в абсолютному вираженні % до підсумку
  [8,4; 10,22)   45,8
  (10,22;12,04)   16,7
  (12,04;13,86)   12,5
  (13,86;15,68)   8,3
  (15,68;17,5]   16,7
  Разом   100,0

 

Рисунок 3.5 Гістограма частот для стажу роботи

Рисунок 3.6 Полігон частот для стажу роботи

 

На основі вихідних даних визначимо середні величини показників, їхню дисперсію, середнє квадратичне відхилення та віповідний коефіцієнт варіації. Розрахунок показників представлені в таблиці (табл. 3.4)

Таблиця 3.4 – Розрахункова таблиця

№ з/п                        
  74,3 15,4 8,9 5520,49 237,16 79,21
  70,1 16,7   4914,01 278,89  
  79,6 15,9 9,9 6336,16 252,81 98,01
  75,5 14,1 8,9 5700,25 198,81 79,21
  70,8 14,3 8,4 5012,64 204,49 70,56
  79,7 12,6 10,1 6352,09 158,76 102,01
  74,6 15,8 9,9 5565,16 249,64 98,01
  82,9 14,9 9,7 6872,41 222,01 94,09
      8,7     75,69
  74,8 14,2 10,8 5595,04 201,64 116,64
  87,8 13,2 9,9 7708,84 174,24 98,01
  85,1 12,8 10,5 7242,01 163,84 110,25
  82,2 11,3 12,3 6756,84 127,69 151,29
  91,8 11,8 13,9 8427,24 139,24 193,21
  83,6 10,7 12,9 6988,96 114,49 166,41
  80,2 8,7 9,8 6432,04 75,69 96,04
  91,2 7,1 12,7 8317,44 50,41 161,29
    6,5 10,9   42,25 118,81
  84,8 6,1 15,8 7191,04 37,21 249,64
  96,9 5,2 11,4 9389,61 27,04 129,96
  91,5 4,3 17,2 8372,25 18,49 295,84
  96,9 4,4 17,5 9389,61 19,36 306,25
  100,4 3,4 14,7 10080,16 11,56 216,09
  102,6 3,5 17,4 10526,76 12,25 302,76
Ʃ 2037,3 254,9 281,2 174891,05 3161,97 3490,28
1/nƩ 84,89 10,62 11,72 7287,13 131,75 145,43

Отже, середня продуктивність праці = 84,89, середній рівень втрат робочого часу = 10,62 та середній стаж роботи = 11,72

Дисперсія:

Для знаходження дисперсії скористаймося формулою 2.15, тоді:

1)Дисперсія для продуктивності праці:

D= 7287,13 - (84,89)2=7287,13 -7206,31=80,82

2)Дисперсія рівня втрат робочого часу:

D= 131,75 - (10,62)2=131,75 -112,78=18,97

3)Дисперсія стажу:

D= 145,43 - (11,72)2=145,43 -137,36=8,07

Середнє квадратичне відхилення:

Для знаходження середнього квадратичного відхилення скористаймося формулою 2.17, тоді:

1)Середнє квадратичне відхилення для продуктивності праці:

2)Середнє квадратичне відхилення рівня втрат робочого часу:

3)Середнє квадратичне відхилення стажу:

Коефіцієнт варіації, для знаходження коефіцієнту варіації скористаймося формулою 2.20:

1)Коефіцієнт варіації для продуктивності праці:

2)Коефіцієнт варіації рівня втрат робочого часу:

3)Коефіцієнт варіації відхилення стажу:

Таким чином, коефіцієнт варіації продуктивності дорівнює 0,11, коефіцієнт рівня втрат робочого часу - 0,41, коефіцієнт стажу – 0,24, проаналізувавши дані коефіцієнти можна зробити висновок, що сукупність є однорідною по всім ознакам. Довірча межа, для знаходження довірчої межі скористаймося формулою 2.21, тоді:

1. Довірча межа для продуктивності праці:

; (t=2, т.к g=0,954)

84,89-3,74≤ ≥84,89+3,74

81,15≤ ≥88,63

Отже, значення продуктивності праці у генеральній сукупності в 95,4 випадках із 100 знаходиться в межах 81,15≤ ≥88,63

2. Довірча межа рівня втрат робочого часу:

;

10,62-1,82≤ ≥10,62+1,82

8,8≤ ≥12,44

Отже, значення рівня втрат робочого часу знаходиться у межах 8,8≤ ≥12,44

3. Довірча межа стажу:

;

11,72-1,18≤ ≥11,72+1,18

10,54≤ ≥12,9

Отже значення рівня стажу роботи знаходиться у межах 10,54≤ ≥12,9




Поделиться с друзьями:


Дата добавления: 2014-12-24; Просмотров: 479; Нарушение авторских прав?; Мы поможем в написании вашей работы!


Нам важно ваше мнение! Был ли полезен опубликованный материал? Да | Нет



studopedia.su - Студопедия (2013 - 2025) год. Все материалы представленные на сайте исключительно с целью ознакомления читателями и не преследуют коммерческих целей или нарушение авторских прав! Последнее добавление




Генерация страницы за: 0.013 сек.