Студопедия

КАТЕГОРИИ:


Архитектура-(3434)Астрономия-(809)Биология-(7483)Биотехнологии-(1457)Военное дело-(14632)Высокие технологии-(1363)География-(913)Геология-(1438)Государство-(451)Демография-(1065)Дом-(47672)Журналистика и СМИ-(912)Изобретательство-(14524)Иностранные языки-(4268)Информатика-(17799)Искусство-(1338)История-(13644)Компьютеры-(11121)Косметика-(55)Кулинария-(373)Культура-(8427)Лингвистика-(374)Литература-(1642)Маркетинг-(23702)Математика-(16968)Машиностроение-(1700)Медицина-(12668)Менеджмент-(24684)Механика-(15423)Науковедение-(506)Образование-(11852)Охрана труда-(3308)Педагогика-(5571)Полиграфия-(1312)Политика-(7869)Право-(5454)Приборостроение-(1369)Программирование-(2801)Производство-(97182)Промышленность-(8706)Психология-(18388)Религия-(3217)Связь-(10668)Сельское хозяйство-(299)Социология-(6455)Спорт-(42831)Строительство-(4793)Торговля-(5050)Транспорт-(2929)Туризм-(1568)Физика-(3942)Философия-(17015)Финансы-(26596)Химия-(22929)Экология-(12095)Экономика-(9961)Электроника-(8441)Электротехника-(4623)Энергетика-(12629)Юриспруденция-(1492)Ядерная техника-(1748)

Примеры решения задач




1. На предприятии с целью изучения средней производительности труда было проведено 15%-ное выборочное обследование рабочих собственно-случайным способом методом бесповторного отбора. В результате обследования получены следующие данные.

Группы рабочих по производительности труда, тыс. руб. Число рабочих, чел.
до 100  
100-120  
120-140  
140-160  
более 160  
   

Определить с вероятностью Px=95,4% для всех рабочих пределы, в которых находятся:

1. Средняя производительность труда.

2. Удельный вес рабочих с производительностью труда выше 140 тыс. руб.

Решение:

1. Генеральная средняя находится в пределах: .

Для решения задачи необходимо сначала определить среднюю производительность труда и дисперсию для выборочной совокупности.

Т.к. по условию дан интервальный равноотстоящий вариационный ряд распределения, то расчет этих показателей проводится по взвешенным формулам.

Cоставим дополнительную таблицу, в которой проведем промежуточные расчеты.

       
       
       
       
       
       

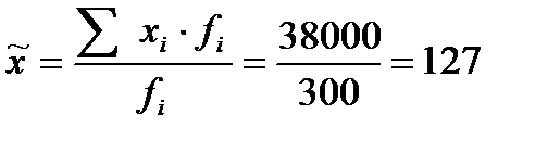
Определим среднюю производительность труда по формуле средней арифметической взвешенной: тыс.руб.

Дисперсия количественного признака в выборочной совокупности:

Средняя ошибка выборки для средней:

тыс.руб.

Предельная ошибка выборки: тыс.руб.

Интервальная оценка генеральной совокупности:

Таким образом, с заданной вероятностью можно утверждать, что значение генеральной средней можно ожидать в пределах от 124,2 тыс.руб. до 129,8 тыс.руб.

2. Генеральная доля находится в пределах: .

Численность рабочих, обладающих заданным признаком в выборочной совокупности (производительностью труда выше 140 тыс. руб.) – m = 90 человек.

Выборочная доля, т.е. доля единиц, обладающих заданным признаком (производительностью труда выше 140 тыс. руб.) в выборочной совокупности: или 30%.

Средняя ошибка выборки для доли:

или 2,4%.

Предельная ошибка выборки:

Интервальная оценка генеральной совокупности:

Таким образом, с заданной вероятностью можно утверждать, что значение генеральной доли можно ожидать в пределах от 25,2% до 34,8%.

 

2. Планируется выборочным методом обследовать работников предприятия с целью анализа средней производительности труда. Определить, какова должна быть численность выборки, чтобы с вероятностью 99,7% при собственно-случайном бесповторном отборе гарантировать предельный размер ошибки 10 тыс.рублей. Среднее квадратическое отклонение - 25 тыс. руб. Общая численность работников – 2000 человек.

Решение:

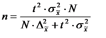
Численность выборки при определении среднего размера признака:

При вероятности 99,7% t =3.

Для обеспечения заданной точности необходимо обследовать 55 человек.

 

3. По условным данным о выпуске продукции провести анализ ряда динамики. Данные расчетов представим в таблице.

Условные данные Расчеты
Год Выпуск продукции, тыс.шт. Абсолютный прирост, тыс.шт. Темп роста,% Темп прироста,% Абсолютное значение 1% прироста, тыс. шт.
базисный цепной базисный цепной базисный цепной
   
    +2 +2 110,0 110,0 +10 +10 0,20
    +6 +4 130,0 118,2 +30 +18,2 0,22
    +8 +2 140,0 107,7 +40 +7,7 0,26
    +10 +2 150,0 107,1 +50 +7,1 0,28
    +10

Решение:

Расчетные данные по базисным и цепным показателям абсолютного прироста, темпа роста, темпа прироста, абсолютного значения 1% прироста представлены в таблице.

Базисный абсолютный прирост: .

,

и т.д.

Цепной абсолютный прирост: .

,

и т.д.

Базисный темп роста: .

,

и т.д.

Цепной темп роста: .

,

и т.д.

Базисный темп прироста: .

,

и т.д.

Цепной темп прироста: .

,

и т.д.

Абсолютное значение одного процента прироста: .

,

и т.д.

В соответствии с классификацией по условию дан интервальный равноотстоящий ряд динамики абсолютных величин.

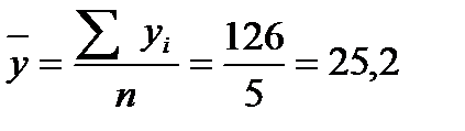
Для расчета среднего уровня ряда воспользуемся формулой средней арифметической простой.

тыс.шт.

Средний выпуск продукции составляет 25,2 тыс.шт. в год.

Средний абсолютный прирост определим двумя способами:

· по формуле:

тыс.шт.

· по формуле средней арифметической простой:

тыс.шт.

В среднем ежегодно выпуск продукции увеличивался на 2,5 тыс.шт.

Средний темп роста определим двумя способами:

· по цепным коэффициентам роста как средняя геометрическая:

· по формуле:

Средний темп прироста:

С 2006 по 2010 гг. выпуск продукции увеличивался в среднем на 10,7% в год.

 

4. По условию задачи 1 выровнять ряд по уравнению прямой. Определить с вероятностью 95,4% возможные пределы, в которых может находиться выпуск продукции в 2011 году.

Решение:

Результаты расчетов представлены в таблице.

Год
    –2   –40 20,0    
    –1   –22 22,6 –0,6 0,36
          25,2 0,8 0,64
    +1     27,8 0,2 0,04
    +2     30,4 –0,4 0,16
Итого             1,2

Для выравнивания данного ряда используем линейную трендовую модель – уравнение прямой: . В нашем примере n =5 – нечетное число.

Определим параметры и .

; .

Найденные параметры необходимо подставить в уравнение прямой , которое в результате будет представлять собой трендовую модель искомой функции:

.

Подставляя в данное уравнение последовательно значения , находим выровненные уровни .

Значения уровней выровненного ряда найдены верно, т.к. =

Значение за пределами исследуемого ряда равно . Предполагаемый выпуск продукции в 2011 году составит тыс.шт.

Результат экстраполяции прогнозируемых явлений обычно получают не точечными (дискретными), а интервальными оценками.

Для определения границ интервалов воспользуемся формулой:

,

Коэффициент доверия = 2, т.к. вероятность = 95,4%.

Остаточное среднее квадратическое отклонение от тренда, скорректированное по числу степеней свободы (n-m):

0,63

Вероятностные границы интервала прогнозируемого явления:

С вероятностью 95,4% можно предположить, что выпуск продукции в 2011 году будет не менее 31,74 тыс.шт., но и не более 34,26 тыс.шт.

5. По данным о численности персонала на определенные даты определить среднюю списочную численность персонала.

С 1 по 15 апреля работали 20 человек, с 16 по 25 апреля – 27 человек, с 26 по 30 апреля – 30 человек.

Решение:

В соответствии с классификацией по условию дан интервальный ряд с неравными интервалами.

Для расчета среднего уровня ряда воспользуемся формулой средней арифметической взвешенной.

.

Средняя списочная численность работников в апреле составила 24 человека.

 

6. По данным об остатках вкладов в банке определить средние месячные остатки вкладов за 2 квартал.

1 апреля – 22 млн.руб.

1 мая – 28 млн.руб.

1 июня – 30 млн.руб.

1 июля – 32 млн.руб.

Решение:

В соответствии с классификацией по условию дан моментный ряд с равными интервалами.

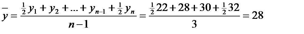
Для расчета среднего уровня ряда воспользуемся формулой средней хронологической простой:

.

Среднемесячные остатки вкладов во 2квартале составили 28 млн.руб.

7. В марте по сравнению с февралем цены возросли на 8%, в апреле по сравнению с мартом на 11%. Определить: на сколько процентов возросли цены в апреле по сравнению с февралем; среднемесячный темп прироста цен с февраля по апрель.

Решение:

1. По условию можно определить цепные темпы роста.

Между цепными и базисными показателями существует следующая взаимосвязь: произведение всех последовательных цепных коэффициентов роста равно конечному базисному коэффициенту роста за весь период.

В апреле по сравнению с февралем цены возросли на 19,9 процентов.

2.Средний темп прироста:

 

8. По данным об остатках оборотных средств определить средние месячные остатки за год.

1 января – 80 тыс.руб.

1 мая – 20 тыс.руб.

1 октября – 110 тыс.руб.

1 января – 60 тыс.руб.

Решение:

В соответствии с классификацией по условию дан моментный ряд с неравными интервалами.

Для расчета среднего уровня ряда воспользуемся формулой средней хронологической взвешенной:

.

.

Среднегодовые остатки оборотных средств составили 65 тыс.руб.

 

9. По условным данным о затратах на производство продукции определить:

1. Общие индексы: а) суммы затрат на производство, б) себестоимости единицы продукции, в) физического объема;

2. Абсолютное изменение общих затрат на производство в текущем периоде по сравнению с плановым в целом, а также за счет изменения: а) себестоимости единицы, б) объема ее производства.

Показать взаимосвязь показателей.

Изделие Изменение себестоимости единицы продукции, % Общие затраты на производство, тыс. руб.
по плану фактически
  –3    
  –5    
  +1    
  ---    

Решение:

1. а) Индекс затрат на производство:

б) Индекс себестоимости продукции: . Т.к. по условию не известна себестоимость единицы продукции по плану - , но дано изменение себестоимости единицы продукции (зная которое можно определить индивидуальный индекс), воспользуемся формулой среднего гармонического индекса:

.

в) Индекс физического объема продукции, взвешенный по себестоимости продукции: .

Общее увеличение затрат на производство составило 4,5% в результате изменения как себестоимости продукции, так и объема ее производства.

В результате изменения себестоимости продукции издержки производства в отчетном периоде по сравнению с плановым снизились на 3,2%.

В результате изменения объема производства общие затраты в отчетном периоде по сравнению с плановым увеличились на 8,0%.

Взаимосвязь индексов: .

2. Разность числителя и знаменателя индекса затрат на производство показывает, на сколько денежных единиц изменились издержки производства продукции в текущем периоде по сравнению с плановым за счет изменения и себестоимости продукции, и объема ее производства.

а) Разность числителя и знаменателя индекса себестоимости продукции показывает, на сколько денежных единиц изменились издержки производства в результате изменения только себестоимости продукции.

б) Разность числителя и знаменателя индекса физического объема продукции показывает на сколько денежных единиц изменились общие издержки производства в результате изменения только объема производства.

Общее изменение затрат можно определить также как сумму влияния отдельных факторов:

 

10. По условным данным о производстве продукции определить:

1. Индивидуальные индексы цен.

2. Общие индексы цен: а) агрегатный, б) среднегармонический, в) переменного, фиксированного состава, структурных сдвигов.

3. Абсолютное изменение средней цены в целом по совокупности за счет влияния отдельных факторов.

Показать взаимосвязь показателей.

Изделие Цена за единицу продукции, тыс.руб. Стоимость продукции, тыс.руб.
базисный период отчетный период базисный период отчетный период
  4,0 5,0    
  6,0 5,0    
  1,4 1,2    
  --- ---    

Решение:

Для проведения расчетов составим дополнительную таблицу.

Изделие Количество продукции, шт. Стоимость продукции, реализованной в отчетном периоде по базисным ценам, тыс.руб. Индивидуальный индекс цен, %  
базисный период отчетный период
        125,0
        83,3
        85,7
        ---

1. Индивидуальный индекс цен рассчитывается по каждому виду продукции. Данные расчетов занесены в таблицу. Цены по первому виду продукции возросли на 25%, по второму и третьему снизились соответственно на 16,7% и 14,3%.

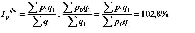
2. Общие индексы цен:

а) Агрегатный индекс определим по формуле Паше:

.

б) Среднегармонический индекс получен преображением агрегатного, поэтому равен с ним количественно и совпадает по смыслу:

.

в) Индекс переменного состава:

.

Индекс фиксированного состава аналогичен агрегатному индексу:

.

Индекс структурных сдвигов:

.

Взаимосвязь индексов: .

3. Абсолютное изменение средней цены находится как разность числителя и знаменателя индекса переменного состава:

тыс.руб.

Это изменение складывается под влиянием двух факторов:

а) Изменения цен на отдельные товары (разность числителя и знаменателя индекса фиксированного состава):

тыс.руб.

б) Изменения структуры продукции (разность числителя и знаменателя индекса структурных сдвигов):

тыс.руб.

Общее абсолютное изменение средней цены можно определить также как сумму влияния отдельных факторов:

тыс.руб.

Средний уровень цен по группе товаров увеличился на 222 рубля (10,3%) за счет одновременного влияния двух факторов – цен на отдельные виды продукции и структуры продаваемых изделий.

Средняя цена увеличилась на 64 рубля (2,8%) за счет изменения только самой индексируемой величины – цены при одной и той же фиксированной структуре продукции.

Влияние только структурных изменений, под которыми понимается изменение доли отдельных видов продукции в общей их численности при неизменном уровне цен на эти виды продукции привело к росту средней цены на 158 рублей (7,3%).

 

11. Определить индекс физического объема производства, если общие затраты времени на производство продукции снизились на 8%, а выработка продукции увеличилась на 2%.

Решение:

Из формулы выработки выразим физический объем производства . Индекс физического объема равен произведению индексов составляющих его показателей . Физический объем производства снизился на 6,2%.

 

 


Задания для выполнения контрольной работы по статистике

 

 

Задача 1. Имеются следующие данные по 29 предприятиям отрасли за отчетный год (цифры условные):

 

Номер предприятия Среднесписочное число рабочих, чел. Стоимость произведенной продукции, млн руб. Среднегодовая стоимость ОПФ, млн руб. Себестоимость единицы продукции, руб. Размер производственной площади, м2
    9,7 9,2    
    22,5 12,0    
    26,1 23,7    
    14,8 23,1    
    16,5 18,6    
    31,9 29,3    
    14,7 13,0    
    8,3 8,0    
    9,4 8,9    
    12,2 11,5    
    19,6 17,0    
    19,0 15,6    
    12,0 11,1    
    12,4 12,7    
    17,0 14,3    
    14,0 13,6    
    14,4 13,2    
    14,5 13,9    
    17,1 15,2    
    17,8 16,4    
    21,2 18,5    
    10,6 10,3    
    25,7 20,5    
    13,0 12,6    
    18,5 17,8    
    15,6 14,9    
    15,2 15,1    
    14,1 13,5    
    14,9 14,2    

 

Для решения задачи взять 20 предприятий согласно следующей таблице:

Вариант Номера предприятий Задание (основание группировки)
  1-20 Среднесписочная численность рабочих
  2-21 Стоимость произведенной продукции
  3-22 Среднегодовая стоимость ОПФ
  4-23 Себестоимость единицы продукции
  5-24 Размер производственной площади
  6-25 Среднесписочная численность рабочих
  7-26 Стоимость произведенной продукции
  8-27 Среднегодовая стоимость ОПФ
  9-28 Себестоимость единицы продукции
  10-29 Размер производственной площади

 

Построить статистический ряд распределения согласно заданию. Для этого определить количество групп по формуле Стерджесса. Группировку осуществить с равными интервалами. Результаты расчетов представить в таблице.

Построить графики ряда распределения: гистограмму, полигон. Сделать выводы.

Задача 2. Для анализа динамики среднего дохода населения РФ в текущем году определить:

1) в соответствии с классификацией - вид ряда динамики;

2) среднемесячный доход населения за 7 месяцев;

3) следующие цепные и базисные показатели по месяцам:

а) абсолютные приросты;

б) темпы роста;

в) темпы прироста.

4) абсолютное значение 1% прироста;

5) среднемесячный темп роста и прироста за весь период, средний абсолютный прирост;

6) к какому виду относительных показателей относится размер среднего дохода населения.

Выровнять ряд по уравнению прямой, определить с вероятностью 95% возможные пределы, в которых может находиться доход населения в сентябре.

После расчетов построить графики динамики среднемесячного дохода за январь – июль текущего года по фактическим и выровненным данным.

 

Имеются следующие статистические данные о среднем доходе населения РФ в текущем году (цифры условные):

 

 

  Месяц Доход населения (в среднем на душу населения), руб./чел.
Варианты
                   
Январь                    
Февраль                    
Март                    
Апрель                    
Май                    
Июнь                    
Июль                    

 

Задача 3. Для определения среднего возраста планируется обследование населения города методом случайного отбора. Численность населения города составляет 170400 человек. Каков должен быть необходимый объем выборочной совокупности, чтобы с вероятностью 0,954 ошибка выборки не превышала 6 лет при среднем квадратическом отклонении 20 лет?

 

Задача 4. На отчетный период планом предусматривалось увеличить объем выпуска продукции на 7% по сравнению с предшествующим периодом. План выпуска продукции был недовыполнен на 2,5%. Определить, на сколько процентов увеличился (снизился) объем производства в отчетном периоде по сравнению с предшествующим периодом.

 

Задача 5. Для анализа товарооборота магазинов города выборочным методом было проведено обследование 60% магазинов. Результаты выборки представлены в таблице (цифры условные):

 

Группы магазинов по товарообороту, тыс. руб. Число магазинов
Варианты
                   
до 50                    
50-60                    
60-70                    
70-80                    
80-90                    
90-100                    
100-110                    
110-120                    
120-130                    
более 130                    

1) По каждой группе магазинов определить их удельный вес в общем количестве. Построить структурную секторную диаграмму. К какому виду относительных показателей относится удельный вес предприятий?

2) По данным группировки определить:

а) средний уровень ряда;

б) размах вариации;

в) среднее линейное отклонение;

г) дисперсию;

д) среднее квадратическое отклонение;

е) коэффициент вариации;

ж) моду и медиану.

3) С вероятностью 0,997 определить для всех магазинов города пределы, в которых находится:

а) средний товарооборот;

б) доля магазинов с товарооборотом более 100 тыс. руб.

 

Задача 6. Имеются данные о работе 12 предприятий за 2 периода (цифры условные).

Определить для анализируемого показателя:

1) индивидуальные индексы;

2) агрегатный индекс и соответствующий ему среднегармонический и среднеарифметический индекс;

3) индексы переменного, фиксированного состава и индекс влияния структурных сдвигов. Покажите взаимосвязь между ними;

4) абсолютное влияние анализируемого фактора на изменение общего показателя (факторный анализ).


 

Задания для решения задачи 6

 

Показатели Номер предприятия
                         
Базисный период Произведено продукции, тыс.шт.                          
Себестоимость ед. прод., тыс. руб. 12,5 10,1 4,2 6,1 7,8 5,7 8,8 9,3 11,4 5,0 6,6 8,1  
Среднеспис. численность, чел.                          
Стоимость продукции, млн руб.                          
Среднегод. стоим. ОПФ, млн руб.                          
Год. фонд оплаты труда, млн руб.                          
Отчетный период Произведено продукции, тыс.шт.                          
Себестоимость ед. прод., тыс. руб. 13,0 10,3 5,0 6,0 7,1 6,0 8,0 9,5 10,4 6,3 6,0 8,5  
Среднеспис. численность, чел.                          
Стоимость продукции, млн руб.                          
Среднегод. стоим. ОПФ, млн руб.                          
Год. фонд оплаты труда, млн руб.                          
                                           

 


Для решения задачи взять 3 предприятия согласно следующей таблице:

Вариант Номера предприятий Задание (анализируемый показатель)
  1-3 Себестоимость единицы продукции
  2-4 Производительность труда
  3-5 Цена за единицу продукции
  4-6 Средняя заработная плата
  5-7 Фондоотдача
  6-8 Себестоимость единицы продукции
  7-9 Производительность труда
  8-10 Цена за единицу продукции
  9-11 Средняя заработная плата
  10-12 Фондоотдача

 

 

Задача 7. По данным о стаже работы 29 рабочих цеха (количество лет) составить дискретный вариационный ряд.

5, 4, 6, 3, 4, 1, 2, 6, 2, 13,1, 6, 1, 3, 4, 4, 5, 1, 2, 3, 3, 4, 1, 5, 4, 13, 6, 6, 5.

По сгруппированным данным определить средний уровень ряда, моду и медиану стажа работы.

 

Задача 8. За отчетный период численность рабочих на предприятии составила:

Дата 01.01 01.02 01.03 01.04 01.05 01.06 01.07
Численность              

Определить:

1) в соответствии с классификацией – вид ряда динамики;

2) среднюю списочную численность рабочих за 1, 2 квартал и за 1 полугодие.

 

Задача 9. Определить среднюю производительность труда одного рабочего по трем цехам предприятия вместе.

Цех Стоимость выпущенной продукции, тыс. руб. Средняя производительность труда одного рабочего, тыс. руб.
    21,0
    18,4
    17,3

 

 




Поделиться с друзьями:


Дата добавления: 2014-12-24; Просмотров: 4177; Нарушение авторских прав?; Мы поможем в написании вашей работы!


Нам важно ваше мнение! Был ли полезен опубликованный материал? Да | Нет



studopedia.su - Студопедия (2013 - 2026) год. Все материалы представленные на сайте исключительно с целью ознакомления читателями и не преследуют коммерческих целей или нарушение авторских прав! Последнее добавление




Генерация страницы за: 0.011 сек.