Студопедия

КАТЕГОРИИ:


Архитектура-(3434)Астрономия-(809)Биология-(7483)Биотехнологии-(1457)Военное дело-(14632)Высокие технологии-(1363)География-(913)Геология-(1438)Государство-(451)Демография-(1065)Дом-(47672)Журналистика и СМИ-(912)Изобретательство-(14524)Иностранные языки-(4268)Информатика-(17799)Искусство-(1338)История-(13644)Компьютеры-(11121)Косметика-(55)Кулинария-(373)Культура-(8427)Лингвистика-(374)Литература-(1642)Маркетинг-(23702)Математика-(16968)Машиностроение-(1700)Медицина-(12668)Менеджмент-(24684)Механика-(15423)Науковедение-(506)Образование-(11852)Охрана труда-(3308)Педагогика-(5571)Полиграфия-(1312)Политика-(7869)Право-(5454)Приборостроение-(1369)Программирование-(2801)Производство-(97182)Промышленность-(8706)Психология-(18388)Религия-(3217)Связь-(10668)Сельское хозяйство-(299)Социология-(6455)Спорт-(42831)Строительство-(4793)Торговля-(5050)Транспорт-(2929)Туризм-(1568)Физика-(3942)Философия-(17015)Финансы-(26596)Химия-(22929)Экология-(12095)Экономика-(9961)Электроника-(8441)Электротехника-(4623)Энергетика-(12629)Юриспруденция-(1492)Ядерная техника-(1748)

Краткая теория. Работа 64. Изучение теплового излучения




Работа 64. Изучение теплового излучения

Цель работы

Изучение теплового излучения, проверка закона Стефана – Больцмана для энергетической светимости абсолютно чёрного тела.

1. Приборы и принадлежности:

1.Устройство измерительное.

2. Объект исследования (печь).

3. Термостолбик и стойка.

Электромагнитное излучение, причиной которого является возбуждение атомов и молекул вещества вследствие его нагревания, называется тепловым или температурным излучением. Температурное излучение является универсальным свойством тел. Все тела, температура которых отлична от абсолютного нуля, непрерывно излучают лучистую энергию. Этот процесс сопровождается уменьшением внутренней энергии тела, вследствие чего тело остывает. Одновременно с излучением энергии происходит поглощение лучистой энергии, падающей на поверхность тела. Последний процесс приводит к увеличению внутренней энергии тела. Все окружающие нас тела находятся в лучистом теплообмене. Если один из процессов преобладает (излучение или поглощение), то температура тела изменяется. Если же оба процесса эквивалентны, то температура тела остается постоянной.

Состояние системы называется равновесным, если распределение энергии между телами и излучением остается неизменным во времени. Равновесность является основным условием теплового излучения.

Поток излучения – энергия, излучаемая телом в единицу времени:

т.е. это полная мощность, переносимая электромагнитным излучением через какую либо поверхность при данной температуре.

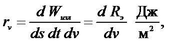
Энергетической светимостью (интегральной испускательной способностью) тела называется физическая величина Rэ, численно равная энергии электромагнитных волн всевозможных частот (или длин волн) от 0 до ¥, излучаемых за единицу времени с единицы площади поверхности тела:

Для характеристики распределения энергии по спектру введена спектральная плотность энергетической светимости – энергия, излучаемая телом с единицы площади поверхности тела в единицу времени в единичном интервале длин волн (частот) при данной температуре:

dWизл – энергия электромагнитного излучения, испускаемого телом при данной температуре в интервале длин волн от l до l + dl (или частот от v до v + dv).

Энергетическая светимость тела связана с и соотношениям

.

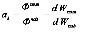
Способность тела поглощать лучистую энергию характеризуется коэффициентом поглощения (поглощательной способностью), равным отношению потока излучения, поглощенного данным телом, к потоку излучения, упавшего на него:

.

Так как коэффициент поглощения зависит от длины волны, то вводят монохроматический (спектральный) коэффициент поглощения (спектральная поглощательная способность), равный отношению потоков монохроматического излучения:

.

Абсолютно черным называется тело, способное поглощать при любой температуре все падающее на него излучение любой частоты. Поглощательная способность абсолютно черного тела для всех частот и температур тождественно равна единице .

Абсолютно черных тел в природе нет, однако такие тела, как сажа, платиновая чернь, черный бархат и некоторые другие, в определенном интервале частот по своим свойствам близки к ним.

Закон Стефана - Больцмана: энергетическая светимость абсолютно черного тела пропорциональна четвертой степени его термодинамической температуры:

,

где - постоянная Стефана - Больцмана.

Закон смещения Вина: длина волны , соответствующая максимальному значению спектральной плотности энергетической светимости абсолютно черного тела, обратно пропорциональна его абсолютной температуре:

,

где = 2,9 . 10-3 м К – постоянная Вина.

Вин установил также, что максимальная спектральная плотность энергетической светимости абсолютно черного тела пропорциональна пятой степени абсолютной температуры:

где – вторая постоянная Вина.

Из рассмотрения законов Стефана - Больцмана и Вина следует, что термодинамический подход к решению задачи о нахождении спектральной плотности энергетической светимости (универсальной функции Кирхгофа) еl не дал желаемых результатов.

Правильное согласующееся с опытными данными выражение для спектральной плотности энергетической светимости абсолютно черного тела было найдено в 1900 г. немецким физиком М. Планком. Для этого ему пришлось отказаться от установившегося в физике представления об электромагнитном излучении как о непрерывной электромагнитной волне, которая может иметь любую частоту и, следовательно, переносить любые количества энергии. Планк высказал гипотезу, согласно которой электромагнитное излучение испускается в виде отдельных порций (квантов), величина которых пропорциональна частоте излучения:

,

где - постоянная Планка.

Так как излучение испускается порциями hv, то излученная энергия должна быть кратной величине этой порции, т.е.

.

Рассмотрим теперь угловую характеристику излучения – зависимость излучения от угла между направлением света и нормалью к поверхности (рис.1а). Пусть с площади S под углом испускается в телесном угле поток излучения (рис.1б). Лучистость (энергетическая яркость) есть величина

 

Рисунок 1.

Для большинства светящихся тел яркость (лучистость) зависит от угла наблюдения: . Для некоторых тел яркость примерно одинаковая в различных направлениях.

Тогда поток излучения пропорционален косинусу угла .

, (*)

где - поток в направлении к нормали. Зависимость (*), изображённую в полярных координатах на рис.2 называют законом Ламберта (а соответствующие излучатели – ламбертовскими или косинусными).

Этот закон выполняется точно лишь для маленького излучающего отверстия в стенке равномерно раскалённой полости – так называемого «чёрного тела».

Для ламбертовского источника излучательность R и лучистость В связаны следующим соотношением:

которое можно получить интегрированием потока излучения по различным направления в полусферу (в пределах телесного угла стерадиан).

 

Рисунок 2.

 

Для чёрного тела можем записать . Чтобы найти , надо для чёрного тела площади измерить температуру Т и полный поток (по всем направлениям и частотам), причём в определённых (абсолютных) единицах – ваттах. Такого рода измерения относятся к абсолютным измерениям и представляют определённую сложность.

Для черного тела полный поток излучения можно найти если измерить поток в небольшом телесном угле и воспользоваться законом Ламберта, т.е. известной зависимостью излучения от угла.

Принципиальная схема измерений дана на рис. 3. Излучатель площади имеющий лучистость (энергетическую яркость) В и излучательность R, даёт полный поток излучения по всем направлениям

Излучение измеряется приёмником с площадью приёмного элемента . Поток излучения с поверхности в телесном угле , под углом (рис. 4) равен:

Поток излучения Ф в телесном угле , падающий на приёмник, равен:

где интегрирование производится по площади и по всем углам в направлении приемника.

 

Рисунок 3. Рисунок 4.

Интеграл находится просто для случая, когда линейные размеры излучателя и приёмника малы по сравнению с расстоянием L между ними. Тогда угол мал (), телесный угол равен и после интегрирования получим:

Напомним, что телесный угол, с вершиной в центре сферы равен отношению площади, вырезаемой образующими углами на поверхности сферы, к квадрату радиуса сферы.

Исключая В, получим искомое соотношение между потоками:

По закону Стефана – Больцмана для серого тела

Решая совместно последние две формулы, исключив поток , получим:

,

где - полная мощность с площади излучения серого тела при данной температуре, а множитель - это доля излучения попадающего в приёмник.

В данной работе температура излучателя изменяется от комнатной (примерно С или К) до К. При комнатной температуре со стороны излучателя падает поток

Следовательно при возрастании температуры от до поток излучения возрастает на величину

Это выражение является главным для экспериментальной части работы. Принимаемое излучение приёмник преобразует в выходное напряжение U, которое пропорционально приращению потока (при малых )

Коэффициент преобразовании (чувствительность) П можно измерять с помощью калибровки (см. график и калибровочные таблицы).

Если построить график зависимости изменения потока от температуры, то по углу наклона, принимая приближённо , можно найти постоянную Больцмана по формуле:




Поделиться с друзьями:


Дата добавления: 2014-12-24; Просмотров: 485; Нарушение авторских прав?; Мы поможем в написании вашей работы!


Нам важно ваше мнение! Был ли полезен опубликованный материал? Да | Нет



studopedia.su - Студопедия (2013 - 2026) год. Все материалы представленные на сайте исключительно с целью ознакомления читателями и не преследуют коммерческих целей или нарушение авторских прав! Последнее добавление




Генерация страницы за: 0.01 сек.