Студопедия

КАТЕГОРИИ:


Архитектура-(3434)Астрономия-(809)Биология-(7483)Биотехнологии-(1457)Военное дело-(14632)Высокие технологии-(1363)География-(913)Геология-(1438)Государство-(451)Демография-(1065)Дом-(47672)Журналистика и СМИ-(912)Изобретательство-(14524)Иностранные языки-(4268)Информатика-(17799)Искусство-(1338)История-(13644)Компьютеры-(11121)Косметика-(55)Кулинария-(373)Культура-(8427)Лингвистика-(374)Литература-(1642)Маркетинг-(23702)Математика-(16968)Машиностроение-(1700)Медицина-(12668)Менеджмент-(24684)Механика-(15423)Науковедение-(506)Образование-(11852)Охрана труда-(3308)Педагогика-(5571)Полиграфия-(1312)Политика-(7869)Право-(5454)Приборостроение-(1369)Программирование-(2801)Производство-(97182)Промышленность-(8706)Психология-(18388)Религия-(3217)Связь-(10668)Сельское хозяйство-(299)Социология-(6455)Спорт-(42831)Строительство-(4793)Торговля-(5050)Транспорт-(2929)Туризм-(1568)Физика-(3942)Философия-(17015)Финансы-(26596)Химия-(22929)Экология-(12095)Экономика-(9961)Электроника-(8441)Электротехника-(4623)Энергетика-(12629)Юриспруденция-(1492)Ядерная техника-(1748)

Вилив частоти на розміри трансформаторів




Як показує досвід, асинхронні двигуни потужністю до 100 кВт виходять найкомпактнішими при чотирьох і шестиполюсному виконанні, тобто або 3. Якщо цю величину прийняти незмінною, то оскільки , бажано збільшувати частоту бо при цьому росте значення і, згідно (15.26), розміри машини і її маса зменшується (не дивлячись на те, що зі зростанням частоти, щоб не допустити значного зростання втрат, доводиться дещо знижувати електромагнітні, навантаження).

При збільшені частоти зменшуються розміри трансформатора. Збільшимо частоту від до , зберігаючи при цьому незмінними втрати у сталі. Тоді, згідно (13.2) треба витримати рівність , де приймемо . Отже

(15.3)

Оскільки у трансформатора, згідно (8.4) , де - площа поперечного перерізу стержня магнітопроводу, повна потужність

(15.4а)

Якщо позначити густину струму в провіднику через , а його площу поперечного перерізу - , то ;тоді формула (15.4а) прийме вигляд

(15.4б)

Оскільки густина струму - величина для багатьох трансформаторів практично постійна , можна вважати, що добуток площі поперечного перерізу провідника на кількість витків визначає площу поперечного вікна , в якому розміщується обмотка трансформатора. З урахуванням цього рівняння (15.46) прийме вигляд

де .

Рис. 15.1. Геометрично подібні трансформатори

Уявімо собі, що у двох подібних за конструкцією трансформаторів всі лінійні розмір (довжина, ширина і висота) відрізняються в А разів. Тоді на рис. 15.1 . Очевидно, що при цьому співвідношенні площ поперечних перерізів стержнів і вікон . При одних і тих і тих самих частотах і індукціях, згідно виразу (15.5)

(15.6)

Маса т ігабаритний об'єм трансформатора змінюється пропорційно до кубу його лінійних розмірів, тобто

(15.7)

Для трансформатора при частоті згідно (15.5)

а при частоті з урахуванням: (15.3)

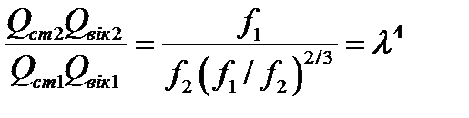
Розділивши (15.9) на (15.8) з урахуванням (15.6) отримаємо

або

(15.10)

Підставивши це значення у рівняння (15.7) отримаємо

(15.11)

Уявімо собі, що частота підвищена з до ; тоді маса і об'єм трансформатора стануть , тобто зменшаться майже на 40% або в 1,7 рази.

Ця ж закономірність практично справджується і для електричних машин. Ось чому при автономних системах електропостачання (кораблі, літаки, допоміжні машини деяких видів електричного рухомого складу) застосовують частоти 400 або 500 Гц,

Варто відзначити, що збільшення частоти при незмінній кількості полюсів доцільне лише до деяких меж, вище котрих розміри і маса машин знову починають зростати, бо приходиться знижувати електромагнітні навантаження, оскільки через механічні, причини максимальна колова швидкість обмежена. Викладене справджується для машин, аналогічних за своєю конструктивною схемою.




Поделиться с друзьями:


Дата добавления: 2014-12-25; Просмотров: 516; Нарушение авторских прав?; Мы поможем в написании вашей работы!


Нам важно ваше мнение! Был ли полезен опубликованный материал? Да | Нет



studopedia.su - Студопедия (2013 - 2025) год. Все материалы представленные на сайте исключительно с целью ознакомления читателями и не преследуют коммерческих целей или нарушение авторских прав! Последнее добавление




Генерация страницы за: 0.007 сек.