Студопедия

КАТЕГОРИИ:


Архитектура-(3434)Астрономия-(809)Биология-(7483)Биотехнологии-(1457)Военное дело-(14632)Высокие технологии-(1363)География-(913)Геология-(1438)Государство-(451)Демография-(1065)Дом-(47672)Журналистика и СМИ-(912)Изобретательство-(14524)Иностранные языки-(4268)Информатика-(17799)Искусство-(1338)История-(13644)Компьютеры-(11121)Косметика-(55)Кулинария-(373)Культура-(8427)Лингвистика-(374)Литература-(1642)Маркетинг-(23702)Математика-(16968)Машиностроение-(1700)Медицина-(12668)Менеджмент-(24684)Механика-(15423)Науковедение-(506)Образование-(11852)Охрана труда-(3308)Педагогика-(5571)Полиграфия-(1312)Политика-(7869)Право-(5454)Приборостроение-(1369)Программирование-(2801)Производство-(97182)Промышленность-(8706)Психология-(18388)Религия-(3217)Связь-(10668)Сельское хозяйство-(299)Социология-(6455)Спорт-(42831)Строительство-(4793)Торговля-(5050)Транспорт-(2929)Туризм-(1568)Физика-(3942)Философия-(17015)Финансы-(26596)Химия-(22929)Экология-(12095)Экономика-(9961)Электроника-(8441)Электротехника-(4623)Энергетика-(12629)Юриспруденция-(1492)Ядерная техника-(1748)

Завдання для самостійної роботи




 

5.7. Розв’язати рівняння:

а) ; b) ; c) ; d) .

5.8. Розв’язати рівняння .

5.9. Зобразити на числовій осі точки, що задовольняють нерівності:

а) ; b) ; c) ; d) ; e) ; f) ;

g) .

5.10. Визначити, для яких значень геометрична прогресія із знаменником буде нескінченно спадною, тобто

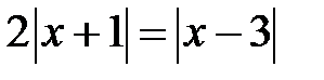
5.11. Розв’язати нерівності: а) ; b) .

5.12. Розв’язати рівняння:

а) ; b) ; c)

5.13. Розв’язати нерівності:

а) ; b) ; c)2 ; d) .

 

5.4. Показникові та логарифмічні рівняння

 

Рівняння, що містять невідому в показникові степеня, мають назву “показникові рівняння”.

Основні види показникових рівнянь такі:

1.

За визначенням нульового показника

2.

Якщо розділити обидві частини рівняння на то одержимо рівняння

3.

За означенням логарифма

4.

Винесемо за дужки де Маємо

або

Рівняння має розв`язок, якщо .

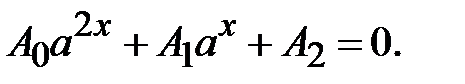
5.

Позначимо , тоді одержимо квадратне рівняння відносно , оскільки

6.

Поділивши обидві частини на , отримаємо рівняння, що має вигляд рівняння 5.

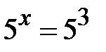
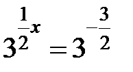
Приклад5.17. Розв’язати рівняння .

Розв’язання. Праву частину перетворимо в число з основою 3: . Тепер підставимо в рівняння. Маємо Þ .

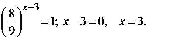
Приклад5.18. Розв’язати рівняння .

Розв’язання. Оскільки , то рівняння матиме вигляд . Винесемо за дужки: Þ Þ Таким чином, але Þ Þ .

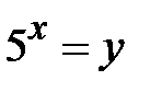
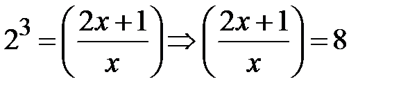
Приклад5.19. Розв’язати рівняння

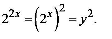
Розв’язання. Позначимо , тоді Підставимо і в задане рівняння. Отримаємо квадратне рівняння Розв’яжемо це рівняння. Маємо: Þ Звідси: , , , і , , ,

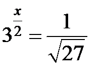
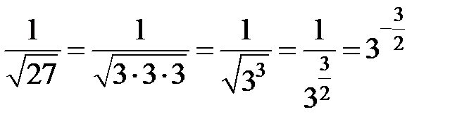
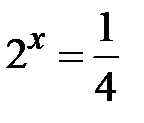
Приклад 5.20. Розв’язати рівняння

Розв’язання.

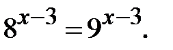
Приклад 5.21. Розв’язати рівняння

Розв’язання.

Приклад 5.22. Розв’язати рівняння

Розв’язання. Винесемо за дужки Отримаємо:

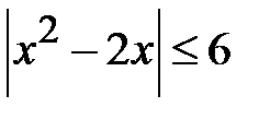
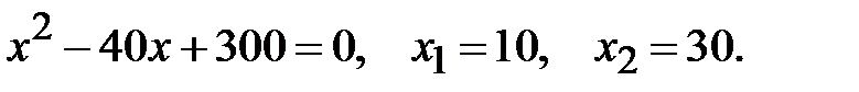
Приклад 5.23. Розв’язати рівняння

Розв’язання. Позначимо . Маємо . Корені квадратного

рівняння: і . Оскільки то нас влаштовує тільки корінь . Тоді

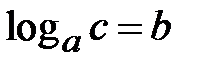
Якщо невідома змінна міститься під знаком логарифма або в його основі, то таке рівняння називається логарифмічним. При розв’язуванні логарифмічних рівнянь обов’язково потрібно враховувати властивості логарифмічної функції : , , .

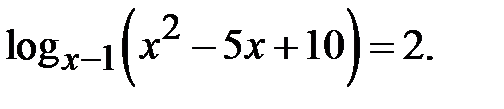
Приклад 5.24. Розв’язати рівняння

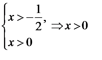
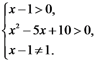
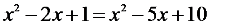
Розв’язання. Для цього рівняння ОДЗ таке:

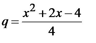
Розв’яжемо нерівність : Парабола не має точок перетину з віссю . Отже, для будь-яких . Тоді Þ , . За означенням логарифма маємо

Þ Þ Þ , .

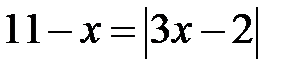
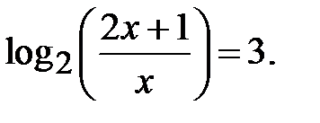
Приклад 5.25. Розв’язати рівняння .

Розв’язання. Визначимо ОДЗ цього рівняння: Þ .

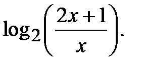
До лівої частини рівняння застосуємо властивість , тобто ліва частина дорівнює логарифму дробу В правій частині рівняння . Тоді початкове рівняння набуде вигляду За означенням логарифма . Оскільки то .

Приклад 5.26. Розв’язати рівняння .

Розв’язання. Для цього рівняння ОДЗ таке: . До лівої частини рівняння застосуємо властивість . За означенням десяткового логарифма , , , . Врахуємо, що , тоді не є коренем цього рівняння.




Поделиться с друзьями:


Дата добавления: 2014-12-26; Просмотров: 422; Нарушение авторских прав?; Мы поможем в написании вашей работы!


Нам важно ваше мнение! Был ли полезен опубликованный материал? Да | Нет



studopedia.su - Студопедия (2013 - 2025) год. Все материалы представленные на сайте исключительно с целью ознакомления читателями и не преследуют коммерческих целей или нарушение авторских прав! Последнее добавление




Генерация страницы за: 0.011 сек.