Студопедия

КАТЕГОРИИ:


Архитектура-(3434)Астрономия-(809)Биология-(7483)Биотехнологии-(1457)Военное дело-(14632)Высокие технологии-(1363)География-(913)Геология-(1438)Государство-(451)Демография-(1065)Дом-(47672)Журналистика и СМИ-(912)Изобретательство-(14524)Иностранные языки-(4268)Информатика-(17799)Искусство-(1338)История-(13644)Компьютеры-(11121)Косметика-(55)Кулинария-(373)Культура-(8427)Лингвистика-(374)Литература-(1642)Маркетинг-(23702)Математика-(16968)Машиностроение-(1700)Медицина-(12668)Менеджмент-(24684)Механика-(15423)Науковедение-(506)Образование-(11852)Охрана труда-(3308)Педагогика-(5571)Полиграфия-(1312)Политика-(7869)Право-(5454)Приборостроение-(1369)Программирование-(2801)Производство-(97182)Промышленность-(8706)Психология-(18388)Религия-(3217)Связь-(10668)Сельское хозяйство-(299)Социология-(6455)Спорт-(42831)Строительство-(4793)Торговля-(5050)Транспорт-(2929)Туризм-(1568)Физика-(3942)Философия-(17015)Финансы-(26596)Химия-(22929)Экология-(12095)Экономика-(9961)Электроника-(8441)Электротехника-(4623)Энергетика-(12629)Юриспруденция-(1492)Ядерная техника-(1748)

Рівняння та нерівності, що містять під знаком абсолютної величини




Завдання для самостійної роботи

5.6. Розв’язати нерівності:

а) ; b) ; c) ;

d) ; e) ; f) ;

g) ; h) ;

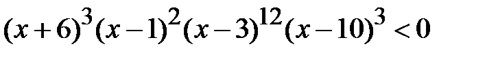
i) ; j) ; k) ; l) .

 

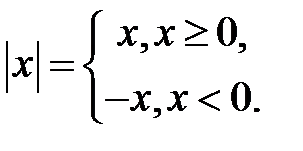
Нагадаємо означення модуля або абсолютної величини числа: модулем називається само число , якщо і , якщо :

Наприклад, якщо , то . А у випадку значення модуля таке: .

Геометричний зміст модуля: - це відстань від точки до точки 0 на числовій прямій. Отже, для маємо:

а) (рис. 5.5); б) (рис. 5.6);

в) .

Рис. 5. 5 Рис. 5. 6 Рис. 5. 7

Корисно запам’ятати також, що є відстанню на числовій прямій від точки до точки (рис. 5.7).

Наприклад, на числовій прямій множина точок, що задовольняє умову , є інтервал із центром у точці і радіусом , тобто інтервал від точки до точки .

Приклад 5.12. Розв’язати рівняння .

Розв’язання. Точка розбиває числову вісь на два проміжки, а саме, якщо , то вираз під знаком модуля додатний, тому модуль збігається із самим виразом, і маємо систему або та її розв’язок . У протилежному випадку після розкриття знака модуля отримаємо . Відповідь: .

Приклад 5.13. Розв’язати рівняння .

Розв’язання. Для розв’язання цього рівняння краще безпосередньо проаналізувати означення модуля. Модуль числа дорівнює якщо це число або . Наше рівняння можна замінити на два окремих рівняння, які часто записують у вигляді сукупності Кожне рівняння розглянемо окремо і отримаємо

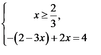
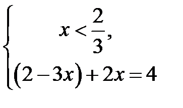
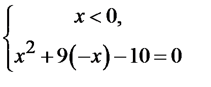
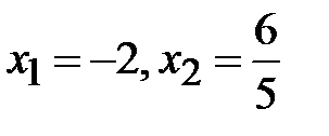
Приклад 5.14. Розв’язати рівняння

Розв’язання. Перший спосіб - використання заміни змінної, а саме: позначимо і підкреслимо, що . Розв’язками отриманого квадратного рівняння є числа і , друге із яких нас не влаштовує. Рівняння має два корені: .

Рівняння можна було розв’язати інакше, а саме розглянути окремо два випадки: і . Відповідно маємо і . Першу систему задовольняє число , а другу – .

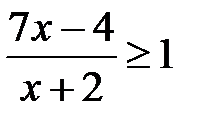
Приклад 5.15. Розв’язати нерівність .

Розв’язання. Нерівність одразу замінимо на або . Відповідь: або .

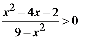
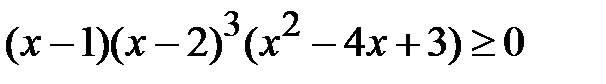
Приклад 5. 16. Розв’язати нерівність .

Розв’язання. Щоб позбавитися знака модуля, розглянемо окремо два випадки: 1) , 2) , які приводять до двох окремих систем:

1) і 2) . Перша має розв’язок , а друга - розв’язок . Тому .

Зауваження. Розглянуті приклади здаються занадто простими, але у подальшому вони можуть змінювати своє “обличчя” та виникати у досить серйозному вигляді, а тоді має неабияке значення вміння розв’язувати їх швидко та правильно

(див. завдання 5.10)




Поделиться с друзьями:


Дата добавления: 2014-12-26; Просмотров: 501; Нарушение авторских прав?; Мы поможем в написании вашей работы!


Нам важно ваше мнение! Был ли полезен опубликованный материал? Да | Нет



studopedia.su - Студопедия (2013 - 2025) год. Все материалы представленные на сайте исключительно с целью ознакомления читателями и не преследуют коммерческих целей или нарушение авторских прав! Последнее добавление




Генерация страницы за: 0.009 сек.