Студопедия

КАТЕГОРИИ:


Архитектура-(3434)Астрономия-(809)Биология-(7483)Биотехнологии-(1457)Военное дело-(14632)Высокие технологии-(1363)География-(913)Геология-(1438)Государство-(451)Демография-(1065)Дом-(47672)Журналистика и СМИ-(912)Изобретательство-(14524)Иностранные языки-(4268)Информатика-(17799)Искусство-(1338)История-(13644)Компьютеры-(11121)Косметика-(55)Кулинария-(373)Культура-(8427)Лингвистика-(374)Литература-(1642)Маркетинг-(23702)Математика-(16968)Машиностроение-(1700)Медицина-(12668)Менеджмент-(24684)Механика-(15423)Науковедение-(506)Образование-(11852)Охрана труда-(3308)Педагогика-(5571)Полиграфия-(1312)Политика-(7869)Право-(5454)Приборостроение-(1369)Программирование-(2801)Производство-(97182)Промышленность-(8706)Психология-(18388)Религия-(3217)Связь-(10668)Сельское хозяйство-(299)Социология-(6455)Спорт-(42831)Строительство-(4793)Торговля-(5050)Транспорт-(2929)Туризм-(1568)Физика-(3942)Философия-(17015)Финансы-(26596)Химия-(22929)Экология-(12095)Экономика-(9961)Электроника-(8441)Электротехника-(4623)Энергетика-(12629)Юриспруденция-(1492)Ядерная техника-(1748)

Рівняння та нерівності. Основні означення




Розділ 5. РІВНЯННЯ ТА НЕРІВНОСТІ

 

Рівнянням з однією змінною називається рівність, що містить цю змінну, яку називають невідомою.

Розв’язком (або коренем) рівняння називається таке значення змінної, яке при підстановці його у рівняння перетворює його на правильну числову рівність.

Розв’язати рівняння – це знайти всі його корені або довести, що коренів немає.

Два рівняння і називаються рівносильними, якщо множини їх розв’язків збігаються.

Якщо всі корені рівняння є коренями рівняння , то друге рівняння називають наслідком першого.

Для пошуку коренів рівняння над його частинами здійснюють деякі перетворення із метою спрощення, наприклад:

1. Додавання до обох частин одного й того ж виразу.

2. Множення обох частин на один і той же вираз.

3. Скорочення обох частин на один і той же вираз.

4. Піднесення обох частин до одного степеня.

5. Логарифмування або потенціювання обох частин за однаковою основою та ін.

Зауважимо, що при перетвореннях рівняння не завжди зберігається рівносильність,тобто у процесі перетворення можна як втратити корені, так і придбати так звані «зайві».

Проілюструємо сказане на прикладах рівнянь різного вигляду.

Приклад 5.1. Розв’язати ірраціональне рівняння .

Розв’язання. Після визначення ОДЗ рівняння піднесемо обидві його частини до квадрата і отримаємо або . Корені квадратного рівняння . Перевіркою легко переконатись в тому, що число дійсно задовольняє наше рівняння, а от число – ні. Справа в тому, що при піднесенні обох частин до парного степеня неправильна рівність перетворилась у правильну .

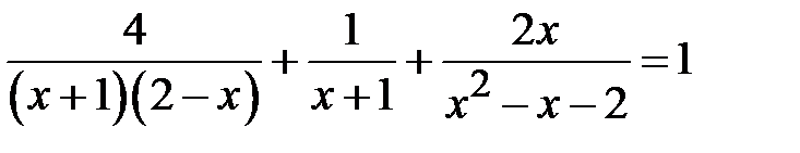
Приклад 5.2. Розв’язати рівняння .

Розв’язання. ОДЗ: . Спільний знаменник ліворуч дорівнює добутку і рівняння перетворюється на або . Після скорочення маємо , звідки . Але це число не є розв’язком, тому що не задовольняє ОДЗ.

Подальший пошук розв’язків для різноманітних класів рівнянь здійснюється різними методами, серед яких слід особливо зупинитися на методі заміни змінної та методі факторизації (тобто розкладання на множники від слова «factor» – множник).

Метод факторизації можна застосувати для розв’язання кубічних, тригонометричних та інших рівнянь.

Приклад 5.3. Знайти корені рівняння .

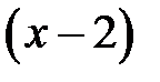
Розв’язання. Можна спробувати знайти корені спочатку серед чисел . Число перетворює рівняння на тотожність. Тому ліва частина є добутком виразу і полінома другого степеня, а саме . Рівняння перетворилось на , яке має корені .

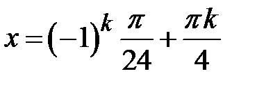
Приклад 5.4. Знайти корені рівняння .

Розв’язання. Перепишемо рівняння у вигляді ,

, що дає дві серії розв’язків і .

Зауваження. Не можна скорочувати обидві частини рівняння на спільний множник , бо це призводить до втрати першої серії розв’язків.

Приклад 5.5. Знайти функцію, що є оберненою до функції .

Розв’язання. У нашому прикладі фактично потрібно розв’язати відносно показникові рівняння . Це є ілюстрацією методу заміни змінної, а саме: позначимо . Маємо рівняння , або . Його додатний корінь , звідки .

Дві нерівності і називаються рівносильними, якщо множини їх розв’язків збігаються. Наприклад:

  1. Нерівності і рівносильні, якщо визначена на ОДЗ.
  2. Нерівності і рівносильні, якщо .
  3. Нерівності і рівносильні, якщо .
  4. Якщо обидві частини нерівності додатні, то можна підносити їх до степеня.

Приклад 5. 6. Розв’язати нерівність .

Розв’язання. Визначимо ОДЗ: . Якщо права частина нерівності невід’ємна, тобто виконано умову , то маємо право піднести до квадрата , або . Узгодження із ОДЗ дає відповідь . У випадку, коли права частина від’ємна, ця нерівність не може бути виконана, тому що невід’ємне число (ліворуч) не може бути меншим, ніж від’ємне (праворуч).

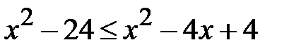
Приклад 5.7. Розв’язати нерівність .

Розв’язання. На відміну від попереднього прикладу випадок є розв’язком, бо додатне число автоматично буде більшим, ніж від’ємне. Якщо ж , піднесемо обидві частини до квадрата і отримаємо , або . Дві частини відповіді і можна об’єднати у множину .

 




Поделиться с друзьями:


Дата добавления: 2014-12-26; Просмотров: 549; Нарушение авторских прав?; Мы поможем в написании вашей работы!


Нам важно ваше мнение! Был ли полезен опубликованный материал? Да | Нет



studopedia.su - Студопедия (2013 - 2025) год. Все материалы представленные на сайте исключительно с целью ознакомления читателями и не преследуют коммерческих целей или нарушение авторских прав! Последнее добавление




Генерация страницы за: 0.009 сек.