Студопедия

КАТЕГОРИИ:


Архитектура-(3434)Астрономия-(809)Биология-(7483)Биотехнологии-(1457)Военное дело-(14632)Высокие технологии-(1363)География-(913)Геология-(1438)Государство-(451)Демография-(1065)Дом-(47672)Журналистика и СМИ-(912)Изобретательство-(14524)Иностранные языки-(4268)Информатика-(17799)Искусство-(1338)История-(13644)Компьютеры-(11121)Косметика-(55)Кулинария-(373)Культура-(8427)Лингвистика-(374)Литература-(1642)Маркетинг-(23702)Математика-(16968)Машиностроение-(1700)Медицина-(12668)Менеджмент-(24684)Механика-(15423)Науковедение-(506)Образование-(11852)Охрана труда-(3308)Педагогика-(5571)Полиграфия-(1312)Политика-(7869)Право-(5454)Приборостроение-(1369)Программирование-(2801)Производство-(97182)Промышленность-(8706)Психология-(18388)Религия-(3217)Связь-(10668)Сельское хозяйство-(299)Социология-(6455)Спорт-(42831)Строительство-(4793)Торговля-(5050)Транспорт-(2929)Туризм-(1568)Физика-(3942)Философия-(17015)Финансы-(26596)Химия-(22929)Экология-(12095)Экономика-(9961)Электроника-(8441)Электротехника-(4623)Энергетика-(12629)Юриспруденция-(1492)Ядерная техника-(1748)

Основні формули тригонометрії. Формули зведення. Перетворення тригонометричних виразів




Завдання для самостійної роботи

2.01.Побудувати кут: 1) синус якого дорівнює: a) b) c) 2) косинус якого дорівнює: a) b) c) 3) тангенс якого дорівнює: a) b) c) котангенс якого дорівнює: a) b) c) .

2.02. Визначити знаки таких виразів: а) b) c)

d) e) , де f) , де

g) h)

2.03.Обчислити: а) b)

c) d)

e) f)

2.04. Для яких чвертей проміжку виконуються нерівності: а)

b) c) d)

2.05. До яких чвертей належить кут, якщо: а) ; b) ; c)

d)

2.06. Чи існує таке значення щоб: а)

b) c) d)

2.07. Обчислити , , , якщо: а) і b) і

 

 

У процесі перетворення тригонометричних виразів широко застосовуються такі формули.

1. Формули додавання:

.

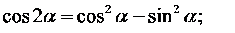
2. Формули кратних аргументів:

 

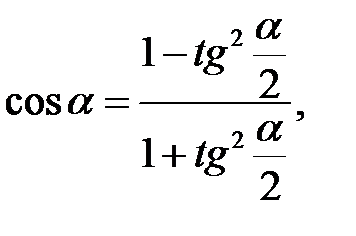
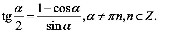
3. Формули половинного аргументу:

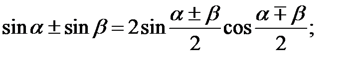
4. Формули перетворення суми і різниці в добуток:

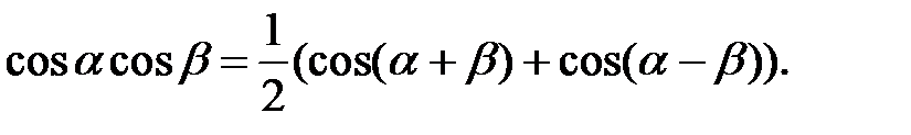
5. Формули перетворення добутку в суму і різницю:

6. Співвідношення між , , :

.

Також мають місце формули зведення. Формули зведення перетворюють тригонометричні функції від аргументів до функцій з аргументом .

Для зручності у користуванні формулами зведення використовують такі правила:

а) кут завжди вважається гострим;

б) ціле число періодів завжди можна відкинути;

в) якщо кут відкладається від горизонтального діаметра , то назва функції зберігається; якщо кут відкладається від вертикального діаметра , то назва функції змінюється (синус – на косинус, косинус – на синус, тангенс – на котангенс, котангенс – на тангенс).

Приклад 2.4. Спростити вираз .

Розв’язання. Для отримання розв’язку скористаємося формулами зведення (див. табл. 2.1) та властивостями парності й непарності тригонометричних функцій. Маємо

.

Приклад 2.5. Обчислити число .

Розв’язання. Для отримання розв’язку скористаємося формулами зведення (див. табл. 2.1) та формулами додавання. Маємо

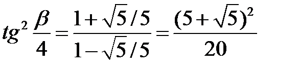
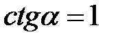
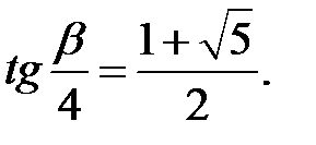
Приклад 2.6. Обчислити якщо і .

Розв’язання. Скористаємося формулами і візьмемо . Маємо , і задача зводиться до обчислення . Проведемо ці обчислення:

; оскільки , то і тому . Значить, . Таким чином, . Кут , тому і

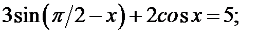
Приклад 2.7. Обчислити , якщо .

Розв’язання. Скористаємося формулою перетворення добутку тригонометричних функцій в суму і формулою подвійного аргументу для . Маємо

Приклад 2.8. Довести рівність .

Розв’язання. Скористаємося формулами для перетворення суми і різниці синусів у добуток, а також формулами подвійного аргументу для і . Маємо

Приклад 2.9. Обчислити

Розв’язання. Скористаємося формулою для синуса суми двох аргументів і табличними значеннями тригонометричних функцій. Маємо

Приклад 2.10. Довести тотожність

Розв’язання. У лівій частині наведеної рівності виділимо повний куб і квадрат. Маємо

Приклад 2.11. Довести тотожність .

Розв’язання. До лівої частини рівності застосуємо формулу різниці квадратів, а до правої – формулу косинуса різниці двох аргументів. Маємо

.

Ліву та праву частини запропонованої рівності зведено до однакового вигляду, тому вони рівні.

Приклад 2.12. Довести тотожність .

Розв’язання.

У перетвореннях тригонометричних виразів застосовувалися формули подвійного аргументу для і . Слід звернути увагу на те, що наведені дії можливі лише тоді, коли тобто , або .

Приклад 2.13. Довести тотожність .

Розв’язання. Розкладемо на множники ліву частину рівності та застосуємо формули тангенса суми і різниці двох аргументів. Маємо

.

Доведена тотожність виконується, якщо , тобто .

Приклад 2.14. Довести числову рівність .

Розв’язання. Помножимо та поділимо ліву частину рівності на і скористаємося формулами подвійного аргументу. Маємо

.

 




Поделиться с друзьями:


Дата добавления: 2014-12-26; Просмотров: 952; Нарушение авторских прав?; Мы поможем в написании вашей работы!


Нам важно ваше мнение! Был ли полезен опубликованный материал? Да | Нет



studopedia.su - Студопедия (2013 - 2025) год. Все материалы представленные на сайте исключительно с целью ознакомления читателями и не преследуют коммерческих целей или нарушение авторских прав! Последнее добавление




Генерация страницы за: 0.007 сек.