Студопедия

КАТЕГОРИИ:


Архитектура-(3434)Астрономия-(809)Биология-(7483)Биотехнологии-(1457)Военное дело-(14632)Высокие технологии-(1363)География-(913)Геология-(1438)Государство-(451)Демография-(1065)Дом-(47672)Журналистика и СМИ-(912)Изобретательство-(14524)Иностранные языки-(4268)Информатика-(17799)Искусство-(1338)История-(13644)Компьютеры-(11121)Косметика-(55)Кулинария-(373)Культура-(8427)Лингвистика-(374)Литература-(1642)Маркетинг-(23702)Математика-(16968)Машиностроение-(1700)Медицина-(12668)Менеджмент-(24684)Механика-(15423)Науковедение-(506)Образование-(11852)Охрана труда-(3308)Педагогика-(5571)Полиграфия-(1312)Политика-(7869)Право-(5454)Приборостроение-(1369)Программирование-(2801)Производство-(97182)Промышленность-(8706)Психология-(18388)Религия-(3217)Связь-(10668)Сельское хозяйство-(299)Социология-(6455)Спорт-(42831)Строительство-(4793)Торговля-(5050)Транспорт-(2929)Туризм-(1568)Физика-(3942)Философия-(17015)Финансы-(26596)Химия-(22929)Экология-(12095)Экономика-(9961)Электроника-(8441)Электротехника-(4623)Энергетика-(12629)Юриспруденция-(1492)Ядерная техника-(1748)

Теорема Безу




Многочлени від однієї змінної. Ділення многочленів з остачею.

Розділ 1. АЛГЕБРАЇЧНІ ПЕРЕТВОРЕННЯ

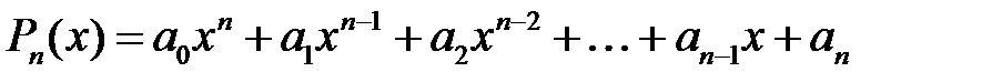
Загальний вигляд многочлена:

,

де – ім'я; – степінь; – аргумент; – коефіцієнт; – старший коефіцієнт (якщо – многочлен зведений); – старший член; – вільний член.

Зв'язок між компонентами при діленні многочленів:

.

Завжди ; якщо , то многочлен ділиться на многочлен (пишуть ). Зокрема, , де – число; якщо то .

Теорема Безу. Остача від ділення многочлена на дорівнює значенню многочлена при .

Теорема (ознака подільності многочлена на ). Для подільності многочлена на необхідно і достатньо, щоб було коренем многочлена , тобто .

Висновок. Якщо - корені многочлена , то , де – многочлен степеня ; – його старший член.

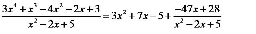
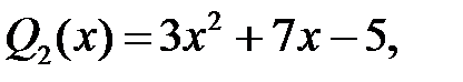
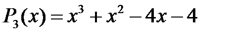
Приклад 1.1. Розділити многочлен на многочлен

Розв’язання. Зобразимо ці многочлени в канонічних формах:

Виконаємо ділення стовпчиком:

 

 
 
 


Частка – остача –

Зауваження. Справедливі рівності , або

.

Розглянемо ділення многочленів від декількох аргументів. Виберемо один із цих аргументів і умовно будемо вважати многочлени залежними тільки від цього аргументу, інші аргументи умовно о вважатимемо параметрами. Запишемо многочлени в канонічних формах і виконаємо ділення стовпчиком.

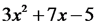
Приклад 1.2. Розділити многочлен

на многочлен

Розв’язання. Будемо вважати ці многочлени многочленами відносно аргументу Запишемо їх в канонічних формах:

 

   
   
       

 

Частка – остача –

 

Розглянемо ділення многочлена на двочлен

Приклад 1.3. Знайти остачу від ділення многочлена на

Розв’язання. За теоремою Безу

Приклад 1.4. Перевірити подільність многочлена на

Розв’язання. Оскільки то не ділиться на Далі не ділиться на .

Зауваження. Справедлива рівність

 




Поделиться с друзьями:


Дата добавления: 2014-12-26; Просмотров: 579; Нарушение авторских прав?; Мы поможем в написании вашей работы!


Нам важно ваше мнение! Был ли полезен опубликованный материал? Да | Нет



studopedia.su - Студопедия (2013 - 2025) год. Все материалы представленные на сайте исключительно с целью ознакомления читателями и не преследуют коммерческих целей или нарушение авторских прав! Последнее добавление




Генерация страницы за: 0.012 сек.