Студопедия

КАТЕГОРИИ:


Архитектура-(3434)Астрономия-(809)Биология-(7483)Биотехнологии-(1457)Военное дело-(14632)Высокие технологии-(1363)География-(913)Геология-(1438)Государство-(451)Демография-(1065)Дом-(47672)Журналистика и СМИ-(912)Изобретательство-(14524)Иностранные языки-(4268)Информатика-(17799)Искусство-(1338)История-(13644)Компьютеры-(11121)Косметика-(55)Кулинария-(373)Культура-(8427)Лингвистика-(374)Литература-(1642)Маркетинг-(23702)Математика-(16968)Машиностроение-(1700)Медицина-(12668)Менеджмент-(24684)Механика-(15423)Науковедение-(506)Образование-(11852)Охрана труда-(3308)Педагогика-(5571)Полиграфия-(1312)Политика-(7869)Право-(5454)Приборостроение-(1369)Программирование-(2801)Производство-(97182)Промышленность-(8706)Психология-(18388)Религия-(3217)Связь-(10668)Сельское хозяйство-(299)Социология-(6455)Спорт-(42831)Строительство-(4793)Торговля-(5050)Транспорт-(2929)Туризм-(1568)Физика-(3942)Философия-(17015)Финансы-(26596)Химия-(22929)Экология-(12095)Экономика-(9961)Электроника-(8441)Электротехника-(4623)Энергетика-(12629)Юриспруденция-(1492)Ядерная техника-(1748)

Тригонометричні функції числового аргументу




Розділ 2. ТРИГОНОМЕТРИЧНІ ПЕРЕТВОРЕННЯ

Завдання для самостійної роботи

1.14. Спростити:

a) b) c)

d) e) f) g) h)

i)

j)

1.15. Розкласти дріб на суму елементарних дробів.

1.16. Розкласти дріб на суму елементарних дробів.

Наведемо означення тригонометричних функцій числового аргументу.

Синусом числа () називається ордината точки C, яка утворюється в результаті повороту радіус-вектора = {0,1} на кут радіан. Якщо , то поворот здійснюється проти ходу годинникової стрілки і вважається додатним, а якщо , то поворот – від’ємний і здійснюється за ходом годинникової стрілки.

Косинусом числа () називається абсциса точки С.

Тангенсом числа () називається ордината точки В, яка розташована на перетині продовження радіус-вектора з віссю тангенсів (пряма, проведена через точку А(1,0) перпендикулярно до осі ОХ).

Котангенсом числа () називається Рис. 2.1

абсциса точки К, яка лежить на перетині продовження радіус-вектора з віссю котангенсів (пряма, проведена через точку М(0,1) перпендикулярно до осі ОY).

Іноді використовуються ще дві тригогонометричні функції, а саме секанс числа () і косеканс числа (). Ці функції вводяться таким чином:

, .

Між тригонометричними функціями кута існують прості співвідношення:

; , ;

, ; , ;

, ; , .

набуває додатних значень у першій () та другій () чвертях і від’ємних – у третій () та четвертій (); набуває додатних значень у першій та четвертій чвертях і від’ємних – у другій та третій; і – додатних у першій та третій чвертях і від’ємних – у другій та четвертій (рис. 2.2).

Згідно з означенням тригонометричних функцій мають місце такі формули:

, , ,

, ,

Рис. 2.2

для будь-якого значення і

, , ,

для будь-якого допустимого значення .

Табличні значення тригонометричних функцій гострих кутів наведено в табл. 2.1.

Таблиця 2.1

Функція Кут : радіани (градуси)

 

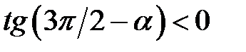
Приклад 2.1. Визначити знаки таких виразів: а) б)

в) де .

Розв’язання: а) кут належить другій чверті, тому ; б) кут належить першій чверті, тому ; в) значення кута не перевищує , тому вираз належить другій чверті. Синус і косинус кутів другої чверті мають різні знаки, тому .

Приклад 2.2. Обчислити

Розв’язання. Аргументи тригонометричних функції – табличні. Значення тригонометричних функцій від цих аргументів – відомі, а саме:

Тому

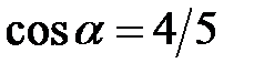
Приклад 2.3. Обчислити , якщо і .

Розв’язання. Оскільки , то або Оскільки , то

 




Поделиться с друзьями:


Дата добавления: 2014-12-26; Просмотров: 625; Нарушение авторских прав?; Мы поможем в написании вашей работы!


Нам важно ваше мнение! Был ли полезен опубликованный материал? Да | Нет



studopedia.su - Студопедия (2013 - 2025) год. Все материалы представленные на сайте исключительно с целью ознакомления читателями и не преследуют коммерческих целей или нарушение авторских прав! Последнее добавление




Генерация страницы за: 0.012 сек.