Студопедия

КАТЕГОРИИ:


Архитектура-(3434)Астрономия-(809)Биология-(7483)Биотехнологии-(1457)Военное дело-(14632)Высокие технологии-(1363)География-(913)Геология-(1438)Государство-(451)Демография-(1065)Дом-(47672)Журналистика и СМИ-(912)Изобретательство-(14524)Иностранные языки-(4268)Информатика-(17799)Искусство-(1338)История-(13644)Компьютеры-(11121)Косметика-(55)Кулинария-(373)Культура-(8427)Лингвистика-(374)Литература-(1642)Маркетинг-(23702)Математика-(16968)Машиностроение-(1700)Медицина-(12668)Менеджмент-(24684)Механика-(15423)Науковедение-(506)Образование-(11852)Охрана труда-(3308)Педагогика-(5571)Полиграфия-(1312)Политика-(7869)Право-(5454)Приборостроение-(1369)Программирование-(2801)Производство-(97182)Промышленность-(8706)Психология-(18388)Религия-(3217)Связь-(10668)Сельское хозяйство-(299)Социология-(6455)Спорт-(42831)Строительство-(4793)Торговля-(5050)Транспорт-(2929)Туризм-(1568)Физика-(3942)Философия-(17015)Финансы-(26596)Химия-(22929)Экология-(12095)Экономика-(9961)Электроника-(8441)Электротехника-(4623)Энергетика-(12629)Юриспруденция-(1492)Ядерная техника-(1748)

Раціональних дробів на прості дроби




Елементарні формули алгебри. Спрощення алгебраїчних виразів. Раціональні дроби. Розкладання правильних

Завдання для самостійної роботи

1.11. Розв’язати квадратні рівняння за теоремою Вієта:

1) 2) 3) 4)

5) 6) 7) 8)

1.12. Знайти дійсні корені многочленів:

1) 2)

3) 4)

1.13. Розв’язати рівняння в області дійсних чисел:

1) 2)

3) 4)

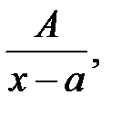
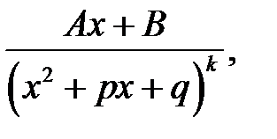
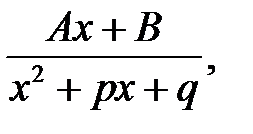
Означення 1. Дріб вигляду , де – многочлени, називається раціональним; якщо , то раціональний дріб є правильним.

Означення 2. Раціональні дроби де називаються елементарними.

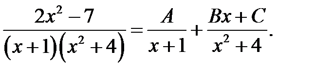
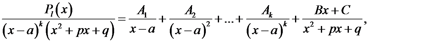
Має місце твердження: правильний раціональний дріб можна зобразити у вигляді суми елементарних дробів. Зокрема, справедливо,що

Для знаходження коефіцієнтів праву частину зводять до загального знаменника і порівнюють чисельники дробів у лівій і правій частинах одержаної рівності, потім комбінують методи:

1) підставляють ліворуч і праворуч одні і ті ж числа (зазвичай корені знаменника);

2) прирівнюють коефіцієнти при однакових степенях ліворуч і праворуч рівності і розв’язують отриману систему.

 

Формули скороченого множення і ділення:

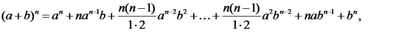
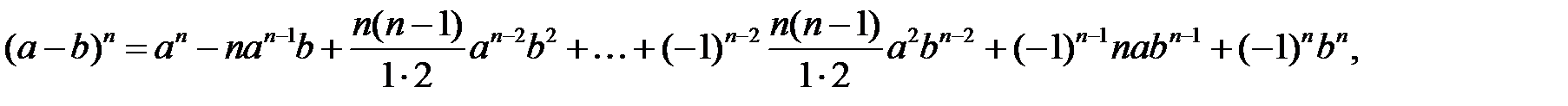
Формула бінома Ньютона:

 

де – біноміальні коефіцієнти, які знаходяться в –му рядку «трикутника Паскаля».

Алгоритм побудови «трикутника Паскаля» (табл. 1.1): кожний елемент наступного рядка, окрім його крайніх елементів, дорівнює сумі двох сусідніх з ним елементів попереднього рядка; крайні елементи кожного рядка є одиниці.

 

Таблиця 1.1

Номер рядка Біноміальні коефіцієнти
   
  1 1
  1 2 1
  1 3 3 1
  1 4 6 4 1
  1 5 10 10 5 1
  1 6 15 20 15 6 1

 

 

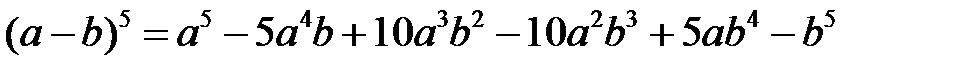
Приклад 1. 7. Знайти

Розв’язання. Коефіцієнти беремо з 5-го рядка, знаки “ ”, “–” чергуємо: .

 

Формула виділення повного квадрата:

Приклад 1.8. Спростити

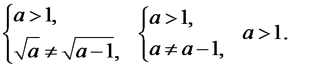
Розв’язання. ОДЗ:

якщо

Приклад 1.9. Спростити вираз

Розв’язання.

ОДЗ: якщо

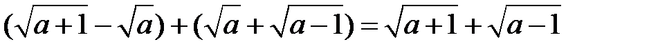
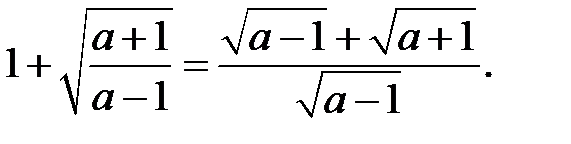
Приклад 1.10. Спростити

Розв’язання. Позначимо цей вираз через

ОДЗ перетворень:

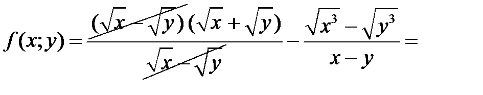
Приклад 1.11. Спростити вираз

Розв’язання.

,

якщо (це ОДЗ перетворень).

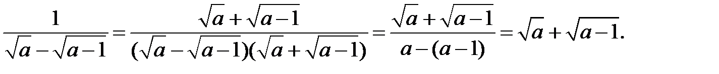
Приклад 1.12. Спростити вираз

Розв’язання. ОДЗ:

 

Звільнимося від ірраціональності в знаменнику спочатку першого, а потім другого дробу. Маємо:

1)

2)

3) .

4)

5)

Отже, , якщо .

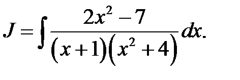
Приклад 1.13. Знаючи табличні інтеграли

знайти інтеграл

Розв’язання. Розкладемо підінтегральний дріб на елементарні дроби:

Маємо: Покладемо тоді і

Порівняємо коефіцієнти при однакових степенях:

Тоді




Поделиться с друзьями:


Дата добавления: 2014-12-26; Просмотров: 716; Нарушение авторских прав?; Мы поможем в написании вашей работы!


Нам важно ваше мнение! Был ли полезен опубликованный материал? Да | Нет



studopedia.su - Студопедия (2013 - 2025) год. Все материалы представленные на сайте исключительно с целью ознакомления читателями и не преследуют коммерческих целей или нарушение авторских прав! Последнее добавление




Генерация страницы за: 0.007 сек.