Студопедия

КАТЕГОРИИ:


Архитектура-(3434)Астрономия-(809)Биология-(7483)Биотехнологии-(1457)Военное дело-(14632)Высокие технологии-(1363)География-(913)Геология-(1438)Государство-(451)Демография-(1065)Дом-(47672)Журналистика и СМИ-(912)Изобретательство-(14524)Иностранные языки-(4268)Информатика-(17799)Искусство-(1338)История-(13644)Компьютеры-(11121)Косметика-(55)Кулинария-(373)Культура-(8427)Лингвистика-(374)Литература-(1642)Маркетинг-(23702)Математика-(16968)Машиностроение-(1700)Медицина-(12668)Менеджмент-(24684)Механика-(15423)Науковедение-(506)Образование-(11852)Охрана труда-(3308)Педагогика-(5571)Полиграфия-(1312)Политика-(7869)Право-(5454)Приборостроение-(1369)Программирование-(2801)Производство-(97182)Промышленность-(8706)Психология-(18388)Религия-(3217)Связь-(10668)Сельское хозяйство-(299)Социология-(6455)Спорт-(42831)Строительство-(4793)Торговля-(5050)Транспорт-(2929)Туризм-(1568)Физика-(3942)Философия-(17015)Финансы-(26596)Химия-(22929)Экология-(12095)Экономика-(9961)Электроника-(8441)Электротехника-(4623)Энергетика-(12629)Юриспруденция-(1492)Ядерная техника-(1748)

Властивості логарифмів. Логарифмічні перетворення




Означення логарифма числа

Розділ 3. ПЕРЕТВОРЕННЯ ЛОГАРИФМІЧНИХ ВИРАЗІВ

Завдання для самостійної роботи

2.29. Обчислити значення: a) , b) , c) , d) , e) , f) , g) , h) .

2.30. Катети прямокутного трикутника дорівнюють і . Знайти один із його гострих кутів, користуючись по черзі чотирма оберненими тригонометричними функціями.

 

Спростити вирази:

2.31. а) ; b) ;

c) ; d) ; .

2.32. а) ; b) ; c) .

2.33. а) , b) , c) .

2.34. Обчислити: а) , b) , c) ,

d) , e) , f) , g)

2.35. Довести, що , якщо .

 

 

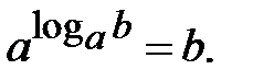
Означення. Нехай Логарифмом числа за основою називається показник степеня, до якого потрібно піднести число , щоб одержати число , тобто

Таке співвідношення носить назву “основна логарифмічна тотожність”.

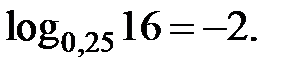
Приклад 3.1. Із рівності випливає із рівності маємо

 

При перетворенні логарифмічних виразів треба враховувати властивості показникової та логарифмічної функцій:

 

1)

2)

3)

4)

5) 6) 7) 8)

Приклад 3.2. Провести перетворення виразів за допомогою властивостей

1) ): а) ; b) ; c) .

Розв’язання: а)

b) c) .

Приклад 3.3. Знайти логарифм за основою 10 числа .

Розв’язання. Використовуючи властивості логарифмів, знайдемо

Приклад 3.4. Обчислити

Розв’язання. Використовуючи основну логарифмічну тотожність і співвідношення “3”, одержимо

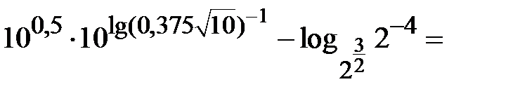
Приклад 3.5. Обчислити

Розв’язання. За допомогою формули “5” отримаємо

Використовуючи “3”, знаходимо Далі скористаємося основною логарифмічною тотожністю і остаточно запишемо

Приклад 3.6. Спростити вираз




Поделиться с друзьями:


Дата добавления: 2014-12-26; Просмотров: 1777; Нарушение авторских прав?; Мы поможем в написании вашей работы!


Нам важно ваше мнение! Был ли полезен опубликованный материал? Да | Нет



studopedia.su - Студопедия (2013 - 2025) год. Все материалы представленные на сайте исключительно с целью ознакомления читателями и не преследуют коммерческих целей или нарушение авторских прав! Последнее добавление




Генерация страницы за: 0.011 сек.