Студопедия

КАТЕГОРИИ:


Архитектура-(3434)Астрономия-(809)Биология-(7483)Биотехнологии-(1457)Военное дело-(14632)Высокие технологии-(1363)География-(913)Геология-(1438)Государство-(451)Демография-(1065)Дом-(47672)Журналистика и СМИ-(912)Изобретательство-(14524)Иностранные языки-(4268)Информатика-(17799)Искусство-(1338)История-(13644)Компьютеры-(11121)Косметика-(55)Кулинария-(373)Культура-(8427)Лингвистика-(374)Литература-(1642)Маркетинг-(23702)Математика-(16968)Машиностроение-(1700)Медицина-(12668)Менеджмент-(24684)Механика-(15423)Науковедение-(506)Образование-(11852)Охрана труда-(3308)Педагогика-(5571)Полиграфия-(1312)Политика-(7869)Право-(5454)Приборостроение-(1369)Программирование-(2801)Производство-(97182)Промышленность-(8706)Психология-(18388)Религия-(3217)Связь-(10668)Сельское хозяйство-(299)Социология-(6455)Спорт-(42831)Строительство-(4793)Торговля-(5050)Транспорт-(2929)Туризм-(1568)Физика-(3942)Философия-(17015)Финансы-(26596)Химия-(22929)Экология-(12095)Экономика-(9961)Электроника-(8441)Электротехника-(4623)Энергетика-(12629)Юриспруденция-(1492)Ядерная техника-(1748)

O напор, развиваемый насосом




Воздушные подъемники

Водоструйные насосы

Насосы с вращательным движением рабочего органа

Достоинства:

- конструктивно просты;

- обеспечивают плавную подачу перекачиваемой жидкости;

- сочетание малой подачи и способности перекачивать вязкие жидкости.

Недостатки:

- малая подача;

- предназначены для перекачивания жидкостей, не содержащих загрязняющих веществ.

Достоинства:

- небольшие размеры;

- простота устройства;

- способность перекачивать жидкости с большим содержанием взвешенных веществ;

- высокая надежность работы.

Недостатки:

- низкий КПД;

- необходимость подачи большого объема рабочей воды под давлением.

Достоинства:

- простота устройства и обслуживания;

- надежность работы.

Недостатки:

- необходимость большого заглубления форсунки;

- низкий КПД.

Напорнасоса представляет собой приращение энергии жидкости на участке от входа в насос до выхода из него. Напор выражается в метрах.

Напор определяет высоту подъема или дальность перемещения жидкости (соответственно Н и L).

Схема установки насоса представлена на рисунке:

Удельная энергия потока в сечении при входе в насос (сечение 1 – 1) равна:

.

 

Удельная энергия потока в сечении при выходе из насоса (сечение 2 – 2) равна:

.

Напор насоса равен:

 

. (*)

Сумма первых двух членов правой части уравнения напора называется манометрическим напором:

,

тогда напор насоса равен:

. (**)

При одинаковых диаметрах всасывающего и напорного патрубков насоса напор насоса равен манометрическому напору:

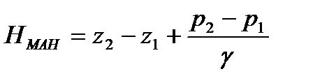
На практике при расположении оси насоса выше уровня жидкости в нижнем бассейне манометрический напор определяется выражением:

,

где - приведенные к оси насоса показания манометра и вакуумметра, установленных на напорном и всасывающем патрубках насоса, м.

При работе насоса с подпором, т. е. при расположении его ниже уровня жидкости в нижнем бассейне, манометрический напор определяется разностью:

,

где - приведенные к оси насоса показания манометров, установленных соответственно на напорном и всасывающем патрубках насоса.

В лопастных насосах с вертикальным расположением вала при подсчете манометрического напора показания манометра и вакуумметра приводятся к поперечной оси рабочего колеса, а если насосы многоступенчатые, - к оси рабочего колеса 1- ой ступени.

По зависимостям (*) и (**) напор насоса определяется лишь на действующих насосных установках. Использовать их для подсчета напора проектируемых установок нельзя, так как давления и , равно как и манометрический напор, являются в этом случае искомыми величинами.

Если применить уравнение Бернулли для потока жидкости на участках 0 – 0 и 1 – 1, а также на участках 2 – 2 и 3 – 3, то можно получить выражения для расчета величин: и .

После их подстановки в зависимость (*) и после сокращения подобных членов, имеющих разные знаки, можно получить формулу для расчета напора насоса:

Таким образом, напор насоса представляет собой сумму статического напора и гидравлических потерь, возникающих при движении перекачиваемой жидкости по системе всасывающего и напорного трубопровода от нижнего бассейна до верхнего бассейна.

В число исходных данных для проектирования насосной установки входят уровни свободной поверхности в нижнем и верхнем бассейнах, а следовательно, статический напор.

Суммарные гидравлические потери для заданной подачи насоса определяются расчетом с учетом конструктивных особенностей (диаметр, протяженность, материал, оборудование и т. д.) всасывающего и напорного трубопроводов.




Поделиться с друзьями:


Дата добавления: 2014-12-27; Просмотров: 830; Нарушение авторских прав?; Мы поможем в написании вашей работы!


Нам важно ваше мнение! Был ли полезен опубликованный материал? Да | Нет



studopedia.su - Студопедия (2013 - 2026) год. Все материалы представленные на сайте исключительно с целью ознакомления читателями и не преследуют коммерческих целей или нарушение авторских прав! Последнее добавление




Генерация страницы за: 0.012 сек.