Студопедия

КАТЕГОРИИ:


Архитектура-(3434)Астрономия-(809)Биология-(7483)Биотехнологии-(1457)Военное дело-(14632)Высокие технологии-(1363)География-(913)Геология-(1438)Государство-(451)Демография-(1065)Дом-(47672)Журналистика и СМИ-(912)Изобретательство-(14524)Иностранные языки-(4268)Информатика-(17799)Искусство-(1338)История-(13644)Компьютеры-(11121)Косметика-(55)Кулинария-(373)Культура-(8427)Лингвистика-(374)Литература-(1642)Маркетинг-(23702)Математика-(16968)Машиностроение-(1700)Медицина-(12668)Менеджмент-(24684)Механика-(15423)Науковедение-(506)Образование-(11852)Охрана труда-(3308)Педагогика-(5571)Полиграфия-(1312)Политика-(7869)Право-(5454)Приборостроение-(1369)Программирование-(2801)Производство-(97182)Промышленность-(8706)Психология-(18388)Религия-(3217)Связь-(10668)Сельское хозяйство-(299)Социология-(6455)Спорт-(42831)Строительство-(4793)Торговля-(5050)Транспорт-(2929)Туризм-(1568)Физика-(3942)Философия-(17015)Финансы-(26596)Химия-(22929)Экология-(12095)Экономика-(9961)Электроника-(8441)Электротехника-(4623)Энергетика-(12629)Юриспруденция-(1492)Ядерная техника-(1748)

Характеристика трубопровода




Совместная работа насосов и сети характеризуется точкой материального и энергетического равновесия системы.

Для определения этой точки необходимо вычислить энергетические затраты в системе «водоводы – сеть» Qp и Нтр.

Совместная работа насосов и трубопроводов связана следующими зависимостями:

;

;

,

где Н – напор насоса;

Qp - подача воды насосом;

- гидравлическое сопротивление водоводов и сети;

- расчетный расход в трубопроводе;

- уровень воды в баке водонапорной башни;

- расход воды в системе.

В практике гидравлического расчета насосных станций и при анализе режимов работы насосов широко применяется метод графоаналитического расчета совместной работы системы «насос – сеть».

График работы насоса определяется его характеристикой Q – H.

Для построения графической характеристики системы подачи и распределения воды используют известные уравнения гидравлики.

Требуемый напор в системе равен сумме геометрической высоты подъема жидкости и потерь напора:

,

где - геометрическая высота подъема жидкости;

- потери напора во всасывающем трубопроводе;

- потери напора в напорных коммуникациях насосной станции;

- потери напора в напорных водоводах от насосной станции до точки присоединения к сети;

- потери напора в магистральной сети.

Потери напора в трубопроводах складываются из двух видов потерь:

- потери на преодоление трения при движении жидкости по трубопроводу (потери по длине);

- потери на преодоление сопротивлений в его фасонных частях (потери местные).

.

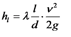
Гидравлические потери по длине трубопровода могут быть определены по формулам:

или ,

где - длина трубопровода, м;

- расчетный внутренний диаметр трубы, м;

v - средняя скорость движения воды, м/с;

Q - подача, м3;

g - ускорение свободного падения, м/с2;

- коэффициент гидравлического трения.

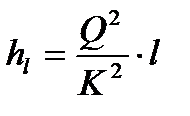
Для определения потерь напора в трубопроводе для построения его характеристики Q – H удобно воспользоваться формулой:

,

где - сопротивление трубопровода;

- удельное сопротивление трубопровода.

Диаметры труб, фасонных частей и арматуры следует принимать на основании технико-экономического расчета, исходя из скоростей движения воды в пределах, указанных в таблице:

 

Диаметр труб, м Скорость в трубопроводе, м/с
Всасывающем Напорном
До 250 0,6 – 1,0 0,8 - 2,0
250 - 800 0,8 – 1,5 1,0 – 3,0
> 800 1,2 – 2,0 1,5 – 4,0

Местные сопротивления вычисляются по формуле:

.

В напорных водоводах и сетях магистральных трубопроводов обычно определяют только потери напора на трение по длине трубопровода. Местные сопротивления учитываются в размере 5 – 10 % потерь по длине.

 

При построении графической характеристики Q – HТР сложной системы «насос – водоводы - сеть» удобно пользоваться формулой:

, (1*)

где и - приведенные сопротивления водовода и сети.

Приведенное сопротивление водовода:

,

где m - количество водоводов.

Приведенное сопротивление сети:

,

где - суммарная потеря напора;

- расчетный расход воды в сети, при котором определена потеря.




Поделиться с друзьями:


Дата добавления: 2014-12-27; Просмотров: 3363; Нарушение авторских прав?; Мы поможем в написании вашей работы!


Нам важно ваше мнение! Был ли полезен опубликованный материал? Да | Нет



studopedia.su - Студопедия (2013 - 2026) год. Все материалы представленные на сайте исключительно с целью ознакомления читателями и не преследуют коммерческих целей или нарушение авторских прав! Последнее добавление




Генерация страницы за: 0.012 сек.