Студопедия

КАТЕГОРИИ:


Архитектура-(3434)Астрономия-(809)Биология-(7483)Биотехнологии-(1457)Военное дело-(14632)Высокие технологии-(1363)География-(913)Геология-(1438)Государство-(451)Демография-(1065)Дом-(47672)Журналистика и СМИ-(912)Изобретательство-(14524)Иностранные языки-(4268)Информатика-(17799)Искусство-(1338)История-(13644)Компьютеры-(11121)Косметика-(55)Кулинария-(373)Культура-(8427)Лингвистика-(374)Литература-(1642)Маркетинг-(23702)Математика-(16968)Машиностроение-(1700)Медицина-(12668)Менеджмент-(24684)Механика-(15423)Науковедение-(506)Образование-(11852)Охрана труда-(3308)Педагогика-(5571)Полиграфия-(1312)Политика-(7869)Право-(5454)Приборостроение-(1369)Программирование-(2801)Производство-(97182)Промышленность-(8706)Психология-(18388)Религия-(3217)Связь-(10668)Сельское хозяйство-(299)Социология-(6455)Спорт-(42831)Строительство-(4793)Торговля-(5050)Транспорт-(2929)Туризм-(1568)Физика-(3942)Философия-(17015)Финансы-(26596)Химия-(22929)Экология-(12095)Экономика-(9961)Электроника-(8441)Электротехника-(4623)Энергетика-(12629)Юриспруденция-(1492)Ядерная техника-(1748)

Регулятор тока электрического напряжения




 

1.5.1 Проверка замкнутой цепи главного коммутатора

Снимите защитный щиток с кузова. Снимите штепсель регулятора тока электрического напряжения 4Р. С помощью нижеприведенных способов проверьте свободный ход главного коммутатора.

 

 

1.5.2 Проверка регулятора тока электрического напряжения

1. С мультимером используйте диодную трубку.

2. черный метр с перьевой формой соединяется с зажимом красного провода стабилизатора напряжения. Красный метр с перьевой формой по отдельности соединяется с зажимами белого провода стабилизатора напряжения (белый 1, белый 2, белый 3). Стрелка показывает определенное цифровое значение. Если свидетельствует о неисправности стабилизатора напряжения, замените его на новый.

 

Обратите внимание

 

• при измерении мультимером к металлическим частям нельзя прикасаться пальцами.

• для проверки используйте универсальный электросчетчик. Величина сопротивления при использовании разных мультимеров не одинакова. При проверке могут возникнуть неточности.

 

При аномальной величине сопротивления на зажиме необходимо поменять регулятор электрического напряжения.

 

1.6 катушка зарядки магнето

 

Обратите внимание

 

Осуществлять проверку катушки зарядки магнето можно на двигателе.

 

Проверка

Снимите соединение магнето 6Р

Используя мультимер, измерьте величину сопротивления между тремя белыми зажимами магнето.

Стандартная величина: 1.5-3.5Ω20 ℃)

Если измеренная величина превышает стандартную величину, следует заменить катушку магнето.

 

1.7 Демонтаж магнето

1.7.1 демонтаж

Ослабьте крепежный болт с левой крышки, снимите левую крышку и катушку магнето.

 

Используйте универсальный постоянный ключ, чтобы закрепить маховик.

Снимите болт крепления маховика

Используйте прибор для снятия маховика, чтобы снять маховик.

Снимите фиксированную шпонку

Снимите муфту провода магнето

Снимите статор магнето

Ослабьте болты крепления 4-х магнитных катушек, снимите магнитную катушку

 

 

Используйте электрический инструмент, пневматический инструмент или силомерный ключ, чтобы ослабить подгаечник маховика.

Вытащите компоненты маховика.

 

 

1.7.2 Установка

Установите статор магнето на корпус бака двигателя.

Подсоедините разъем линии магнето.

Прочистите конусообразные части коленвала, маховика.

Пазы на маховике прикрепите к фиксированной шпонке оси.

Убедитесь, что маховик погружен в желоб коленвала.

Обратите внимание:

 

Убедитесь, что магнитные элементы в маховике не могут иметь болтов.

 

Используйте универсальный постоянный ключ, чтобы укрепить подгаечник после установки маховика.

Величина скручивающей силы: 9.0 N·m

 

 

2. Система зажигания

Подготовительные материалы 2.1

Диагностика неисправностей 2.2

Проверка системы зажигания 2.3

Блок ECU 2.4

Катушка зажигания 2.5

Триггер 2.6

 

2.1 Подготовительные материалы

Важные вопросы операций

 

1. Просьба последовательно выполнять проверку системы зажигания на основании показаний диагностики неисправностей.

2. Система зажигания является электронным автоматическим оборудованием, уже вмонтированным в блок ECU, поэтому нет необходимости регулировать время зажигания.

3. Просьба осуществлять последовательную проверку системы зажигания на основании показаний диагностики неисправностей.

4. Блок системы зажигания ECU не должен провисать, по нему нельзя ударять (это является важной причиной возникновения неисправности). Во время демонтажа обратите особенное внимание.

5. Среди неисправности системы зажигания важными являются неподсоединенность контактов к розетке. Прежде всего проверьте, исправно ли подсоединены контакты всех частей.

6. Подходящая ли теплотворность у свечей зажигания. Неподходящая свеча зажигания может стать важной причиной для возникновения неполадок двигателя или для перегорания свечи зажигания.

7. Важным моментом данной главы является объяснение высокого напряжения. Проверьте и запишите, обладает ли подходящей величиной сопротивления катушка зажигания.

8. Осуществите методы проверки главного переключателя на основании щупа.

9. Просьба осуществлять демонтаж магнето, статера, на основании инструкций.

 

Подготовительная база

 

 

Инструменты

 

Самые большие приложения вольтметра

Универсальный электросчетчик

 

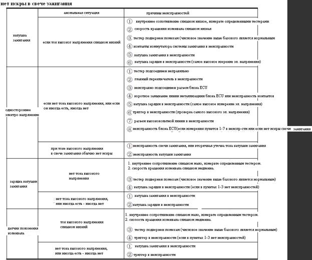
2.2 Диагностика неисправностей

 

2.3 проверка системы зажигания

 

 

Обратите внимание

 

• Если нет искры свечей зажигания, следует проверить, устойчивы ли все части коммутатора, в исправности ли контакты, нормальная ли величина эл. напряжения.

• Существует много марок универсальных электросчетчиков, внутреннее сопротивление неодинаково, поэтому измеренная величина тоже будет неодинакова.

 

Подсоедините дивертор высокого напряжения на универсальный электорсчетчик.

Или электроизмерительный прибор с входящим сопротивлением 10MΩ10CV и выше.

 

 

2.3.1 первичное напряжение катушки зажигания

Если снять свечу зажигания и установить подходящую свечу зажигания, следует заземлить на массу двигателя.

 

Обратите внимание

 

Только после правильного подсоединения каждого коммутатора электросхемы можно проводить измерения

Правильная ситуация давление сжатия цилиндра указывает на измерение установки свечи зажигания и головки цилиндра.

 

 

Соедините провод катушки зажигания, зажим первичной катушки (черный/красный) заземлить на массу кузова и соединить с дивертором.

В соответствии с запуском электромашины измерьте первичное самое высокое напряжение катушки зажигания.

Самое маленькое электронапряжения: 95V и выше.

 

Обратите внимание:

Во время проведения измерений пальцы не следует прикладывать к металлическим элементам измерителя, можно получить удар током.

 

2.3.2 Датчик положения коленвала

 

Обратите внимание

 

Свеча зажигания установлена на головке цилиндра, проверьте при условиях нормального давления сжатия.

 

Снимите 18 соединение блока ECU, 18 соединение (белый/зеленый зажим) триггера (синий/белый зажим) 18 соединения зажима коммутатора при посредничестве дивертора самого высокого напряжения.

 

 

Способ соединения: положительный полюс соедините синий/белый, отрицательный полюс соедините белый/зеленый.

Минимальное электронапряжение 1.7 V и выше.

 

Обратите внимание:

Во время проведения измерений пальцы не следует прикладывать к металлическим элементам измерителя, можно получить удар током.

 

Если самое высокое измеренное электронапряжение зажима соединения блока ECU аномально, снимите защитный щиток правой части кузова и снимите соединение магнето.

Если измеренное электронапряжение зажима блока ECU аномально, и если измеренное электронапряжение зажима магнето нормально, то контакты соединения в неисправности или оборвана цепь коммутатора.

 

2.4 блок ECU

2.4.1 проверка системы

Проверка системы

Снимите блок ECU, проверьте, связан ли зажим коммутатора с деталями системы зажигания.

 

2.5 Катушка зажигания

2.5.1 Демонтаж

Снимите кузов

Снимите крышку свечи зажигания.

Снимите первичный провод катушки зажигания.

Снимите болт крепления катушки зажигания, вытащите катушку зажигания.

При монтаже проведите операцию в обратном порядке.

 

Обратите внимание

 

Первичная катушка устанавливается черным/красным проводом соединения.

 

 

2.5.2 Проверка первичной катушки

Измерение сопротивления между зажимами первичной катушки.

номинальная величина: (4±0.2)Ω(20℃)

Величина сопротивления в номинальной величине нормальна.

Величина сопротивления “∞” говорит о разрыве провода, нужно заменить на новый.

 

2.6 Датчик положения коленвала

Обратите внимание:

 

Осуществлять операцию проверки триггера можно на двигателе

 

 

Проверка

 

Снимите защитный щиток с кузова

Снимите соединение ведущего провода триггера

Измерьте величину сопротивления зажима бокового провода двигателя (синий/белый), заземленного на массу кузова.

Номинальная величина: 100-300Ω(20℃)

Если измеренная величина превышает номинальную величину, необходимо заменить магнето.

 

 

3. Система запуска

Подготовительные материалы 3.1

Диагностика неисправностей 3.2

Стартер электромашины 3.3

стартер реле 3.4

стартер сцепления 3.5

 

3.1 подготовительные материалы

Важные моменты при операциях

Демонтаж стартера электромашины можно производить на двигателе.

При демонтаже стартера сцепления просьба обратиться к инструкции демонтажа

 

Подготовительная база

 

Величина скручивающей силы

Болт крышки сцепления стартера электромашины 12 N·m

Крепежная гайка сцепления стартера электромашины 95 N·m

Инструменты

Ключ крепежных гаек

Универсальный постоянный ключ

 

3.2 Диагностика неисправностей

Нельзя заводить

• обрыв предохранителя

• недостаточная электроемкость аккумулятора

• неисправность главного переключателя

• неисправность стартера сцепления

• неисправность переключателя тормоза

• неисправность реле стартера

• неисправность контактов соединительного провода

• неисправность стартера электромашины

 

Сила кручения стартера электромашины слишком слаба

• недостаточная электроемкость аккумулятора

• неисправность контактов соединительного провода

• в шестерне стартера электромашины застряли посторонние предметы

 

Вращающийся двигатель стартера электромашины не может вращаться

• неисправность сцепления стартера

• стартер электромашины вращается в обратную сторону

• недостаточная электромощность аккумулятора

 

3.3 стартер электромашины

3.3.1 демонтаж

Ослабьте 2 крепящих болта мотора стартера, достаньте мотор стартера.

 

 

Обратите внимание

 

Перед демонтажем стартера электромашины необходимо выключить главный переключатель (в позицию OFF), снять линию металлизации аккумулятора, затем необходимо включить источник электропитания и посмотреть, работает ли стартер электромашины, чтобы убедиться в безопасности.

 

Прежде всего снимите зажим ведущего провода стартера электромашины

Снимите крепящий болт стартера электромашины

Разделите переднюю и заднюю крышку зажима, вытащите стартер электромашины.

Оградите водонепроницаемый резиновый чехол, снимите соединение стартера электромашины.

3.3.2 разборка

 

Снимите пленочный болт, переднюю крышку, кожух мотора и другие детали.

 

3.3.3 Осмотр

Осмотр других деталей и узлов

Если на поверхности имеются истертости, повреждения, нагар, то необходимо заменить.

Если на поверхности коллектора имеется металлический порошок, необходимо его протереть начисто.

Проверьте контакты всех составных компонентов

Убедитесь, не открыт ли вал якоря на поверхности коллектора

Проверьте, не открыта ли оболочка стартера электромашины

Проверьте открытие между зажимом и электрощеткой

Если имеется неисправность, просьба заменить

Проверьте открытие подпорки электрощетки, если есть открытие, то просьба заменить.

Измерьте длину электрощетки.

 

 

Границы использования: 8.5mm, если ниже, то заменить

Проверьте гладкость вращения игольчатого подшипника, находящегося в передней крышке, при вдавливании.

Если имеется неисправность, просьба заменить

Проверьте, изношен ли сальник, есть ли повреждения.

 

3.3.4 Сборка

Нанесите консистентную смазку на сальник в передней крышке.

Установите электрощетку на подпорке электрощетки.

На подвижные части 2 валов электрощетки нанесите консистентную смазку.

Вдавите каждую электрощетку в подпорку.

Обратите внимание

 

• Нужно быть особенно осторожным, чтобы не пораниться о контакты якоря и электрощетки.

• Будьте внимательны, не пораньтесь валом установки якоря и губой сальника.

 

Затем установите заднюю крышку электромашины.

Инволюционно установите нарезную горловину оболочки мотора и нарезную горловину передней крышки.

Закрепите болт наружной оболочки.

 

Обратите внимание

 

При сочетании наружной оболочки и передней крышки, якорь под притяжением магнита может легко выскочить, поэтому осторожно надавите рукой, только тогда можно их сочетать.

 

7.3.5 Установка

 

Установите ведущий провод стартера электромашины, убедитесь, что прочно установлен антипыльный чехол.

Затем установите стартер электромашины.

После установки зажим ведущего провода тормоза.

 

3.4 Стартер реле

3.4.1 осмотр работы

 

Проверка, есть ли характерный звук при включении стартера электромашины (в позицию ON).

Если есть звук, то это нормально.

Если звука нет:

• проверьте напряжение стартера реле

• проверьте замкнутую цепь металлизации стартера реле

• проверьте работу стартера реле

 

3.4.2 проверка напряжения стартера реле

Поднимите главную подпорку, измерьте напряжение зеленого/желтого провода отрицательного полюса соединения реле стартера, заземленного на массу кузова.

Включите главный переключатель (в позицию ON), установите рычаг тормоза. Напряжение аккумулятора должно быть соответствующим стандарту.

Если на зажимах провода стартера реле нет напряжения, проверьте открытие переключателя тормоза и ведущий провод.

 

 

 

3.4.3 Осмотр замкнутой цепи металлизации стартера реле

 

Снимите соединение стартера реле

Осмотрите черный провод зажима соединения ведущего провода и открытие, заземленное на массу кузова.

При нажатии кнопки стартера желтый/зеленый провод соединения и открытие, заземленное на массу кузова, будут лучше.

Если нет открытия, то необходимо проверить ведущий провод и открытость кнопки стартера.

 

3.4.4 Осмотр работы

Соедините стартер реле с аккумулятором, к зажиму стартера электромашины подсоедините универсальный электросчетчик.

Полностью заряженный аккумулятор подсоедините между черным проводом реле и зеленым/желтым проводом. В это время реле должно издать гармоничный звук и показатель электросопротивления должен показывать «0».

 

 

  1. Виды электронных лампочек/переключатели/приборы

 

Подготовительные материалы 4.1

Диагностика неисправностей 4.2

Замена электронной лампочки переднего фонаря 4.3

Замена электронной лампочки передней лампы габаритного света 4.4

Замена заднего фонаря 4.5

Замена электронной лампочки заднего номерного фонаря 4.6

Замена электронной лампочки переднего поворотника 4.7

Замена электронной лампочки заднего поворотника 4.8

Измерительные приборы 4.9

Главный переключатель 4.10

Гудок 4.11

Переключатель рычага управления 4.12

 

4.1 Подготовительные материалы

Важные моменты при операциях

􀁺 Измерение открытости переключателя. Можно измерить, вытащив из ТС

􀁺 Все резиновые соединительные устройства должны иметь кулачки

􀁺 Перед демонтажем настоятельно рекомендуется снять кулачки

􀁺 При повторной установке настоятельно рекомендуется установить кулачки на свои отверстия

􀁺 при обнаружении неисправности в электроприборах, проверьте проходимость электроцепи.

􀁺 Неразрывность электронных элементов

􀁺 Какую бы проверку вы не осуществляли, необходимо проверить состояние аккумулятора

􀁺 нормально ли электронапряжение аккумулятора

 

4.2 Диагностика неисправностей

При включении зажигания на позицию ON, лампочка не загорается

Неисправность электронной лампочки

Переключатель в неисправности

Контакты соединения в неисправности или разрыв цепи

Слабая мощность аккумулятора или нет электронапряжения.

 

4.3 Замена электронной лампочки передней блок фары

Снимите 2 болта крепления ① передней блок фары слева и справа от измерительного прибора

 

Наклоните переднюю блок фару вперед, так, чтобы можно было видеть заднюю сторону передней блок фары.

Снимите с передней блок фары пылезащитный щиток ②

 

На рисунке показаны лампы ближнего света ③, лампы дальнего света ④. По отдельности снимите розетку провода питания ближнего или дальнего света, которые требуется заменить. Снимите болт крепления цоколя электронной лампочки, цоколь электронной лампочки, и в самом конце снимите поврежденную электронную лампочку. При замене электронной лампочки используйте электронную лампочку стандартной модели.

 

Обратите внимание

Когда загорается свет электронной лампочки, просьба легковоспламеняющиеся предметы и руки держать на некотором расстоянии от электронной лампочки. Поскольку лампочка очень горячая, просьба подождать, пока она остынет, и только тогда прикасаться к ней.

 

Монтаж производите в обратном порядке.

При установке просьба избегать прямого контакта со стеклянными частями электронной лампочки. Также не следует, чтобы на нее попало масло. В противном случае это может оказать влияние на прозрачность, эксплуатационный срок и световой поток.

Если попало масло, просьба протереть тряпкой, пропитанной спиртом.

Установите положение большой фары.

 

4.4 Замена электронной лампочки передней лампы габаритного света

Передняя лампа габаритного света и передняя блок-фара расположены в одном корпусе блок фары. Как показано на рисунке, с левой и правой стороны расположена 1 передняя лампа габаритного света ①.

4.5 (1) проделайте операцию в соответствии с вышеизложенной главой «Замена электронной лампочки передней блок фары»

(2) Выньте поврежденную электронную лампочку, замените ее на новую электронную лампочку стандартной модели.

(3) Проведите операцию по установке в обратном порядке.

 

4.5 Замена задней фары

 

Источником света задней фары является LED, при замене следует менять лампу целиком.

(1) Снимите пассажирское сиденье и водительское сиденье

(2) Снимите 2 болта крепления защитного щитка крышки задней фары ①, затем отодвиньте назад щиток крышки задней фары, так чтобы его можно было снять.

 

(3) снимите 2 болта крепления задних комбинированных ламп ②

 

(4)снимите 3 гайки крепления задних комбинированных ламп ③

(5)снимите электрокабель задних комбинированных ламп, снимите поврежденный осветительный прибор. Замените заднюю комбинированную лампу соответствующей модели.

 

(6) Проведите операцию по установке в обратном порядке.

 

4.6 Замена электронной лампы фонаря заднего номерного знака

(1) снимите болт крепления заднего номерного знака ①, так чтобы можно было снять крышку фонаря заднего номерного знака ②.

 

(2) Снимите поврежденную электронную лампочку и замените ее на новую электронную лампочку соответствующей модели.

 

(3) Проведите установку лампы в соответствии с обратным порядком.

 

4.7 Замена фонаря переднего поворотника

Источником света фонаря переднего поворотника является LED, при замене необходимо менять фонарь полностью.

(1) проделайте операцию в соответствии с вышеизложенной главой «Замена электронной лампочки передней блок фары»

(2) Снимите болт крепления с левой или с правой стороны от фонаря поворотника ①

(3) Снимите электрокабель фонаря переднего поворотника, снимите поврежденный осветительный прибор и замените на новый фонарь переднего поворотника с соответствующей маркой.

(4) Проведите установку фонаря в соответствии с обратным порядком.

4.8 Замена фонаря переднего поворотника

Источником света фонаря заднего поворотника является LED, при замене необходимо менять весь фонарь целиком.

(1) Снимите болт крепления ① фонаря поворотника с левой или правой стороны задней части кронштейна номерного знака.

(2) Снимите электрокабель фонаря заднего поворотника, снимите поврежденный световой прибор, и замените на новый фонарь заднего поворотника соответствующей модели.

(3) Установите фонарь в соответствии с обратным порядком.

4.9 Измерительные приборы

Снимите зеркало заднего обзора

Снимите колпак ручки, снимите соединительное звено, снимите болт, для того, чтобы можно было достать измерительные приборы.

Установите измерительный приборы в соответствии с порядком, обратным разборке.

 

4.10 Главный переключатель

4.10.1 Осмотр

Снимите передний защитный щиток

Снимите соединение ведущего провода главного переключателя

Осмотрите открытость зажима соединения

 

 

4.10.2 Замена главного переключателя

Снимите передний защитный щиток

Снимите болт крепления, снимите неподвижный держатель главного переключателя

Снимите болт крепления, замените главный переключатель.

 

4.11 Гудок

Осмотр

Снимите электрокабель гудка

После подсоединения гудка к аккумулятору звучание станет лучше.

 

 

4.12 Переключатель рычага управления

Переключатель делится на:

1. переключатель накаливания

2. переключатель стартера

3. переключатель направления

4. переключатель гудка

5. переключатель погашения

6. переключатель сигнализации

 

Принципиальная схема соединительного провода

 

 

 

 




Поделиться с друзьями:


Дата добавления: 2014-12-23; Просмотров: 421; Нарушение авторских прав?; Мы поможем в написании вашей работы!


Нам важно ваше мнение! Был ли полезен опубликованный материал? Да | Нет



studopedia.su - Студопедия (2013 - 2026) год. Все материалы представленные на сайте исключительно с целью ознакомления читателями и не преследуют коммерческих целей или нарушение авторских прав! Последнее добавление




Генерация страницы за: 0.012 сек.