Студопедия

КАТЕГОРИИ:


Архитектура-(3434)Астрономия-(809)Биология-(7483)Биотехнологии-(1457)Военное дело-(14632)Высокие технологии-(1363)География-(913)Геология-(1438)Государство-(451)Демография-(1065)Дом-(47672)Журналистика и СМИ-(912)Изобретательство-(14524)Иностранные языки-(4268)Информатика-(17799)Искусство-(1338)История-(13644)Компьютеры-(11121)Косметика-(55)Кулинария-(373)Культура-(8427)Лингвистика-(374)Литература-(1642)Маркетинг-(23702)Математика-(16968)Машиностроение-(1700)Медицина-(12668)Менеджмент-(24684)Механика-(15423)Науковедение-(506)Образование-(11852)Охрана труда-(3308)Педагогика-(5571)Полиграфия-(1312)Политика-(7869)Право-(5454)Приборостроение-(1369)Программирование-(2801)Производство-(97182)Промышленность-(8706)Психология-(18388)Религия-(3217)Связь-(10668)Сельское хозяйство-(299)Социология-(6455)Спорт-(42831)Строительство-(4793)Торговля-(5050)Транспорт-(2929)Туризм-(1568)Физика-(3942)Философия-(17015)Финансы-(26596)Химия-(22929)Экология-(12095)Экономика-(9961)Электроника-(8441)Электротехника-(4623)Энергетика-(12629)Юриспруденция-(1492)Ядерная техника-(1748)

Для проведения экзамена




КОНТРОЛЬНО-ИЗМЕРИТЕЛЬНЫЕ МАТЕРИАЛЫ

Натуральная школа

Литературные течения в России XIX - XX вв.

 

- условное название начального этапа развития критического реализма в русской литературе 40-х годов XIX века. Термин «натуральная школа», впервые употребленный Ф.В. Булгариным в пренебрежительной характеристике творчества молодых последователей Н.В. гоголя, был утвержден в литературном критическом обиходе Белинским, который полемически переосмыслил его значение: «натуральное, то есть безыскусственное, строго правдивое изображение действительности».

Характерные особенности:

Преимущественное внимание к жанру художественной прозы: «физиологический очерк», повесть, роман.

Критический пафос: вслед за Гоголем подвергали сатирическому осмеянию чиновничество (напр. в стихах Некрасова), изображали быт и нравы дворянства («Записки одного молодого человека» А.И. Герцена, «Обыкновенная история» И.А. Гончарова и др.) критиковали темные стороны городской цивилизации («дворник» Ф.М. Достоевского, очерки Некрасова, В.И. Даля и др.)

Сочувственное изображение в произведениях «маленького человека» («Бедные люди» Достоевского «Запутанное дело» М.Е. Салтыкова и др.)

Разработка темы «героя времени», воспринятая от Пушкина и Лермонтова («Кто виноват?» Герцена, «Андрей Колосов» Тургенева, «Жизнь и похождения Тихона Тростникова» Некрасова).

Из стремления писателей «натуральной школы» быть «верными натуре» впоследствии развилось два пути – один вел к реализму (Герцен, Некрасов, Тургенев, Гончаров, Достоевский, Салтыков-Щедрин), а другой к натуральному (Даль, И.И. Панаев, Я.П. Бутков и др.)

 

Список использованной литературы.

1. Русская литература ХХ века. 11 кл.: Учеб. для общеобразовательных учебн. заведений: В 2 ч./ В.В.Агеносов и др.; под ред. В.В.Агеносова. – 6-е изд., стереотип. – М.: Дрофа, 2001. – 512с.: ил.

2. Русская литература ХХ века: Учебное пособие/ Т.Ф.Мушинская. – Мн.: ООО «Юнипресс», 2003. – 496с.

3. Литература. Вопросы и ответы. Учебное пособие./ Н.В.Конурина. – М.: АСТ-ПРЕСС, 2004. – 352с.

4. Литература: Работа с текстами: Практические задания./ Е.В.Коркина. – М.: Изд-во НЦ ЭНАС, 2003.-208с.

5. Л.Ю.Алиева, Т.В.Торкунова. Тесты по литературе. – М.: Айрис-пресс, 2004. – 384с.

 

по дисциплине математика
по специальности 190629.07 Машинист крана (крановщик), 190629.01 Машинист дорожных и строительных машин, 190631.01 Автомеханик, 150709.02 Сварщики, 270802.07 Мастер столярно-плотничных и паркетных работ.
группы № 27АМ, 28МС, №29ЭГС, №210МДСМ, №211МК  
разработали преподаватели математики И.А. Давиденко,В.В. Съедина

 

 

Методические указания для проведения государственной (итоговой) аттестации обучающихся по предмету математика в группах начального профессионального образования.

Экзаменационная работа составлена преподавателями математики в четырех вариантах.

В экзаменационную работу включены задания, выполнение которых свидетельствует о наличии общематематических навыков, необходимых человеку в современном обществе. Эти задания проверяют базовые вычислительные и логические умения и навыки, умение анализировать информацию, представленную в графиках, ориентироваться в простейших геометрических конструкциях.

Экзаменационная работа по курсу «Математика» состоит из двух частей.

Первая обязательная часть включает 18 заданий, из которых 3 геометрические задачи. Задания этой части не требуют громоздких вычислений, сложных преобразований. Для их решения достаточно использовать основные определения, владеть минимальным набором формул и алгоритмов.

Вторая дополнительная часть экзаменационной работы состоит из 4 заданий, в которых 1 геометрическая задача. Уровень сложности данных заданий выше, чем в первой части. Однако от учащихся не требуется навыков сложных вычислений и преобразований, хотя некоторые задания предполагают наличие определенных знаний и умений, приобретенных ими в курсе основной школы.

В формулировках заданий обозначены конкретные виды деятельности, на выполнение которых направлено соответствующее задание. При выполнении всех заданий обязательно требуется решение. В обязательной части достаточно краткого пояснения, в дополнительной части – развернутое решение.

На выполнение всей экзаменационной работы отводится 4 астрономических часа (240 минут).

 

Таблица критериев оценки:

 

Оценка Число баллов, необходимое для получения оценки  
«3» (удовлетворительно) 9-14 баллов  
«4» (хорошо) 15 – 20 баллов (не менее одного задания из дополнительной части)  
«5» (отлично) 21–30 баллов (не менее двух заданий из дополнительной части)  

 

Критерии оценки должны оставаться открытыми для обучающихся в течение

всего времени, отведенного на экзамен.

 

Правила сдачи экзамена:

 

1. Учащиеся заходят в аудиторию за 15 минут до начала экзамена и рассаживаются по два человека за парту.

2. В аудитории в течение экзамена находится ответственный преподаватель.

3. Преподаватель информирует учащихся:

- о времени, отведенном на экзаменационную работу

- о структуре экзаменационной работы и критериях оценки

- о необходимости делать записи только ручкой синего цвета (нельзя делать записи карандашом, кроме построений);

- о возможности получения консультации у преподавателя (в случае вопросов по условию заданий и оформлению работ);

- о правилах выхода из аудитории во время проведения экзамена (в первые 90 минут выходить из аудитории не разрешается. Далее разрешается выйти из аудитории не более одного раза. Одновременно покинуть аудиторию может только один человек.)

4. Все необходимые вычисления, преобразования и прочее учащиеся могут производить в черновике. Черновики не проверяются.

5. Начинать выполнять экзаменационную работу все обучающиеся должны с заданий обязательной части.

6. Разрешается использовать справочные материалы, выдаваемые вместе с вариантом экзаменационной работы или размещенные в кабинете в виде таблиц и плакатов.

7. В начале экзамена обучающимся выдается полный текст экзаменационной работы и критерии оценки.

8. Обучающимся выдается достаточное количество двойных тетрадных листов в клетку со штампом учебного заведения (1-2 листа). Подписывается титульный лист экзаменационной работы: группа, фамилия, имя, вариант на одном двойном листе со штампом и откладывается в сторону.

9. Начинать выполнять задания необходимо в черновике. Затем их переписывают в чистовик: сначала формулировку заданий, затем ход решения, в конце записывается ответ. Между заданиями пропускается три клетки.

 

 


Вариант 1

1. Флакон шампуня стоит 160 рублей. Какое наибольшее число флаконов можно купить на 1000 рублей во время распродажи, когда скидка составляет 25%?

2. На клетчатой бумаге с клетками размером 1см 1см изображен треугольник. Найдите его площадь в квадратных сантиметрах.

3. Какие из перечисленных точек принадлежат графику функции y(x)=4x+2

A(1;5), B(-2;-6), C(0;2), D(-1;3)

4. Вычислите значение выражения: :

5. Найти значение cosx, если sinx = II четверти.

6. Решить уравнение:

7. Вычислить значение выражения:

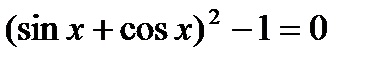
8. Решить уравнение

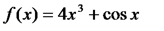
9. Найти одну из первообразных функции

Используя график функции y=f(x), определить и записать ответ:

10. Наименьшее и наибольшее значения функции

11. Промежутки убывания функции

12. При каких значениях x функция f(x)>0.

13. Найти массу прямоугольного параллелепипеда размерами и плотностью

14. Тело движется по закону . Определить, в какой момент времени скорость будет равна 5 м/с.

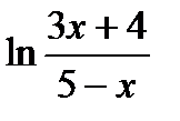
15. Найти область определения функции .

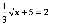
16. Решить уравнение:

17. Решить уравнение:

18. Радиус основания цилиндра равен 4 см, площадь боковой поверхности вдвое больше площади основания. Найти объем цилиндра.

 




Поделиться с друзьями:


Дата добавления: 2014-12-27; Просмотров: 536; Нарушение авторских прав?; Мы поможем в написании вашей работы!


Нам важно ваше мнение! Был ли полезен опубликованный материал? Да | Нет



studopedia.su - Студопедия (2013 - 2025) год. Все материалы представленные на сайте исключительно с целью ознакомления читателями и не преследуют коммерческих целей или нарушение авторских прав! Последнее добавление




Генерация страницы за: 0.011 сек.