Студопедия

КАТЕГОРИИ:


Архитектура-(3434)Астрономия-(809)Биология-(7483)Биотехнологии-(1457)Военное дело-(14632)Высокие технологии-(1363)География-(913)Геология-(1438)Государство-(451)Демография-(1065)Дом-(47672)Журналистика и СМИ-(912)Изобретательство-(14524)Иностранные языки-(4268)Информатика-(17799)Искусство-(1338)История-(13644)Компьютеры-(11121)Косметика-(55)Кулинария-(373)Культура-(8427)Лингвистика-(374)Литература-(1642)Маркетинг-(23702)Математика-(16968)Машиностроение-(1700)Медицина-(12668)Менеджмент-(24684)Механика-(15423)Науковедение-(506)Образование-(11852)Охрана труда-(3308)Педагогика-(5571)Полиграфия-(1312)Политика-(7869)Право-(5454)Приборостроение-(1369)Программирование-(2801)Производство-(97182)Промышленность-(8706)Психология-(18388)Религия-(3217)Связь-(10668)Сельское хозяйство-(299)Социология-(6455)Спорт-(42831)Строительство-(4793)Торговля-(5050)Транспорт-(2929)Туризм-(1568)Физика-(3942)Философия-(17015)Финансы-(26596)Химия-(22929)Экология-(12095)Экономика-(9961)Электроника-(8441)Электротехника-(4623)Энергетика-(12629)Юриспруденция-(1492)Ядерная техника-(1748)

Ключ к экзамену по математике для 1 курса




Дополнительная часть

19. Найдите промежутки возрастания функции y = x3 + 6x2 +9 x.

20. Основание прямой призмы – прямоугольный треугольник с гипотенузой 29 см и катетом 21 см. Найдите площадь боковой и полной поверхности призмы, если ее наибольшая боковая грань – квадрат.

21. Решите систему уравнений .

22. Найдите корни уравнения cos 2x + sin2x= cos x, принадлежащие отрезку .

 

 


Ключ к заданиям:

№   Вариант 1 Вариант 2 Вариант 3 Вариант 4
  1000/(160-160*0.25)=8,3 8 штук 900/(40+40*0,1)=20,4 20 штук 750/(40-40*0,1)=20,8 20 штук 1000/(120+120*0,2)= =6,9 6 штук
  S=5*5-0,5*5*2-0,5*3*3-0,5*5*2= 10,5 см2 S=6*6-0,5*6*6-1-0,5*5*1-0,5*5*1= 12 см2 S=4*4-4*0,5*3*1= 10 см2 S=4*5-2-4= 14 см2
  B,C принадлежат A,Cпринадлежат B,C принадлежат   A,Cпринадлежат
  (48*1110)/(48*118)=112=121 0,2    
  cosx=-3/5   sinx=4/5 cosx=0,6   sinx=0,8
  x=35/4   x=12,5 x=4   x=4  
         
  х = -124   x=21 х= -42 х = -4
  x4 + sinx   x5+ cosx   х3 – 2 ln
  наиб.знач.(-4;4) наим.знач.(1;-4) наиб.знач.(-5;5) наим.знач.(2;-3) наиб.знач.(-7;5) наим.знач.(-5,5;-3) наиб.знач.(-11;5) наим.знач.(1;-3)
  убывает при x возрастает при x возрастает при x [-4,5;-1] [1,5;4] убывает при x [-7;-4,5] [-1;1,5] возрастает при x убывает при x [-11;-9] [-6;-4] [-2;1]
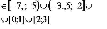
  f(x) >0 x [-7;-5,5) (-2,5;4] f(x) >0 x [-10;-7) (-1;2)
  m=420·8,5=3570г   ρ =0,48г/см3 h = 3,2 см а= 30
  t=2,5c   V = 9м/с V = 1м/с t=3c  
 
  x=31   x=9,5   х= 8 х= 232
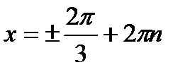
  x =
  V = 64p   V = 128p V = 20 p V = 1156p
  функция убывает   функция возрастает (- функция убывает [2;3] Функция возрастает
  Sб.п. = 240 см2; Sп.п.= 240+2·24=288см2 Sб.п. = 150 см2; Sп.п.= 150+2·30=210см2 Sб.п. = 36см2; Sп.п.= 36+2·6=48см2 Sб.п. = 2030см2; Sп.п.=2030+2·210=2450см2
  (10;2) (5;-2) (-3;4) (0,8; 4,2)
  x = x = -

 




Поделиться с друзьями:


Дата добавления: 2014-12-27; Просмотров: 936; Нарушение авторских прав?; Мы поможем в написании вашей работы!


Нам важно ваше мнение! Был ли полезен опубликованный материал? Да | Нет



studopedia.su - Студопедия (2013 - 2026) год. Все материалы представленные на сайте исключительно с целью ознакомления читателями и не преследуют коммерческих целей или нарушение авторских прав! Последнее добавление




Генерация страницы за: 0.012 сек.