Студопедия

КАТЕГОРИИ:


Архитектура-(3434)Астрономия-(809)Биология-(7483)Биотехнологии-(1457)Военное дело-(14632)Высокие технологии-(1363)География-(913)Геология-(1438)Государство-(451)Демография-(1065)Дом-(47672)Журналистика и СМИ-(912)Изобретательство-(14524)Иностранные языки-(4268)Информатика-(17799)Искусство-(1338)История-(13644)Компьютеры-(11121)Косметика-(55)Кулинария-(373)Культура-(8427)Лингвистика-(374)Литература-(1642)Маркетинг-(23702)Математика-(16968)Машиностроение-(1700)Медицина-(12668)Менеджмент-(24684)Механика-(15423)Науковедение-(506)Образование-(11852)Охрана труда-(3308)Педагогика-(5571)Полиграфия-(1312)Политика-(7869)Право-(5454)Приборостроение-(1369)Программирование-(2801)Производство-(97182)Промышленность-(8706)Психология-(18388)Религия-(3217)Связь-(10668)Сельское хозяйство-(299)Социология-(6455)Спорт-(42831)Строительство-(4793)Торговля-(5050)Транспорт-(2929)Туризм-(1568)Физика-(3942)Философия-(17015)Финансы-(26596)Химия-(22929)Экология-(12095)Экономика-(9961)Электроника-(8441)Электротехника-(4623)Энергетика-(12629)Юриспруденция-(1492)Ядерная техника-(1748)

Дополнительная часть




19. Найдите промежутки убывания функции y = 2x3 + 9x2– 24x

20. Основание прямой призмы – прямоугольный треугольник с катетами 6 см и 8 см. Найдите площадь боковой и полной поверхности призмы, если ее наибольшая боковая грань – квадрат.

21. Решите систему уравнений

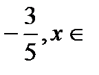
22. Найдите все решения уравнения (sin x + cos x)2 = 1 + sin x∙cos x, принадлежащие отрезку .

 


23.

Вариант 2

 

1. Шариковая ручка стоит 40 рублей. Какое наибольшее число таких ручек можно будет купить на 900 рублей после повышения цены на 10%?

2. На клетчатой бумаге с клетками размером 1см 1см изображен треугольник. Найдите его площадь в квадратных сантиметрах.

3. Какие из перечисленных точек принадлежат графику функции y(x)=5x-1

A(0;-1), B(1;3), C(2;9), D(-1;0)

4. Вычислите значение выражения: :

5. Найти значение sinx, если cosx = II четверти.

6. Решить уравнение:

7. Вычислить значение выражения:

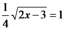
8. Решить уравнение

9. Найти одну из первообразных функции .

Используя график функции y=f(x), определить и записать ответ:

10. Наименьшее и наибольшее значения функции

11. Промежутки возрастания функции

12. При каких значениях x функция f(x) < 0.

13. Найти плотность материала, из которого изготовлен шар радиусом 10 см и массой 2 кг.

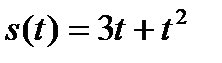
14. Тело движется по закону . Найти скорость материального тела через 3 с после начала движения.

15. Найти область определения функции .

16. Решить уравнение:

17. Решить уравнение:

18. Осевым сечением цилиндра является квадрат, диагональ которого равна 8 см. Найти объем цилиндра.

 




Поделиться с друзьями:


Дата добавления: 2014-12-27; Просмотров: 1814; Нарушение авторских прав?; Мы поможем в написании вашей работы!


Нам важно ваше мнение! Был ли полезен опубликованный материал? Да | Нет



studopedia.su - Студопедия (2013 - 2026) год. Все материалы представленные на сайте исключительно с целью ознакомления читателями и не преследуют коммерческих целей или нарушение авторских прав! Последнее добавление




Генерация страницы за: 0.011 сек.