Студопедия

КАТЕГОРИИ:


Архитектура-(3434)Астрономия-(809)Биология-(7483)Биотехнологии-(1457)Военное дело-(14632)Высокие технологии-(1363)География-(913)Геология-(1438)Государство-(451)Демография-(1065)Дом-(47672)Журналистика и СМИ-(912)Изобретательство-(14524)Иностранные языки-(4268)Информатика-(17799)Искусство-(1338)История-(13644)Компьютеры-(11121)Косметика-(55)Кулинария-(373)Культура-(8427)Лингвистика-(374)Литература-(1642)Маркетинг-(23702)Математика-(16968)Машиностроение-(1700)Медицина-(12668)Менеджмент-(24684)Механика-(15423)Науковедение-(506)Образование-(11852)Охрана труда-(3308)Педагогика-(5571)Полиграфия-(1312)Политика-(7869)Право-(5454)Приборостроение-(1369)Программирование-(2801)Производство-(97182)Промышленность-(8706)Психология-(18388)Религия-(3217)Связь-(10668)Сельское хозяйство-(299)Социология-(6455)Спорт-(42831)Строительство-(4793)Торговля-(5050)Транспорт-(2929)Туризм-(1568)Физика-(3942)Философия-(17015)Финансы-(26596)Химия-(22929)Экология-(12095)Экономика-(9961)Электроника-(8441)Электротехника-(4623)Энергетика-(12629)Юриспруденция-(1492)Ядерная техника-(1748)

Расстояние от точки до прямой




Дана прямая своим общим уравнением Ах+Ву+С= 0, и точка М11, у1) относительно прямоугольной де­картовой системы координат (рис.). Требуется вывести формулу для вычисления расстояния от точки М11, у1) до прямой Ах + Ву + С = 0. Это расстояние равно длине отрезка перпендикуля­ра, опущенного из точки М1 на данную прямую. Пусть М22, у2) - ос­нование этого перпендикуляра, тогда искомое расстояние d по опреде­лению выражается формулой

(19)

 

Данная прямая имеет угловой коэффициент , а прямая, перпендику­лярная ей, - угловой коэффициент , что следует из условия (12). Выразим угловой коэффициент прямой, проходящей через точки М11, у1) и М22, у2), по формуле (2), обозначим равные отношения буквой t и найдем х2, у2:

 

       
   
 
 

 

 


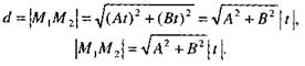
Запишем формулу расстояния между двумя точками для точек М11, у1) и М21 +At, у1+Bt):

 

(20)

 

 

Определим значение t. Так как точка М2 лежит на данной прямой то

 

ее координаты удовлетворяют данному уравнению, т.е. или

 

откуда

       
 
 
   

 

 


(21)

 

Из равенств (19) - (21) следует искомая формула для вычисления расстояния от точки М11, у1) до прямой Ах+Ву+С= 0:

 

(22)

 




Поделиться с друзьями:


Дата добавления: 2015-04-25; Просмотров: 539; Нарушение авторских прав?; Мы поможем в написании вашей работы!


Нам важно ваше мнение! Был ли полезен опубликованный материал? Да | Нет



studopedia.su - Студопедия (2013 - 2026) год. Все материалы представленные на сайте исключительно с целью ознакомления читателями и не преследуют коммерческих целей или нарушение авторских прав! Последнее добавление




Генерация страницы за: 0.01 сек.