Студопедия

КАТЕГОРИИ:


Архитектура-(3434)Астрономия-(809)Биология-(7483)Биотехнологии-(1457)Военное дело-(14632)Высокие технологии-(1363)География-(913)Геология-(1438)Государство-(451)Демография-(1065)Дом-(47672)Журналистика и СМИ-(912)Изобретательство-(14524)Иностранные языки-(4268)Информатика-(17799)Искусство-(1338)История-(13644)Компьютеры-(11121)Косметика-(55)Кулинария-(373)Культура-(8427)Лингвистика-(374)Литература-(1642)Маркетинг-(23702)Математика-(16968)Машиностроение-(1700)Медицина-(12668)Менеджмент-(24684)Механика-(15423)Науковедение-(506)Образование-(11852)Охрана труда-(3308)Педагогика-(5571)Полиграфия-(1312)Политика-(7869)Право-(5454)Приборостроение-(1369)Программирование-(2801)Производство-(97182)Промышленность-(8706)Психология-(18388)Религия-(3217)Связь-(10668)Сельское хозяйство-(299)Социология-(6455)Спорт-(42831)Строительство-(4793)Торговля-(5050)Транспорт-(2929)Туризм-(1568)Физика-(3942)Философия-(17015)Финансы-(26596)Химия-(22929)Экология-(12095)Экономика-(9961)Электроника-(8441)Электротехника-(4623)Энергетика-(12629)Юриспруденция-(1492)Ядерная техника-(1748)

Стоячие волны




Интенсивность волны в данной точке -.

Поток энергии через площадку:.

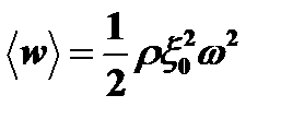
Энергия упругой волны.

Пусть в некоторой среде распространяется плоская волна . При распространении бегущей волны в среде возникают упругие деформации. Любой объем упругой среды обладает потенциальной энергией упругой деформации. Разделив эту энергию на объем ∆v, в котором она содержится, получим плотность энергии: в одной и той же точке пространства она изменяется со временем по закону Т.к. и .

Энергия, переносимая волной в единицу времени через площадку, перпендикулярную направлению распространения волны – плотность потока энергии (вектор Умова).

; ;

КОЛЕБАНИЯ СТРУНЫ

Две когерентные и одинаковые по интенсивности волны, распространяющиеся навстречу друг другу при определенных условиях могут создавать особого вида интерференционную картину, получившую название стоячих волн. Интерференция – сложение в пространстве двух (или нескольких)волн, при котором в разных точках пространства происходит усиление или ослабление амплитуды результирующей волны. Явление интерференции возможно только для, так называемых, когерентных волн. Когерентность – согласованное во времени и пространстве протекание колебательных или волновых процессов. Стоячая волна представляет собой периодическое колебание с характерным пространственным распределением амплитуды – чередованием пучностей (максимумов амплитуды)и узлов (нулей амплитуды). Такая картина может возникать всякий раз, когда волна падает на хорошо отражающую преграду. Когерентность обеспечивается тем, что обе волны представляют собой раннюю и позднюю части одной и той же волны. Стоячие волны могут устанавливаться только при отсутствии затухания в среде и при полном отражении от границ. Анализ уравнения стоячей волны показывает, что интервалы между соседними пучностями или узлами равны половине длины бегущей волны. Между двумя соседними узлами все точки среды колеблются синфазно, при переходе же через узел фаза изменяется на , т.е. колебания по разные стороны от узла (в пределах полуволны) происходят в противофазе (рис.1). Будет ли на границе отражения узел или пучность, зависит от соотношения плотностей сред. Если среда, от которой происходит отражение, менее плотная, то в месте отражения возникает пучность (рис.1а) если более плотная – узел (рис.1б). Как известно, бегущая волна в направлении ее движения переносит энергию колебательного движения. Стоячая волна энергию не переносит, поскольку падающая и отраженная волны, имея одинаковые амплитуды, несут одинаковую энергию, но в противоположных направлениях. Поэтому полная энергия результирующей стоячей волны, заключенной между узловыми точками, с течением времени остается неизменной. Только в пределах расстояний, равных половине длины волны, происходят взаимные превращения кинетической энергии в потенциальную и наоборот.

Рис.1




Поделиться с друзьями:


Дата добавления: 2015-04-25; Просмотров: 752; Нарушение авторских прав?; Мы поможем в написании вашей работы!


Нам важно ваше мнение! Был ли полезен опубликованный материал? Да | Нет



studopedia.su - Студопедия (2013 - 2026) год. Все материалы представленные на сайте исключительно с целью ознакомления читателями и не преследуют коммерческих целей или нарушение авторских прав! Последнее добавление




Генерация страницы за: 0.01 сек.