Студопедия

КАТЕГОРИИ:


Архитектура-(3434)Астрономия-(809)Биология-(7483)Биотехнологии-(1457)Военное дело-(14632)Высокие технологии-(1363)География-(913)Геология-(1438)Государство-(451)Демография-(1065)Дом-(47672)Журналистика и СМИ-(912)Изобретательство-(14524)Иностранные языки-(4268)Информатика-(17799)Искусство-(1338)История-(13644)Компьютеры-(11121)Косметика-(55)Кулинария-(373)Культура-(8427)Лингвистика-(374)Литература-(1642)Маркетинг-(23702)Математика-(16968)Машиностроение-(1700)Медицина-(12668)Менеджмент-(24684)Механика-(15423)Науковедение-(506)Образование-(11852)Охрана труда-(3308)Педагогика-(5571)Полиграфия-(1312)Политика-(7869)Право-(5454)Приборостроение-(1369)Программирование-(2801)Производство-(97182)Промышленность-(8706)Психология-(18388)Религия-(3217)Связь-(10668)Сельское хозяйство-(299)Социология-(6455)Спорт-(42831)Строительство-(4793)Торговля-(5050)Транспорт-(2929)Туризм-(1568)Физика-(3942)Философия-(17015)Финансы-(26596)Химия-(22929)Экология-(12095)Экономика-(9961)Электроника-(8441)Электротехника-(4623)Энергетика-(12629)Юриспруденция-(1492)Ядерная техника-(1748)

П. 3. Мост Вина




П. 2. Фильтр низких частот (НЧ)

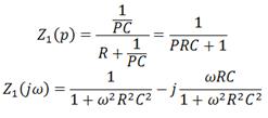
Схема фильтра НЧ приведена на рис. П3. Комплексное сопротивление в точке 1 равно (та же процедура, что и для фильтра ВЧ).

 
 


 

Рис. П3. Фильтр низких частот.

 

 

Амплитудно-частотная и фазо-частотная характеристики в логарифмическом масштабе приведены на рис. П4.

 

Рис. П4. Амплитудно-частотная (а) и фазо-частотная (б) характеристики фильтра НЧ.

 

Точка излома (-3дб) определяется как

 

 

Мостовая схема Вина приведена на рис. П5. Это симбиоз фильтров НЧ и ВЧ с сильной взаимной связью (R1 C2 – фильтр НЧ, C1 R2 – фильтр ВЧ). Если фаза фильтра ВЧ изменяется от до нуля, а у фильтра НЧ – от нуля до , то следует ожидать, что где-то фаза должна быть равна 0, а амплитудная характеристика будет иметь резонансный всплеск, что без масштаба изображено на рис. П5, б жирной линией.

 

Рис. П5. Мост Вина (a), амплитудно-частотная (б) и фазо-частотная (в) характеристики

 

- последовательное соединение R1 и C1.

- параллельное соединение R2 и C2.

 

Арифметические преобразования приводят к

 

Тогда, заменив оператор P на jω и избавившись от j в знаменателе, получаем

 

Из этого выражения определим резонансную частоту ωрез, где фаза φА равна нулю. Поэтому мнимая часть будет равна нулю, если , тогда

 

Определим величину ZA при этой частоте (мнимая часть равна нулю) и из выражения ZA (jω) получим

 

если принять, что R1=R2=R и C1=C2=C, то получим

 

Zрез=RC/(3RC)=1/3, ωрез=1/(RC)

 

На рис. П5, б это место отмечено заранее. Итак, мост Вина работает на частоте ω<ωрез как индуктивная нагрузка (φ изменяется от +π/2 до нуля), а при ω>ωрез, как емкостная нагрузка (φ изменяется от нуля до -π/2) (рис. П5, в).

 

 




Поделиться с друзьями:


Дата добавления: 2015-03-29; Просмотров: 590; Нарушение авторских прав?; Мы поможем в написании вашей работы!


Нам важно ваше мнение! Был ли полезен опубликованный материал? Да | Нет



studopedia.su - Студопедия (2013 - 2026) год. Все материалы представленные на сайте исключительно с целью ознакомления читателями и не преследуют коммерческих целей или нарушение авторских прав! Последнее добавление




Генерация страницы за: 0.009 сек.