Студопедия

КАТЕГОРИИ:


Архитектура-(3434)Астрономия-(809)Биология-(7483)Биотехнологии-(1457)Военное дело-(14632)Высокие технологии-(1363)География-(913)Геология-(1438)Государство-(451)Демография-(1065)Дом-(47672)Журналистика и СМИ-(912)Изобретательство-(14524)Иностранные языки-(4268)Информатика-(17799)Искусство-(1338)История-(13644)Компьютеры-(11121)Косметика-(55)Кулинария-(373)Культура-(8427)Лингвистика-(374)Литература-(1642)Маркетинг-(23702)Математика-(16968)Машиностроение-(1700)Медицина-(12668)Менеджмент-(24684)Механика-(15423)Науковедение-(506)Образование-(11852)Охрана труда-(3308)Педагогика-(5571)Полиграфия-(1312)Политика-(7869)Право-(5454)Приборостроение-(1369)Программирование-(2801)Производство-(97182)Промышленность-(8706)Психология-(18388)Религия-(3217)Связь-(10668)Сельское хозяйство-(299)Социология-(6455)Спорт-(42831)Строительство-(4793)Торговля-(5050)Транспорт-(2929)Туризм-(1568)Физика-(3942)Философия-(17015)Финансы-(26596)Химия-(22929)Экология-(12095)Экономика-(9961)Электроника-(8441)Электротехника-(4623)Энергетика-(12629)Юриспруденция-(1492)Ядерная техника-(1748)

Проведение испытания




Подготовка пробы

С целью максимального уменьшения влияния пористости на значение плотности пробу подвергают измельчению до полного прохождения (по ГОСТ 6427-75) через сито с сеткой № 0125. Приготовленный порошкообразный материал высушивают в термостате до постоянной массы и охлаждают до комнатной температуры в эксикаторе над концентрированной серной кислотой или над безводным хлористым кальцием.

От пробы, подготовленной ранее, берут навеску массой около 10 г, высыпают ее в чистый, предварительно высушенный и взвешенный пикнометр (рис. 4.) и вновь взвешивают. Затем в пикнометр наливают воду (или инертную жидкость) в таком количестве, чтобы пикнометр был заполнен не более, чем наполовину своего объема. Для удаления воздуха из навески материала пикнометр с содержимым выдерживают под вакуумом в эксикаторе до прекращения выделения пузырьков.

Удаление воздуха можно производить также путем кипячения пикнометра с навеской и небольшим количеством жидкости (приблизительно 1/3 от объема пикнометра) в слегка наклонном состоянии на песчаной или водяной бане в течение 15-20 минут.

Следует также удалить воздух из жидкости, которой будет дополнен пикнометр, одним из указанных способов.

 

Рис. 4. Пикнометр и схема установки его в сосуд

 

После удаления воздуха пикнометр заполняют жидкостью до отметки и помещают в термостат с температурой 20 ± 0,5 °С, в котором выдерживают в течение 15 минут.

При отсутствии термостата используют водяную ванну с постоянной температурой 20 ± 0,5 °С.

Уровень жидкости в пикнометре доводят до метки по нижнему мениску.

После этого немедленно производят взвешивание пикнометра.

Затем пикнометр освобождают от содержимого, промывают, заполняют водой (или инертной жидкостью), выдерживают в термостате так же, как с навеской, доводят жидкостью до постоянного уровня, как указано выше, и снова взвешивают.

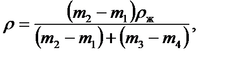
Плотность материала r в г/см3 вычисляют по формуле (8)

 

(8)

где m 1 - масса пустого пикнометра, г; m 2 - масса пикнометра c навеской, г; m 3 - масса пикнометра с навеской и водой или инертной жидкостью, г; m 4 - масса пикнометра с водой или инертной жидкостью, г; rж - плотность воды (равная единице) или другой инертной жидкости, применяемой вместо воды.

Плотность материала определяют параллельно для двух навесок с погрешностью не более 0,01 г/см3 (табл. 9) и вычисляют как среднее арифметическое этих определений.

Таблица 9




Поделиться с друзьями:


Дата добавления: 2015-03-29; Просмотров: 1222; Нарушение авторских прав?; Мы поможем в написании вашей работы!


Нам важно ваше мнение! Был ли полезен опубликованный материал? Да | Нет



studopedia.su - Студопедия (2013 - 2026) год. Все материалы представленные на сайте исключительно с целью ознакомления читателями и не преследуют коммерческих целей или нарушение авторских прав! Последнее добавление




Генерация страницы за: 0.012 сек.