Студопедия

КАТЕГОРИИ:


Архитектура-(3434)Астрономия-(809)Биология-(7483)Биотехнологии-(1457)Военное дело-(14632)Высокие технологии-(1363)География-(913)Геология-(1438)Государство-(451)Демография-(1065)Дом-(47672)Журналистика и СМИ-(912)Изобретательство-(14524)Иностранные языки-(4268)Информатика-(17799)Искусство-(1338)История-(13644)Компьютеры-(11121)Косметика-(55)Кулинария-(373)Культура-(8427)Лингвистика-(374)Литература-(1642)Маркетинг-(23702)Математика-(16968)Машиностроение-(1700)Медицина-(12668)Менеджмент-(24684)Механика-(15423)Науковедение-(506)Образование-(11852)Охрана труда-(3308)Педагогика-(5571)Полиграфия-(1312)Политика-(7869)Право-(5454)Приборостроение-(1369)Программирование-(2801)Производство-(97182)Промышленность-(8706)Психология-(18388)Религия-(3217)Связь-(10668)Сельское хозяйство-(299)Социология-(6455)Спорт-(42831)Строительство-(4793)Торговля-(5050)Транспорт-(2929)Туризм-(1568)Физика-(3942)Философия-(17015)Финансы-(26596)Химия-(22929)Экология-(12095)Экономика-(9961)Электроника-(8441)Электротехника-(4623)Энергетика-(12629)Юриспруденция-(1492)Ядерная техника-(1748)

Теплопередача через однослойную цилиндрическую стенку




 

Пусть имеется цилиндрическая стенка (труба) с внутренним диаметром d1 внешним d2 и длиной l. Стенка трубы однородна; ее коэффициент теплопроводности λ. Внутри трубы горячая среда с температурой tЖ1, а снаружи – холодная с температурой tЖ2. Температуры поверхностей стенки неизвестны, обозначим их через tС1 и tС2 (рис. 6–6). Со стороны горячей среды суммарный коэффициент теплоотдачи α1, а со стороны холодной α2.

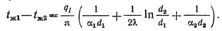
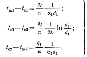
При установившемся тепловом состоянии системы количество теплоты, отданное горячей и воспринятое холодной средой, одно и то же. Следовательно, можно написать:

Из этих соотношений определяем частные температурные напоры:

Складывая уравнения системы (к), получаем полный температурный напор

 

Из уравнения (л) определяется значение линейной плотности теплового потока ql

 

откуда линейный коэффициент теплопередачи (на 1 м длины трубы)

 

 

Величина, обратная линейному коэффициенту теплопередачи, 1/kl называется линейным термическим сопротивлением теплопередачи.

Из уравнения (6–9) имеем:

 

Последнее означает, что общее термическое сопротивление равно сумме частных – термического сопротивления теплопроводности стенки и термических сопротивлений теплоотдачи и . Значения tС1 и tС2 определяются из уравнений (к).

 




Поделиться с друзьями:


Дата добавления: 2015-03-29; Просмотров: 809; Нарушение авторских прав?; Мы поможем в написании вашей работы!


Нам важно ваше мнение! Был ли полезен опубликованный материал? Да | Нет



studopedia.su - Студопедия (2013 - 2025) год. Все материалы представленные на сайте исключительно с целью ознакомления читателями и не преследуют коммерческих целей или нарушение авторских прав! Последнее добавление




Генерация страницы за: 0.01 сек.