Студопедия

КАТЕГОРИИ:


Архитектура-(3434)Астрономия-(809)Биология-(7483)Биотехнологии-(1457)Военное дело-(14632)Высокие технологии-(1363)География-(913)Геология-(1438)Государство-(451)Демография-(1065)Дом-(47672)Журналистика и СМИ-(912)Изобретательство-(14524)Иностранные языки-(4268)Информатика-(17799)Искусство-(1338)История-(13644)Компьютеры-(11121)Косметика-(55)Кулинария-(373)Культура-(8427)Лингвистика-(374)Литература-(1642)Маркетинг-(23702)Математика-(16968)Машиностроение-(1700)Медицина-(12668)Менеджмент-(24684)Механика-(15423)Науковедение-(506)Образование-(11852)Охрана труда-(3308)Педагогика-(5571)Полиграфия-(1312)Политика-(7869)Право-(5454)Приборостроение-(1369)Программирование-(2801)Производство-(97182)Промышленность-(8706)Психология-(18388)Религия-(3217)Связь-(10668)Сельское хозяйство-(299)Социология-(6455)Спорт-(42831)Строительство-(4793)Торговля-(5050)Транспорт-(2929)Туризм-(1568)Физика-(3942)Философия-(17015)Финансы-(26596)Химия-(22929)Экология-(12095)Экономика-(9961)Электроника-(8441)Электротехника-(4623)Энергетика-(12629)Юриспруденция-(1492)Ядерная техника-(1748)

Теплопередача через многослойную цилиндрическую стенку




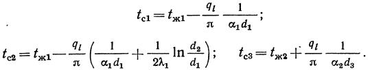
В этом случае рассматривается передача теплоты через многослойную, например двухслойную, цилиндрическую стенку. Диаметры и коэффициенты теплопроводности отдельных слоев известны. Температура горячей среды tЖ1, холодной tЖ2. Коэффициент теплоотдачи со стороны горячей среды α1 а со стороны холодной α2. Температуры поверхностей tС1 и tС3 а также температура в месте соприкосновения разнородных цилиндрических слоев tС2 неизвестны.

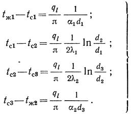
При установившемся тепловом состоянии системы можно записать:

Определяем частные температурные напоры:

Складывая левые и правые части уравнений (н), получаем полный температурный напор

 

и значение линейной плотности теплового потока

 

Распределение температур при теплопередаче через однослойную и многослойную цилиндрические стенки показано на рис. 6–6 и 6–7 соответственно.

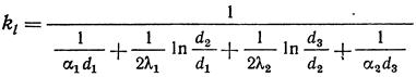
Линейный коэффициент теплопередачи для двухслойной стенки

 

а общее термическое сопротивление Rl= 1/kl. Для многослойной стенки трубы

 

 

Чтобы определить неизвестные температуры стенки tС1, tС2, tС3, надо значение ql из уравнения (6–10) подставить в уравнения (н). Решая их, получаем:

 

 

Способ определения температуры между слоями описан в гл. 1. Расчетные формулы теплопередачи для труб довольно громоздки, поэтому при практических расчетах применяются некоторые упрощения. Если толщина стенки не очень велика, то вместо формулы (6–8) в расчетах применяется формула для плоской стенки (6–4), которая в этом случае (в применении к трубе длиной 1 м) принимает вид:

 

 

где k – коэффициент теплопередачи для плоской стенки, рассчитанный по формуле (6–5), dх – средний диаметр стенки; δ – ее толщина, равная полуразности диаметров.

При этом если, то погрешность расчета не превышает 4%. Эта погрешность снижается, если при выборе dх соблюдать следующее правило:

т.е. при расчете теплопередачи по формуле (6–12) вместо dх берется тот диаметр, со стороны которого коэффициент теплоотдачи имеет меньшее значение. Если же значения коэффициентов теплоотдачи α1 и α2 одного порядка, то Ах равно среднеарифметическому между внутренним (d1) и внешним (d2) диаметрами трубы. При проведении расчетов как по формуле (6–8), так и по формуле (6–12) всегда следует иметь в виду, что в целях упрощения расчета относительно малыми сопротивлениями можно и следует пренебрегать.

________________________________________22______________________________________




Поделиться с друзьями:


Дата добавления: 2015-03-29; Просмотров: 4084; Нарушение авторских прав?; Мы поможем в написании вашей работы!


Нам важно ваше мнение! Был ли полезен опубликованный материал? Да | Нет



studopedia.su - Студопедия (2013 - 2025) год. Все материалы представленные на сайте исключительно с целью ознакомления читателями и не преследуют коммерческих целей или нарушение авторских прав! Последнее добавление




Генерация страницы за: 0.007 сек.