Студопедия

КАТЕГОРИИ:


Архитектура-(3434)Астрономия-(809)Биология-(7483)Биотехнологии-(1457)Военное дело-(14632)Высокие технологии-(1363)География-(913)Геология-(1438)Государство-(451)Демография-(1065)Дом-(47672)Журналистика и СМИ-(912)Изобретательство-(14524)Иностранные языки-(4268)Информатика-(17799)Искусство-(1338)История-(13644)Компьютеры-(11121)Косметика-(55)Кулинария-(373)Культура-(8427)Лингвистика-(374)Литература-(1642)Маркетинг-(23702)Математика-(16968)Машиностроение-(1700)Медицина-(12668)Менеджмент-(24684)Механика-(15423)Науковедение-(506)Образование-(11852)Охрана труда-(3308)Педагогика-(5571)Полиграфия-(1312)Политика-(7869)Право-(5454)Приборостроение-(1369)Программирование-(2801)Производство-(97182)Промышленность-(8706)Психология-(18388)Религия-(3217)Связь-(10668)Сельское хозяйство-(299)Социология-(6455)Спорт-(42831)Строительство-(4793)Торговля-(5050)Транспорт-(2929)Туризм-(1568)Физика-(3942)Философия-(17015)Финансы-(26596)Химия-(22929)Экология-(12095)Экономика-(9961)Электроника-(8441)Электротехника-(4623)Энергетика-(12629)Юриспруденция-(1492)Ядерная техника-(1748)

Основные теоретические положения. Защита отчета по лабораторной работе




ИССЛЕДОВАНИЕ СЛОЖНЫХ ЦЕПЕЙ ПОСТОЯННОГО ТОКА

Защита отчета по лабораторной работе

Оформление отчета по результатам эксперимента

1. Отчеты выполняются отдельно каждым членом бригады в одной тетради;

2. Отчет должен быть выполнен тщательно и аккуратно, только чернилами; (возможно оформление отчета на листах формата А4, отпечатанных на принтере)

3. Схемы, графики, векторные диаграммы, таблицы желательно вычерчивать карандашом при помощи линейки и циркуля с соблюдением установленных графических обозначений;

4. При выполнении графиков и векторных диаграмм необходимо указать масштаб по каждой оси координат;

5. На одном чертеже допускается вычерчивание нескольких графиков функций, зависящих от одной переменной;

6. Экспериментальные точки, по которым были проведены кривые, должны быть отчетливо видны на графике;

7. Если в работе предусмотрено сравнение экспериментальных и теоретических зависимостей, то они должны быть изображены на одном графике с соответствующими пометками;

8. Векторные диаграммы рекомендуется строить следующим образом:

· для неразветвленной цепи она строится, начиная с вектора тока;

· для параллельного соединения – с вектора напряжения;

· для последовательно-параллельного соединения начинают с вектора напряжения на параллельных ветвях.

9. Допускается проводить обработку экспериментов на компьютере с последующей распечаткой итоговых экспериментальных таблиц и графиков. При этом должны быть соблюдены изложенные выше общие требования к их оформлению.

 

 

К защите допускаются студенты, имеющие индивидуальный отчет по рассматриваемой лабораторной работе.

Защита производится во время консультационных занятий. Допускается проводить защиту непосредственно после выполнения экспериментальной части следующей лабораторной работы, если позволяет время занятий.

Перед защитой студент обязан внимательно проработать теоретический материал, соответствующий данной работе и подготовить ответы на вопросы, приведенные в разделе «Список контрольных вопросов».

 

 

ЛАБОРАТОРНАЯ РАБОТА №1

 

 

Цель работы: экспериментально убедиться в правомерности 1 и 2 законов Кирхгофа; получить практические навыки сборки, испытания и расчёта сложных электрических цепей постоянного тока.

 

 

При анализе работы многих электротехнических устройств приходится иметь дело со сложными электрическими цепями. В таких цепях для упорядочения их сборки и расчёта вводят некоторые термины, отражающие элементы её топологии (структуры). Рассмотрим некоторые из них.

Ветвью электрической цепи называют её участок с последовательным соединением элементов, заключенный между двумя узлами. Через все элементы ветви протекает одинаковый ток. В ветви может быть включен только один элемент

Узлом электрической цепи называют место соединения трёх и более ветвей. Различают понятия геометрического и потенциального узлов. В качестве примера на рис. 1 приведена схема замещения электрической разветвлённой (сложной) цепи с пятью ветвями. На этой схеме имеется четыре геометрических и три потенциальных узла. Геометрические узлы и могут быть объединены в один потенциальный узел.

Контуром называют замкнутый непересекающийся путь, проходящий по ветвям и узлам электрической цепи (или схемы), например, контур на рис. 1.

Двухполюсником называют часть электрической цепи с двумя выделенными зажимами – полюсами. Например, часть цепи с зажимами и (рис. 1) может быть представлена двухполюсником, который изображают в виде прямоугольника (рис. 2). Если напряжение на разомкнутых зажимах двухполюсника отлично от нуля (в этом случае двухполюсник содержит нескомпенсированные активные элементы), то его называют активным (рис. 3).

Четырёхполюсником называют часть электрической цепи, имеющую две пары зажимов, которые могут быть входными (1 и на рис. 1) или выходными (2 и на рис. 1). Так же как и двухполюсники, четырёхполюсники могут быть пассивными (рис. 4) и активными (рис. 5). Четырёхполюсник является частным случаем многополюсника, под которым понимают часть электрической цепи, имеющую более двух выделенных зажимов.

Основными законами, используемыми для анализа и расчёта электрических цепей, являются первый и второй законы Кирхгофа.

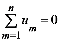
Первый закон Кирхгофа обосновывается более общим законом природы: законом сохранения вещества. Согласно этому закону количество материальных заряженных частиц, подтекающих к узлу электрической цепи, должно быть равно количеству заряженных частиц (того же знака), вытекающих из этого узла за одно и тоже время. Поскольку электрические заряды переносятся исключительно материальными частицами, а электрический ток определяется направленным движением электрических зарядов, то следствием указанных рассуждений и является 1 закон Кирхгофа. Согласно этому закону – алгебраическая сумма токов в ветвях, сходящихся в одном узле равна нулю:

, (1)

где – количество ветвей, сходящихся в данном узле. В выражении (1) токи, направленные к узлу следует брать со знаком плюс, а направленные от узла – со знаком минус.

Второй закон Кирхгофа обосновывается более общим законом природы: законом сохранения энергии. Поясним утверждение:

Как известно из курса физики электрическим потенциалом, применительно к электрической цепи, называется работа сил электрического поля, совершаемая при перемещении единичного положительного заряда из рассматриваемой точки электрической цепи в другую точку этой цепи, потенциал которой принят за нуль, а электрическим напряжением или разностью потенциалов называется работа при перемещении такого же заряда между двумя рассматриваемыми точками электрической цепи. То есть и потенциал, и напряжение, хотя они и измеряются в Вольтах, являются энергетическими характеристиками режима работы электрической цепи.

Электрическое поле является полем потенциальным, т.е. изменение потенциала или напряжения в замкнутом контуре равно нулю. Применительно к электрической цепи это положение называется 2-м законом Кирхгофа. Согласно этому закону алгебраическая сумма напряжений на всех ветвях любого контура цепи равна нулю:

, (2)

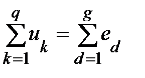
где – число ветвей, входящих в данный контур. При этом под понимают разность потенциалов между началом и концом каждой ветви контура. Если же учесть, что в ветвях могут быть активные элементы, то применительно к схемам замещения с источником ЭДС второй закон Кирхгофа для цепей постоянного тока можно сформулировать таким образом: алгебраическая сумма напряжений на пассивных элементах контура равна алгебраической сумме ЭДС источников, входящих в этот контур:

, (3)

где – число пассивных элементов в контуре (пассивными называют элементы, не предназначенные для выработки электроэнергии, например, такими являются резистивные элементы); – число источников ЭДС в этом контуре.

Для определения знака входящих в (2) и (3) слагаемых вводят понятие направления обхода контура, которое задают произвольно. При этом слагаемое берут со знаком плюс в случае, когда направление обхода контура совпадает с положительным направлением тока или ЭДС, соответственно. В противном случае слагаемые берут со знаком минус.

Анализ и расчёт любой электрической цепи можно провести на основании непосредственного использования обоих законов Кирхгофа. Рассмотрим применение законов Кирхгофа для определения токов ветвей схемы замещения цепи (рис. 6), если сопротивления и ЭДС всех элементов известны.

Рекомендуется следующий порядок составления уравнений по законам Кирхгофа: определяют число ветвей, узлов и независимых контуров. Независимым называют контур, в который входит хотя бы одна новая ветвь. Устанавливают число независимых уравнений по первому закону Кирхгофа, остальные составляют по второму закону Кирхгофа.

Для определения неизвестных токов в ветвях необходимо составить по первому и второму законам Кирхгофа, количество которых должно быть равно количеству неизвестных токов, то есть количеству ветвей. По первому закону Кирхгофа можно составить независимых уравнений, где – количество потенциальных узлов цепи. Использовать все уравнений невозможно, так как одно из них обязательно будет зависимым. Это связано с тем, что токи ветвей войдут в уравнения, составленные для всех узлов, дважды, причём с разными знаками, поскольку один и тот же ток направлен от одного узла (имеет знак минус в уравнении) к другому узлу (имеет знак плюс). При сложении всех уравнений левая и правая части будут равны нулю, а это означает, что одно из уравнений можно получить суммированием уравнений и заменой знаков всех токов на противоположные. Таким образом, – е уравнение всегда будет зависимым и поэтому использовать его для определения токов нельзя.

Схема замещения электрической цепи (рис. 6) имеет пять ветвей и три узла, поэтому по первому закону Кирхгофа для неё можно составить два независимых уравнения, например

для узла 1

, (4)

для узла 2

. (5)

Количество уравнений, составленных по второму закону Кирхгофа, должно быть равно количеству независимых контуров.

Для схемы цепи (рис. 6) надо составить три уравнения по второму закону Кирхгофа для трёх независимых контуров. Примем направление обхода по часовой стрелке (указано круглыми стрелками). Тогда

для контура 1

; (6)

для контура 2

; (7)

для контура 3

3 . (8)

При составлении уравнений (6) – (8) со знаком плюс записаны те слагаемые, в которых ток и ЭДС имеют направления, совпадающие с направлением обхода контура.

Решая систему уравнений (4) – (8), можно определить все пять неизвестных токов. Если в результате решения этих уравнений получаются отрицательные значения токов, то это значит, что истинные направления токов в ветвях цепи противоположны тем направлениям, для которых составлялись уравнения.

Правильность расчёта токов в ветвях электрической цепи может быть проверена с помощью уравнения баланса мощностей источников и приёмников электрической цепи (энергетического баланса). Баланс мощностей непосредственно вытекает из закона сохранения энергии и гласит: В любой электрической цепи, в один и тот же момент времени арифметическая сумма мощностей на всех элементах, вырабатывающих электроэнергию (суммарная генерируемая мощность), равна арифметической сумме мощностей на всех приемниках.

. (9)

Если рассматривать мощность как работу, совершаемую в единицу времени, то с точки зрения электрической цепи формулу (9) можно интерпретировать как количество энергии вырабатываемой источниками в единицу времени (левая часть равенства) и количество энергии, потребляемой в единицу времени (правая часть равенства). Как видно нарушение равенства (9) «в любую сторону» противоречит закону сохранения энергии.

Если имеем цепь постоянного тока, то формулу (9) можно конкретизировать и развернуть применительно к схеме замещения цепи с источниками ЭДС

 

. (10)

 

Левая часть (10) характеризует выражение для определения мощности на каждом генераторе с последующим арифметическим суммированием (только со знаком «плюс») мощностей всех генераторов цепи. Первое слагаемое в левой части представляет собой арифметическую сумму мощностей на всех «полезных приемниках» цепи, под которыми понимают совокупность потребителей «ради которых создана эта цепь». В бытовом смысле это холодильники, стиральные машины, пылесосы, телевизоры и т. д. Они потребляют электроэнергию, но в то же время совершают «полезное» для нас, какое либо действие. Второе слагаемое в правой части (10) представляет собой арифметическую сумму потерь мощности на внутренних сопротивлениях источников и сопротивлении соединительных проводов. Оно характеризует бесполезные затраты энергии при ее передачи от источника к потребителю. Многие замечали, как разогревается автомобильный аккумулятор при длительной работе или вилка мощного квартирного потребителя, вставленная в розетку. Это примеры бесполезных затрат электроэнергии, которые учитывает второе слагаемое. Третье слагаемое представляет собой арифметическую сумму мощностей на всех источниках, работающих в режиме потребителя. Например, в таком режиме работают аккумуляторы во время подзарядки.

Законы Кирхгофа формируют линейные уравнения относительно токов (4) – (8), а баланс мощностей создает алгебраическое нелинейное уравнение (ток входит во второй степени). Оно является дополнительным уравнением к системе (4) – (8) и поэтому часто используется для проверки правильности расчета по уравнениям (4) – (8).

Законы Кирхгофа являются фундаментальными законами и позволяют описать состояние (режим работы) любой сложной цепи. Однако на практике их использование требуется не всегда, поскольку часто встречающиеся простые цепи для своего расчета требуют знания свойств параллельного и последовательного соединения потребителей.

Последовательным называется такое соединение элементов, когда условный конец первого элемента соединяется с условным началом только одного второго, конец второго – с началом только третьего и т. д. Характерным для последовательного соединения является один и тот же ток во всех элементах. Последовательное соединение нашло достаточное применение на практике.

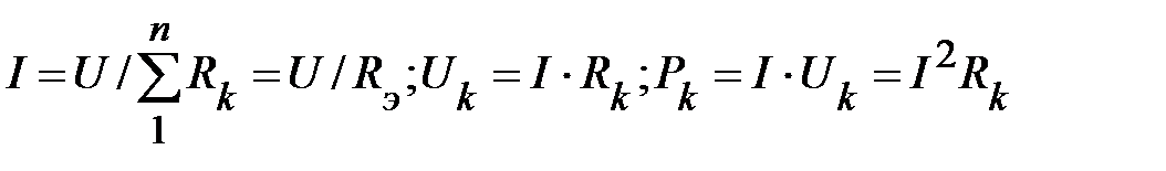
Например, последовательно с приёмником часто включается резистор для регулирования напряжения, тока или мощности приёмника (рис. 7). Для расширения пределов измерения вольтметров последовательно с ними включают добавочные резисторы (рис. 8). С помощью реостата, включаемого последовательно в различные ветви цепи двигателя постоянного тока, производят изменение его пускового тока или частоты вращения. В общем случае, при последовательном соединении резистивных элементов (рис. 9) ток в цепи, напряжения на элементах и потребляемые ими мощности определяются следующими соотношениями

, (10)

где – номер – элемента; – эквивалентное сопротивление последовательного соединения – элементов; – ток в последовательной цепи. Напряжение и мощность всей цепи

. (11)

Соотношение между напряжениями, мощностями и сопротивлениями – го и – го – элементов

(12)

С помощью приведённых формул нетрудно выяснить характер изменения тока, напряжений и мощностей при изменении значений сопротивлений или числа включённых резистивных элементов. Например, если увеличить число элементов, то эквивалентное сопротивление возрастёт, а ток, напряжения и мощности ранее включённых элементов уменьшаются; уменьшается также и общая мощность.

Самостоятельные приёмники электрической энергии последовательно, как правило, не соединяются, так как при этом требуется согласование номинальных данных приёмников, исключается возможность независимого их включения и отключения, а при выходе из строя одного из приёмников отключаются также остальные приёмники. Чаще их включают параллельно.

Параллельным называется соединение элементов цепи или схемы только между двумя потенциальными узлами (рис. 10). Характерным для параллельного соединения является одно и то же напряжение на выводах всех элементов, соединенных параллельно. Параллельно соединяются обычно различные приёмники электрической энергии и другие элементы электрических цепей, рассчитанных на одно и то же напряжение. При параллельном соединении не требуется согласовывать номинальные данные приёмников, возможно включение и отключение любых приёмников независимо от остальных, а при выходе из строя какого-либо приёмника это не влияет на режим работы остальных потребителей.

Параллельное соединение применяется часто для расширения пределов измерения амперметров (рис. 11): если ток в электрической цепи превышает номинальный ток амперметра, параллельно с ним включают шунтирующий резисстор . Нередко параллельное соединение используют для уменьшения эквивалентного сопротивления какого-либо участка электрической цепи.

Токи и мощности параллельно соединённых ветвей (рис. 10) при не зависят друг от друга и определяются по формулам:

(13)

Ток и мощность всей цепи

; (14)

, (15)

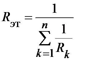
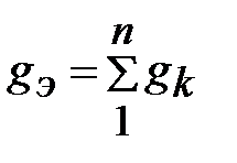
где – эквивалентная проводимость; – эквивалентное сопротивление, которое также можно определить по формуле

. (16)

Соотношение между токами, мощностями, проводимостями и сопротивлениями для – го и – го – элементов

.

При увеличении числа параллельно соединённых ветвей эквивалентная проводимость электрической цепи возрастает, а эквивалентное сопротивление соответственно уменьшается. Это приводит к увеличению тока . Если напряжение остаётся постоянным, то увеличивается также общая мощность ; токи и мощности ранее включённых ветвей не изменяются.

Расчет простых цепей часто сводится к использованию закона Ома, который является следствием законов Кирхгофа. Однако использование закона Ома для простых цепей упрощает получение результата. Поэтому закон Ома имеет самостоятельное значение. Если в ветви включен только один – элемент, то связь между током и напряжением на этом элементе определяется «упрощенным» законом Ома

.

Часто в ветвь включают несколько R – элементов и несколько источников ЭДС. Соотношение, устанавливающее связь между током в ветви и напряжением на ней, называется обобщенным законом Ома (законом Ома для ветви). Рассмотрим вывод формулы на примере схемы (рис. 12). Эта схема представляет собой участок с последовательным соединением резистивных элементов и источников ЭДС. Наша цель – установить зависимость между током и напряжением . Видоизменим эту схему, как показано на рис. 13., зададимся направлением обхода и составим уравнение по второму закону Кирхгофа для указанного участка цепи, как для контура. Получим

 

, (17)

откуда

(18)

Соотношение (18) представляет собой обобщённый закон Ома для рассматриваемого участка цепи с источником ЭДС. В общем случае в ветви может быть включено резистивных элементов и источников ЭДС. Тогда форма этого закона также примет общий вид

 

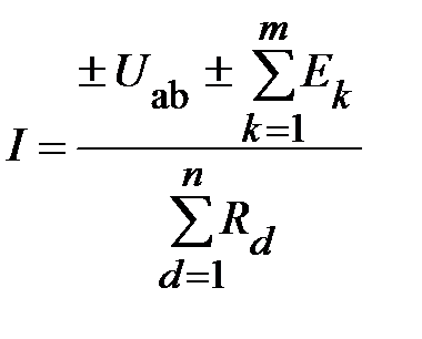
, (19)

где – алгебраическая сумма ЭДС источников, включённых в этот участок (в ветвь); – арифметическая сумма сопротивлений, резистивных элементов, включённых в этот участок. Если направление тока совпадает с положительным направлением источника ЭДС, то в (19) указанная ЭДС берётся со знаком плюс, в противном случае – со знаком минус. Аналогично определяется знак .

На практике, используя обобщённый закон Ома, можно определить ЭДС и внутреннее сопротивление источника с помощью экспериментальных данных (при этом полагается, что линейное). Для этого собирают электрическую цепь (рис. 14) и проводят эксперимент: определяют показания вольтметра (напряжение ) и амперметра А (ток в цепи ) при замкнутом () и разомкнутом () ключе К. На основании соотношения (19)

 

, (20)

так как . Для второго опыта (ключ замкнут):

,

откуда

. (21)

Таким образом, определяя на основании первого опыта (по показанию вольтметра) ЭДС источника , с помощью второго опыта (по показаниям вольтметра и амперметра) по соотношению (21) определяют внутреннее сопротивление источника.

 




Поделиться с друзьями:


Дата добавления: 2015-05-06; Просмотров: 596; Нарушение авторских прав?; Мы поможем в написании вашей работы!


Нам важно ваше мнение! Был ли полезен опубликованный материал? Да | Нет



studopedia.su - Студопедия (2013 - 2026) год. Все материалы представленные на сайте исключительно с целью ознакомления читателями и не преследуют коммерческих целей или нарушение авторских прав! Последнее добавление




Генерация страницы за: 0.014 сек.