Студопедия

КАТЕГОРИИ:


Архитектура-(3434)Астрономия-(809)Биология-(7483)Биотехнологии-(1457)Военное дело-(14632)Высокие технологии-(1363)География-(913)Геология-(1438)Государство-(451)Демография-(1065)Дом-(47672)Журналистика и СМИ-(912)Изобретательство-(14524)Иностранные языки-(4268)Информатика-(17799)Искусство-(1338)История-(13644)Компьютеры-(11121)Косметика-(55)Кулинария-(373)Культура-(8427)Лингвистика-(374)Литература-(1642)Маркетинг-(23702)Математика-(16968)Машиностроение-(1700)Медицина-(12668)Менеджмент-(24684)Механика-(15423)Науковедение-(506)Образование-(11852)Охрана труда-(3308)Педагогика-(5571)Полиграфия-(1312)Политика-(7869)Право-(5454)Приборостроение-(1369)Программирование-(2801)Производство-(97182)Промышленность-(8706)Психология-(18388)Религия-(3217)Связь-(10668)Сельское хозяйство-(299)Социология-(6455)Спорт-(42831)Строительство-(4793)Торговля-(5050)Транспорт-(2929)Туризм-(1568)Физика-(3942)Философия-(17015)Финансы-(26596)Химия-(22929)Экология-(12095)Экономика-(9961)Электроника-(8441)Электротехника-(4623)Энергетика-(12629)Юриспруденция-(1492)Ядерная техника-(1748)

Расчет каскада по переменному току в области средних частот




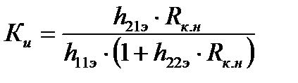
Коэффициент усиления по напряжению усилительного каскада в области средних частот без отрицательной ОС равен:

(1.17)

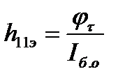
Входное сопротивление транзистора без ОСС, которое зависит от тока базы покоя:

 

(1.18)

- «температурный» потенциал.

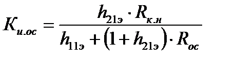
Резистор создает в схеме последовательную отрицательную ОС по току. Глубина ОСС определяется «петлевым усилением», равным раз:

- снижает усиление ,

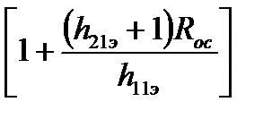
- увеличивает входное сопротивление транзистора,

Изм.
Лист
№ докум.
Подпись
Дата
Лист
 
КГСХА.2.12.110302.65  
(1.19)

- уменьшает выходную проводимость .

Величину выбирают, исходя из заданного коэффициента усиления :

(1.20)

По формуле (1.18) определим входное сопротивление транзистора без ООС:

Из формулы (1.20) выразим требуемое сопротивление обратной связи:

(1.21)

Выбираем стандартное значение .

Определяем сопротивление резистора:

(1.22)

Округляем сопротивление до стандартного номинала .

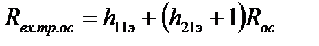
Из выражения (1.19) находим входное сопротивление транзистора:

 

Изм.
Лист
№ докум.
Подпись
Дата
Лист
 
КГСХА.2.12.110302.65  
1.5 Расчет каскада в области низких частот

 

В области низких частот (НЧ) усиление каскада уменьшается из-за влияния разделительных конденсаторов и и шунтирующего конденсатора :

(1.23)

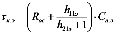
где - постоянная времени усилителя в области НЧ.

Нижняя граничная частота, на которой усиление уменьшается в раз, равна:

(1.24)

определяется постоянными времени трех цепей, в которые входят указанные выше конденсаторы:

(1.25)

Постоянная времени входной цепи:

(1.26)

где - входное сопротивление каскада с учетом влияния базового делителя:

(1.27)

Постоянная времени выходной цепи:

(1.28)

Постоянная времени цепи эмиттера:

(1.29)

Исходя из заданной нижней частоты усилителя определяем требуемую величину постоянной времени (в миллисекундах) из формулы (1.24):

 

Определим значения , и . Целесообразно принять постоянные времени всех цепей одинаковыми:

(1.30)

Вычисляем входное сопротивление усилителя по формуле (1.27):

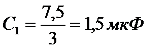
Найдем емкость из формулы (1.26):

Изм.
Лист
№ докум.
Подпись
Дата
Лист
 
КГСХА.2.12.110302.65  

По таблице 1.2 округлим емкость до ближайшего стандартного номинала.

Таблица 1.2 – Стандартные номинальные значения емкостей

1.0 1.5 2.2 3.3 4.7 6.8

 

Ближайший стандартный номинал 1,5, значит .

Находим емкость из формулы (1.28):

По таблице 1.2 округляем до ближайшего стандартного номинала .

Находим емкость из формулы (1.29):

Округляем до ближайшего стандартного значения .

 




Поделиться с друзьями:


Дата добавления: 2015-05-06; Просмотров: 673; Нарушение авторских прав?; Мы поможем в написании вашей работы!


Нам важно ваше мнение! Был ли полезен опубликованный материал? Да | Нет



studopedia.su - Студопедия (2013 - 2025) год. Все материалы представленные на сайте исключительно с целью ознакомления читателями и не преследуют коммерческих целей или нарушение авторских прав! Последнее добавление




Генерация страницы за: 0.01 сек.