Студопедия

КАТЕГОРИИ:


Архитектура-(3434)Астрономия-(809)Биология-(7483)Биотехнологии-(1457)Военное дело-(14632)Высокие технологии-(1363)География-(913)Геология-(1438)Государство-(451)Демография-(1065)Дом-(47672)Журналистика и СМИ-(912)Изобретательство-(14524)Иностранные языки-(4268)Информатика-(17799)Искусство-(1338)История-(13644)Компьютеры-(11121)Косметика-(55)Кулинария-(373)Культура-(8427)Лингвистика-(374)Литература-(1642)Маркетинг-(23702)Математика-(16968)Машиностроение-(1700)Медицина-(12668)Менеджмент-(24684)Механика-(15423)Науковедение-(506)Образование-(11852)Охрана труда-(3308)Педагогика-(5571)Полиграфия-(1312)Политика-(7869)Право-(5454)Приборостроение-(1369)Программирование-(2801)Производство-(97182)Промышленность-(8706)Психология-(18388)Религия-(3217)Связь-(10668)Сельское хозяйство-(299)Социология-(6455)Спорт-(42831)Строительство-(4793)Торговля-(5050)Транспорт-(2929)Туризм-(1568)Физика-(3942)Философия-(17015)Финансы-(26596)Химия-(22929)Экология-(12095)Экономика-(9961)Электроника-(8441)Электротехника-(4623)Энергетика-(12629)Юриспруденция-(1492)Ядерная техника-(1748)

Построение диаграмм напряжений и токов




Построим в координатах динамическую линию нагрузки, которая связывает колебания напряжения коллектор-эмиттер с колебаниями тока коллектора:

(1.34)

и выходную характеристику, соответствующую току базы покоя:

(1.35)

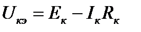
Точка покоя О находится на пересечении этих линий и статической линии нагрузки:

(1.36)

Выбираем амплитуду колебаний тока базы .

Строим графики еще двух выходных характеристик:

- для минимального тока базы

Изм.
Лист
№ докум.
Подпись
Дата
Лист
 
КГСХА.2.12.110302.65  
(1.37)

- для максимального тока базы:

(1.38)

Определяем на графике динамической линии нагрузки координаты точек 1 и 2. Находим по этому графику амплитуду тока коллектора и амплитуду переменной составляющей напряжения на коллекторе и . В нашем случае ,

Рисунок 1.2 – Графики статической и динамической линии нагрузки

 

 

Вычисляем амплитуды входного напряжения и переменной составляющей напряжения база-эмиттер:

(1.39)

Изм.
Лист
№ докум.
Подпись
Дата
Лист
 
КГСХА.2.12.110302.65  

(1.40)

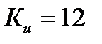
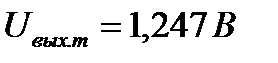
По динамической линии нагрузки и построенным диаграммам определяем значение амплитуды выходного напряжения , вычисляем коэффициент усиления:

(1.41)

Сравниваем его с заданной величиной . Расхождение равно 1 %.

Изображаем временные диаграммы:

Рисунок 1.3 – Диаграмма напряжения на входе каскада

Рисунок 1.4 – Диаграмма напряжения на эмиттерном переходе

Рисунок 1.5 – Диаграмма тока базы

Изм.
Лист
№ докум.
Подпись
Дата
Лист
 
КГСХА.2.12.110302.65  
Рисунок 1.6 – Диаграмма тока коллектора

Рисунок 1.7 – Диаграмма напряжения коллектор-эмиттер

Рисунок 1.8 – Диаграмма выходного напряжения

 

 




Поделиться с друзьями:


Дата добавления: 2015-05-06; Просмотров: 895; Нарушение авторских прав?; Мы поможем в написании вашей работы!


Нам важно ваше мнение! Был ли полезен опубликованный материал? Да | Нет



studopedia.su - Студопедия (2013 - 2025) год. Все материалы представленные на сайте исключительно с целью ознакомления читателями и не преследуют коммерческих целей или нарушение авторских прав! Последнее добавление




Генерация страницы за: 0.01 сек.