Студопедия

КАТЕГОРИИ:


Архитектура-(3434)Астрономия-(809)Биология-(7483)Биотехнологии-(1457)Военное дело-(14632)Высокие технологии-(1363)География-(913)Геология-(1438)Государство-(451)Демография-(1065)Дом-(47672)Журналистика и СМИ-(912)Изобретательство-(14524)Иностранные языки-(4268)Информатика-(17799)Искусство-(1338)История-(13644)Компьютеры-(11121)Косметика-(55)Кулинария-(373)Культура-(8427)Лингвистика-(374)Литература-(1642)Маркетинг-(23702)Математика-(16968)Машиностроение-(1700)Медицина-(12668)Менеджмент-(24684)Механика-(15423)Науковедение-(506)Образование-(11852)Охрана труда-(3308)Педагогика-(5571)Полиграфия-(1312)Политика-(7869)Право-(5454)Приборостроение-(1369)Программирование-(2801)Производство-(97182)Промышленность-(8706)Психология-(18388)Религия-(3217)Связь-(10668)Сельское хозяйство-(299)Социология-(6455)Спорт-(42831)Строительство-(4793)Торговля-(5050)Транспорт-(2929)Туризм-(1568)Физика-(3942)Философия-(17015)Финансы-(26596)Химия-(22929)Экология-(12095)Экономика-(9961)Электроника-(8441)Электротехника-(4623)Энергетика-(12629)Юриспруденция-(1492)Ядерная техника-(1748)

Решение уравнений и неравенств, содержащих модуль числа




Пример 3.

Пример 2.

Пример 1.

Геометрический смысл модуля

Модуль числа — это расстояние от нуля до данного числа.

Например, |-5| = 5. То есть расстояние от точки -5 до нуля равно 5.

Рассмотрим простейшее уравнение |x| = 3. Мы видим, что на числовой прямой есть две точки, расстояние от которых до нуля равно трём. Это точки 3 и -3. Значит, у уравнения |x| = 3 есть два решения: x = 3 и x = -3.

|x — 3| = 4.

Это уравнение можно прочитать так: расстояние от точки до точки равно . С помощью графического метода можно определить, что уравнение имеет два решения: и .

Решим неравенство: |x + 7| < 4.

Можно прочитать как: расстояние от точки до точки меньше четырёх. Ответ: (-11; -3).

Решим неравенство: |10 — x| ≥ 7.

Расстояние от точки 10 до точки больше или равно семи. Ответ: (-∞; 3]υ [17, +∞)

График функции y = |x|

Для x≥ 0 имеем y = x. Для x < 0 имеем y = -x.

При решении задач, содержаних модуль вещественного числа, основным приемом является раскрытие знака модуля в соответствии с его свойствами.

Таким образом, если под знаком модуля стоит выражение, зависящее от переменной, мы раскрываем модуль по определению:

В некоторых случаях модуль раскрывается однозначно. Например: , так как выражение под знаком модуля неотрицательно при любых и . Или , так как выражением под модулем не положительно при любых .

Билет№7: Алгоритм освобождения от знака модуля.

1. Прировнять выражения стоящих под знаком, т. е. найти нули модуля, решив полученные уравнения.

2. Расположить в порядке возрастания нули модулей на числовой прямой, которые разобьют ее на интервалы.

3. Определить знак выражения, стоящего под знаком модуля в каждом интнрвале.

4. Если выражение под знаком модуля положительное, то убирая модуль, знак, стоящий перед выражением, необходимо сохранить. Если выражение отрицатольное, то убирая модуль, необходимо знак, стоящий перед выражением, изменить на противоположный.

Билет№8: Методы решения уравнений (неравенств) содержащих знак модуля.

1. Метод возведения обоих частей уравнения в квадрат. Этот метод применяется в том случае если обе части уравнения положительные при любых значениях, например |x+2|=3.

2. Универсальный метод заключается в том, что необходимо найти нули модуля и отметить на координатной прямой полученные точки. Определить знак модуля в каждом интервале, решить уравнения в каждом интервале.

Билет№9: Решение неравенств методом интнрвалов.

План решения неравенства методом интервалов.

Переносим все члены неравенства в одну сторону (например, влево)

Не производя абсолютно никаких преобразований, находим область определения функции стоящей в левой части неравенства, после чего в области определения функции с целью упрощения допускается выполнение тождественных преобразований.

Находим нули функций.

Рисуем пунктиром числовую ось, после чего сплошной линией обводим промежутки оси, принадлежащие области определения функции. На них точки, в которых функция терпит разрыв, отмечаем “пустыми” (не заштрихованными), отмечаем на оси нули (корни) функции:

- “пустыми” (не заштрихованными), точками, если неравенство строгое полными (черными), заштрихованными точками, если неравенство не строгое.

Определяем знак функции на каждом из полученных интервалов (например,
подстановкой в выражении функции какого-либо значения из соответствующего интервала).

выбираем для ответа нужные интервалы в соответствии со знаком неравенства.

Записываем ответ.

Билет№10: Функция y=sinx. График, свойства.

y = sin x

график - синусоида

Свойства функции

  • Область определения: R
  • Область значений: [-1; 1]
  • Четность, нечетность: функция нечетная
  • Нули: sin x = 0 при x = πn, n Z
  • Промежутки знакопостоянства:

    sin x > 0 при x (2 π n; n + 2 π n), n Z
    sin x < 0 при x (- π + 2 π n; 2 π n), n Z
  • Экстремумы:
    xmin = + 2 π n, n Z; ymin = -1
    xmax = + 2 π n, n Z; ymin = 1
  • Промежутки монотонности:

  • Функция переодическая с наименьшим положительным периудом 2 π

 

Билет№11: Функция y=cosx. График, свойства.

y = cos x

график - косинусоида

Свойства функции

  • Область определения: R
  • Область значений: [-1; 1]
  • Четность, нечетность: функция четная
  • Период: 2
  • Нули:
  • Промежутки знакопостоянства:

  • Экстремумы:
    x min = + 2 n, n Z; ymin = -1
    x max = 2 n, n Z; ymin = 1
  • Промежутки монотонности:

    < LI>

Преобразования графиков y = sinx и y = cosx:
Графики функций y = sinx и y = cosx можно получить друг из друга путем параллельных переносов
вдоль оси x на /2:

<>

Билет№12: Функция y=tgx. График, свойства.

y = tg x

график - тангенсоида

Свойства функции

  • Область определения: объединение интервалов
  • Область значений: R
  • Четность, нечетность: функция нечетная
  • Период:
  • Нули: y = 0 при x = n, n Z
  • Промежутки знакопостоянства:

  • Экстремумов нет
  • Промежутки монотонности:
    функция возрастает на каждом интервале области определения
  • Асимптоты: x = + n, n Z

Билет№13: Функция y=сtgx. График, свойства.

y = ctg x

график - катангенсоида

Свойства функции

  • Область определения: объединение интервалов
  • Область значений: R
  • Четность, нечетность: функция нечетная
  • Период:
  • Нули:
  • Промежутки знакопостоянства:

  • Экстремумов нет
  • Промежутки монотонности:
    функция убывает на каждом интервале области определения
  • Асимптоты: x = n, n Z

Преобразования графика y = ctgx:
График функци y = ctgx получается из графика у =tgx путем отражения относ. любой из координатныхосей и последующим параллельным переносом вдоль оси x на /2.

Билет№14: Определение тригонометрических функций по окружности и по треугольнику.

Синус угла — отношение противолежащего катета к гипотенузе: Это отношение не зависит от выбора треугольника ABC, содержащего угол α, так как все такие треугольники подобны.
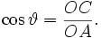
Косинус угла — отношение прилежащего катета к гипотенузе: Так как синус одного острого угла в треугольнике равна косинусу второго, и наоборот.
Тангенс угла — отношение противолежащего катета к прилежащему:
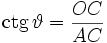
Котангенс угла — отношение прилежащего катета к противолежащему:

По окружности:

Так как длина отрезка OA равна 1, то

Косинусом угла называется отношение абсциссы точки A к длине отрезка OA. Обозначают Так как длина отрезка OA равна 1, то

Тангенсом угла называется отношение ординаты точки A к абсциссе точки A. Обозначают (в англоязычной литературе Так как и то

Котангенсом угла называется отношение абсциссы точки A к ординате точки A. Обозначают Так как и то Котангенс равен обратному значению тангенса.

 

Билет №15: y=arccos, y=arcsin определение, свойства.

1.Функция y = arcsin х.

Арксинусом числа m называется такое значение угла x, для которого

Функция y = sin x непрерывна и ограничена на всей своей числовой прямой. Функция y = arcsinx является строго возрастающей.

  • при
  • при
  • (область определения),
  • (область значений).

 

Свойства функции arcsin:

  • (функция является нечётной).
  • при .
  • при x = 0.
  • при




Поделиться с друзьями:


Дата добавления: 2015-04-24; Просмотров: 1869; Нарушение авторских прав?; Мы поможем в написании вашей работы!


Нам важно ваше мнение! Был ли полезен опубликованный материал? Да | Нет



studopedia.su - Студопедия (2013 - 2025) год. Все материалы представленные на сайте исключительно с целью ознакомления читателями и не преследуют коммерческих целей или нарушение авторских прав! Последнее добавление




Генерация страницы за: 0.007 сек.