Студопедия

КАТЕГОРИИ:


Архитектура-(3434)Астрономия-(809)Биология-(7483)Биотехнологии-(1457)Военное дело-(14632)Высокие технологии-(1363)География-(913)Геология-(1438)Государство-(451)Демография-(1065)Дом-(47672)Журналистика и СМИ-(912)Изобретательство-(14524)Иностранные языки-(4268)Информатика-(17799)Искусство-(1338)История-(13644)Компьютеры-(11121)Косметика-(55)Кулинария-(373)Культура-(8427)Лингвистика-(374)Литература-(1642)Маркетинг-(23702)Математика-(16968)Машиностроение-(1700)Медицина-(12668)Менеджмент-(24684)Механика-(15423)Науковедение-(506)Образование-(11852)Охрана труда-(3308)Педагогика-(5571)Полиграфия-(1312)Политика-(7869)Право-(5454)Приборостроение-(1369)Программирование-(2801)Производство-(97182)Промышленность-(8706)Психология-(18388)Религия-(3217)Связь-(10668)Сельское хозяйство-(299)Социология-(6455)Спорт-(42831)Строительство-(4793)Торговля-(5050)Транспорт-(2929)Туризм-(1568)Физика-(3942)Философия-(17015)Финансы-(26596)Химия-(22929)Экология-(12095)Экономика-(9961)Электроника-(8441)Электротехника-(4623)Энергетика-(12629)Юриспруденция-(1492)Ядерная техника-(1748)

Анализ динамики ВВП РФ с 2007 г. по 2010 г. 1 страница




Проанализируем динамику ВВП РФ с 2007 г. по 2010 г.

Таблица 1. Динамика макроэкономических показателей РФ (к предыдущему году)

           
ВВП млрд. руб.        
  % к пред. пер. 8,5 5,2 -7,8 4,0
Промышленное производство % к соотв. пер. пред. года 6,8 0,6 -9,3 8,2
Инвестиции в основной капитал % к соотв. пер. пред. года 22,7 9,9 -16,2 6,0
Реальные доходы населения % к соотв. пер. пред. года 12,1 2,3 2,1 4,1
Инфляция % к пред. пер. 11,9 13,3 8,8 8,8
Безработица % экон. актив. нас. 6,1 6,4 8,4 7,5
Федеральный бюджет          
доходы млрд. руб.        
  % ВВП 23,4 22,5 18,9 18,7
профицит млрд. руб.     -2300 -1812
  % ВВП 5,4 4,1 -5,9 -4,1
Консолидированный бюджет          
доходы млрд. руб.        
  % ВВП 40,2 38,8 34,6  
профицит млрд. руб.     -2427  
  % ВВП 6,0 4,9 -6,3  
Стабилизационный фонд млрд. руб.        
Резервный фонд млрд. руб.        
Фонд национального благосостояния млрд. руб.        
Цена нефти Urals долл./барр. 68,9 94,8 60,4 77,9
Экспорт млрд. долл. 354,4 471,6 303,4 398,0
  % ВВП 27,3 28,4 24,8 27,2
Импорт млрд. долл. 223,5 291,9 191,8 248,8
  % ВВП 17,2 17,5 15,7 17,0
Золотовалютные резервы млрд. долл. 478,8 427,1 439,0 479,4
  мес. импорта 20,4 14,0 20,8 22,7
Денежная масса M2 % к соотв. пер. пред. года 47,5 1,7 16,3 28,5
Обменный курс (средний за период) руб./долл. 25,6 24,8 31,7 30,4
Индекс реального курса рубля к $ % к пред. пер. 15,0 -0,2 -0,4 4,0
  дек 1997 г. = 100% 130,6 129,1 128,7 133,5
Внешний долг РФ млрд. долл. 463,9 480,5 467,2 483,0
  % ВВП 35,8 28,9 37,9 33,0

Как видно из приведенных выше стат. данных макроэкономических показателей РФ с 2008 года наблюдается снижение темпов роста ВВП (с 8,5% до 5,2%), особенно резкое его снижение произошло в 2009 г. (с 5,2% до -7,8%). Такое низкое значение данного показателя вызвано в первую очередь пагубным влиянием мирового экономического кризиса, явные признаки которого были видны уже в начале 2008 года. Но не смотря на это российская экономика уже в 2010 году дала положительный прирост в размере 11,8%. Мировой кризис в первую очередь был связан с кризисом финансовой системы. Российская экономика имеет связи с большинством стран мира в сфере торговых отношений. Это в свою очередь и повлияло на резкое снижение темпов роста ВВП в 2009 году. В этом году экспортные операции большинства российских предприятий резко сократились (с 471,6 млрд. долл. до 303,4 млрд. долл.) и по сути производство стало работать на склад.

Плюс ко всему кризис имеет определенный временной лаг воздействия на экономику, поэтому он и отразился с небольшим запозданием (предпосылки зарождающегося кризиса наблюдались уже с конца 2007 г.).

По итогам 2009 года не выполнено большинство прогнозных показателей социально-экономического развития России.

Главным образом, темп роста ВВП в 2009 году прогнозировалось обеспечить за счет увеличения объема производства в ведущих отраслях экономики: промышленности, строительстве, торговле.

 

 

Вопрос №3.

§5. Эффективность развития экономики

Экономическая эффективность характеризуется соотношением результатов экономической деятельности и затрат факторов произ­водства, связанных с достижением этих результатов. Критерий эко­номической эффективности может быть выражен в двух вари­антах:

1) достижение максимально возможного результата при пол­ном использовании имеющихся факторов производства (таким пу­тем шли бывшие социалистические страны и СССР);

2) достижение заранее зафиксированного результата с мини­мальными затратами производственных факторов (этот путь явля­ется характерным для стран с развитой рыночной экономикой).

Для статистического изучения эффективности развития эконо­мики производят оценку темпов экономического роста (по валово­му национальному продукту) и производительности труда.

Номинальные и реальные показатели экономического роста

Номинальный ВНП рассчитывается в ценах текущего года, а реальный ВНП — в сопоставимых ценах (то есть постоянных, ба­зисных ценах), что дает возможность оценить изменения физичес­кого объема выпуска за определенный период времени. На величи­ну номинального ВНП оказывают влияние такие факторы, как:

• динамика реального объема производства;

• динамика уровня цен.

Реальный ВНП рассчитывается с помощью корректировки но­минального ВНП индексом цен по следующей формуле:

Номинальный ВНП

Реальный ВНП = (161)

Индекс цен

Если величина индекса цен меньше единицы, то для получе­ния реального ВНП проводится корректировка номинального ВНП в сторону увеличения, которая называется инфлированием. Если величина индекса цен больше единицы, то происходит дефлирование — корректировка номинального ВНП в сторону снижения. Индексы цен используются для оценки изменения темпов инфля­ции и динамики стоимости жизни. Индекс потребительских цен пока­зывает изменение среднего уровня цен (потребительской корзины) товаров и услуг, обычно потребляемых средней городской семьей. Со­став потребительской корзины фиксируется на уровне базисного года.

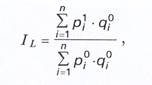
Индекс потребительских цен рассчитывается по типу индекса Ласпейреса, то есть индекса цен с базисными весами (для набора продуктов и услуг базисного года) по следующей формуле:

 


Этот индекс не учитывает изменения в структуре весов в теку­щем периоде по сравнению с базисным, т.е. не учитывает измене­ния в структуре потребления в текущем периоде, например замену более дорогих благ более дешевыми в условиях роста цен, искажая таким образом результаты. Следовательно, если в качестве оценоч­ного показателя использовать индекс потребительских цен, то это приводит к завышению показателя роста стоимости жизни.

Индекс цен — неявный дефлятор ВНП. Он рассчитывается по типу индекса Пааше, то есть индекса, где в качестве весов исполь­зуется набор благ текущего периода:

 

 

Если вместо q мы подставим весь набор благ, представленных ВНП, а вместо р соответственно их цены, то получим дефлятор ВНП. Фактически он равен отношению номинального ВНП к ре­альному в текущем периоде:

В отличие от индекса Ласпейреса индекс Пааше занижает пока­затель роста цен в экономике, поскольку не учитывает динамику структуры весов, фиксируя структуру в текущем периоде.

Оценка роста стоимости жизни с помощью этого индекса не будет учитывать влияние на потребителей повышения цен на те блага, которые присутствовали в наборе базисного периода, но отсутствуют в наборе текущего года.

Следующий индекс — индекс Фишера нивелирует недостатки обоих индексов, рассмотренных выше. Усредняя их значение, он дает наиболее достоверную оценку роста стоимости жизни по сле­дующей формуле:

 

Темпы экономического роста

Под экономическим ростом обычно понимают увеличение ре­ального дохода в экономике, объема ВНП, ВВП или НД либо рост реального выпуска продукции всех отраслей в расчете на душу населения. Для измерения экономического роста используются по­казатели абсолютного прироста или темпов прироста реального объе­ма выпуска в целом или на душу населения по формуле:

Экономический рост называется экстенсивным, если он осуще­ствляется за счет привлечения дополнительных ресурсов и не меняет среднюю производительность труда в обществе. Интенсивный рост связан с применением более современных факторов производства и технологий, т.е. осуществляется не за счет привлечения дополни­тельных ресурсов, а за счет их большей отдачи — более эффектив­ного их использования. В зависимости от удельного веса тех или иных факторов, вызвавших экономический рост, говорят о преиму­щественно интенсивном или экстенсивном типе развития страны.

Факторы экономического роста группируются в соответствии с типами экономического роста. К экстенсивным факторам относят рост затрат капитала и труда (для менее развитых стран особенно важными факторами экономического роста являются земля или природные ресурсы). К интенсивным факторам относят технологи­ческий прогресс, экономию за счет масштабов производства, рост профессионального и образовательного уровня работников, повы­шение мобильности и улучшение распределения ресурсов, совер­шенствование управления производством, законодательства и т.д., то есть все, что позволяет качественно усовершенствовать как сами факторы производства, так и процесс их использования. Причина­ми, сдерживающими экономический рост, являются ресурсные и экономические ограничения, а также широкий спектр социальных издержек.

Производительность труда

С 1992 г. российская статистика переориентировалась на систему показателей производительности труда, принятую в международ­ной практике, которая строится на базе теории факторов произ­водства. Согласно этой теории производительность труда рассмат­ривается как частный показатель производительности, поскольку затраченный живой труд является лишь одним из факторов произ­водства, значение которого с развитием технического прогресса снижается.

Как известно, выпускаемая продукция может быть измерена в натуральных, условно-натуральных и стоимостных показателях. Если для определения уровня и динамики производительности исполь­зуются натуральные или условно-натуральные показатели выпуска продукции, то их сопоставляют только с затратами живого труда (например, в отраслях экономики, выпускающих однородную про­дукцию, и для международных сопоставлений этих уровней).

 

Вопрос № 4.

§6. Эффективность предприятия

В рыночной экономике известная прежде система показателей рентабельности (различные соотношения прибыли и затраченных средств) занимает не главное место в оценке эффективности, ко­торая требует следующих характеристик:

1) финансового положения;

2) платежеспособности;

3) эффективности активов;

4) эффективности использования капитала;

5) рентабельности;

6) эффективности использования персонала.

Оценка эффективности работы предприятия производится по данным его баланса.

Показатели финансового положения

1) Коэффициент собственности:

Показывает, насколько средства предприятия реально ему при­надлежат — другими словами, отражает соотношение собственного капитала к стоимости активов и пассивов баланса. Размер коэффи­циента собственности предприятия ниже 50% говорит о высоком риске для его кредиторов (в российской практике он, как прави­ло, составляет 20-35%);

2) Коэффициент самофинансирования:

Показывает, на сколько процентов все операции финансиру­ются за счет полученной прибыли.

3) Коэффициент финансового равновесия:

 

4) Коэффициент финансовой напряженности:

Позволяет оценить положение предприятия на рынке: ниже 50%.— развивающиееся производство, выше 50% — сворачивающееся.

 

Показатели платежеспособности.

5) Коэффициент покрытия:

Показывает размер дохода от каждого вложенного рубля в оборотные активы.

6) Коэффициент ликвидности:

Показывает соотношение краткосрочного долга (до 1 года) и возможность немедленно его покрывать за счет имеющихся лик­видных средств. Понятно, что при коэффициенте ликвидности мень­ше 100% средств не хватает не только на покрытие долга, но и на развитие, т.е. нормальная ситуация при К6 = 100 — 150%.

7) Коэффициент денежных активов:

 

Показывает соотношение краткосрочного долга (до 1 года) с имеющимися денежными средствами; предельное значение — 50%.

8) Размер «работающего капитала»:

9) Коэффициент маневренности:

Показывает, какую долю не скованного краткосрочной задол­женностью, т.е. работающего, капитала предприятие может без уг­розы нарушения обязательств перед кредиторами использовать в своих целях (для торговых предприятий этот коэффициент должен быть в пределах 40%, для остальных — не ниже 10—15%).

Показатели структуры активов

10) Коэффициент соотношения активов:

Позволяет оценить наличие перегрузки основными средствами, как правило, она должна быть в пределах 100% и то лишь для крупных предприятий определенных отраслей машиностроения и др.

11) Коэффициент оборотных активов:

Показывает соотношение средств, затраченных на оборотные активы, с размером общего оборота.

 

12) Коэффициент покрытия основных средств собственным ка­питалом:

Показывает, на сколько процентов основные активы приобре­тены за счет собственных средств.

 

Показатели эффективности использования капитала

 

13) Коэффициент общей капиталоотдачи:

Показывает, сколько оборотов за месяц совершает капитал; если этот коэффициент умножить на 12, то получим показатель коли­чества оборотов капитала за год.

14) Коэффициент общей фондоемкости:

Показывает размер средств, которые надо вложить, чтобы по­лучить 1 рубль выручки за месяц.

15) Скорость оборота капитала в днях:

Показывает, за сколько дней капитал делает один оборот.

16) Средняя норма амортизации:

Показывает, какая часть стоимости основных средств окупает­ся за год.

17) Показатель оборота оборотного капитала:

Показывает количество оборотов за год, совершаемых оборот­ным капиталом.

 

18) Скорость оборота товарных запасов:

Показывает, сколько дней запасы хранятся на складе, или на сколько дней хватит запасов для бесперебойной работы предприятия.

 

19) Скорость оборота дебиторской задолженности:

 

Показывает продолжительность ожидания выручки денег от по­купателей в днях;

20) Скорость оборота кредиторской задолженности:

Показывает средний срок возврата долгов предприятия, или на какой срок ему дают кредит.

21) Показатель эффективности организации оборота капитала:

Показывает, сколько дней рубль бездействует, т.е. «отдыхает» на расчетном счете предприятия.

 

Показатели рентабельности

22) Общая рентабельность:

Операционная прибыль — это прибыль, полученная от реали­зации продукции, работ или услуг до налогообложения.

 

23) Чистая рентабельность собственного капитала:

 

Чистая прибыль есть прибыль после уплаты налогов. Коэффи­циент (195) показывает размер полученной чистой прибыли на каждый вложенный рубль собственного капитала.

24) Чистая рентабельность уставного капитала:

Показывает, сколько чистой прибыли приносит каждый вло­женный рубль уставного капитала.

25) Объявленный дивиденд или норма дивиденда:

Показывает объявленный процент дивидендов.

26) Фактическая норма дивиденда, причитающаяся к выдаче каждому акционеру:

Показывает процент реально полученных акционерами диви­дендов.

27) Рентабельность реализации, т.е. отношение всех вариан­тов прибыли к доходу от реализации:

 

Показатели эффективности использования персонала

 

28) Капиталовооруженность:

Показывает, сколько средств предприятия приходится на каж­дого сотрудника.

 

29) Производительность единицы персонала:

Позволяет оценить вклад каждого работника в реализацию про­дукции, выполнение работ, оказание услуг.

 

Вопрос 5. Показатели счета производства по СНС

Основу расчета валового внутреннего продукта составляет до­бавленная стоимость, которая определяется в счете производства. Счет производства занимает особое место в СНС, так как он явля­ется первым счетом в ряду текущих счетов и методология его пост­роения в значительной степени определяет методологию построе­ния всех последующих счетов. Счет производства отражает опера­ции, относящиеся непосредственно к процессу производства. Он составляется для экономики в целом, ее секторов и отраслей.

В ресурсной части счета производства для отраслей и секторов записывается размер выпуска (производства) товаров и услуг, ко­торый может быть показан с выделением рыночного и нерыночно­го выпуска. В разделе использования отражается промежуточное потребление товаров и услуг, и балансирующая статья — валовая добавленная стоимость.

Можно дать следующие определения системе взаимоувязанных показателей счета производства.

1) Валовой выпуск, под которым понимают общую стоимость материальных благ и услуг, созданных в экономике, как для реа­лизации, так и для собственного потребления. Отраслевые особен­ности расчета валового выпуска можно представить в виде следую­щих формул:

где ВВ — валовой выпуск отраслей материальной сферы;

ГП — стоимость готовой продукции;

НЗ — изменение остатков незавершенного производства и стро­ительства;

РЗ — работы и услуги, выполненные по заказам со стороны;

ПВ – продукция вспомогательных и подсобных хозяйств пред­приятия, реализованная на сторону;

ПФ — полуфабрикаты, реализованные на сторону;

ППФ — прирост полуфабрикатов на складе предприятия;

КР — стоимость капитального ремонта оборудования (в про­мышленности), зданий и сооружений в строительстве;

ГПЗ — стоимость продукции из неоплаченного сырья заказчика;

ВР — выручка от реализации выбывшего имущества и брака.

 

 

 

2) Промежуточное потребление, включающее в себя стоимость материальных благ и услуг, потребленных в процессе производства других материальных благ и услуг.

3) Валовая добавленная стоимость — разность между валовым выпуском и промежуточным потреблением:

 

 

6. Группировка предприятий по секторам и отраслям

Для распределения предприятий по секторам экономики их объе­диняют в следующие группы: нефинансовые предприятия; финан­совые учреждения; органы государственного управления; неком­мерческие организации, обслуживающие домашние хозяйства; до­машние хозяйства (см. Приложение 9).

Сектор «Нефинансовые предприятия» (нефинансовый корпора­тивный сектор) включает резидентные (отечественные) нефинан­совые организации, занятые рыночным производством товаров и нефинансовых услуг, всех форм собственности и организационно-правовых форм (корпорации и квазикорпорации): акционерные общества, товарищества с ограниченной ответственностью, колхо­зы, кооперативы, арендные, совместные, частные предприятия и т. д. Ресурсы этих единиц формируются, главным образом, за счет средств, полученных от продаж товаров и услуг, но они могут покрывать часть издержек за счет субсидий из государственного бюджета.

В этот сектор включаются также:

а) некоммерческие организации, занятые рыночной деятельнос­тью (например, некоммерческие -товарно-сырьевые биржи);

б) некоммерческие организации, обслуживающие предпринимате­лей (торговые палаты, сельскохозяйственные, промышлен­ные и торговые ассоциации и т. п.), основными источниками финансовых ресурсов которых являются отчисления или взно­сы заинтересованных предпринимателей, рассматриваемые как оплата их услуг;

в) хозяйственные общества, созданные некоммерческими органи­зациями для реализации своих уставных задач, часть прибы­ли которых поступает в бюджет некоммерческой организа­ции наряду с платой за консультационные, информацион­ные и другие услуги, оказываемые ее службами по догово­рам, доходами от организации денежно-вещевых лотерей, аукционов и др.

Сектор «Финансовые учреждения» (финансовый корпоратив­ный сектор)включает резидентные финансовые корпорации и ква­зикорпорации, занятые финансовым посредничеством и другими финансовыми услугами на коммерческой основе (банки, страхо­вые учреждения, пенсионные фонды, фондовые биржи, броке­ры, дилеры, инвестиционные компании, инвестиционные фон­ды, трастовые компании, депозитарии и т. п.), ресурсы которых формируются за счет принятых обязательств и полученных про­центов, страховых премий, комиссионных. Например, к сектору финансовых учреждений относится Центральный банк, а также некоммерческие организации, создаваемые и финансируемые фи­нансовыми учреждениями.

Сектор «Органы государственного управления»включает органы государственного управления центрального, регионального и местного уровней; учреждения, финансируемые из государствен­ного бюджета, созданные для оказания нерыночных услуг инди­видуального характера в области здравоохранения, социального обеспечения, образования, культуры и искусства, отдыха и ус­луг коллективного характера в области государственного управ­ления, поддержания порядка и безопасности, обороны, науки и научного обслуживания, шоссейного хозяйства, обслуживания сельского хозяйства и т. п. В этот сектор входят также государ­ственные фонды социального обеспечения, фонды, организуе­мые и контролируемые государством (фонды обязательного ме­дицинского страхования, занятости населения, конверсии, эко­логический и т. п.), ресурсы которых формируются, главным образом, за счет налогов и отчислений, уплачиваемых единица­ми, относящимися к другим секторам, а также за счет доходов от собственности.

Сектор «Некоммерческие организации, обслуживающие домаш­ние хозяйства» (НКО ОДХ)включает все некоммерческие органи­зации-резиденты, за исключением относящихся к перечисленным выше секторам. Их функцией является предоставление товаров и услуг домашним хозяйствам бесплатно или по ценам, не имеющим экономического значения.

Выделяют следующие основные типы некоммерческих органи­заций, обслуживающих домашние хозяйства:

а) организации, созданные для предоставления услуг, главным об­разом их членам, и финансируемые в основном за счет член­ских взносов (профессиональные союзы, политические партии, религиозные общества, добровольные спортивные общества, клубы по интересам и т. п.);

б) благотворительные общества и фонды, предоставляющие то­вары и услуги домашним хозяйствам на нерыночной основе, главным источником финансовых ресурсов для которых слу­жат пожертвования в денежной и натуральной форме;

в) подразделения предприятий, оказывающие социально-культур­ные услуги, в основном работникам этих предприятий и чле­нам их семей, которые рассматриваются как некоммерческие организации, получающие средства в виде трансфертов от предприятия-учредителя, например ведомственные жилища, больницы, поликлиники, клубы, стадионы и т. п.

Сектор «Домашние хозяйства»включает все резидентские до­машние хозяйства. Все они являются потребителями, а некоторые осуществляют производственную деятельность в форме некорпора­тивных предприятий, созданных с целью производства товаров и услуг как для продажи, так и для собственного использования.




Поделиться с друзьями:


Дата добавления: 2015-04-24; Просмотров: 1106; Нарушение авторских прав?; Мы поможем в написании вашей работы!


Нам важно ваше мнение! Был ли полезен опубликованный материал? Да | Нет



studopedia.su - Студопедия (2013 - 2026) год. Все материалы представленные на сайте исключительно с целью ознакомления читателями и не преследуют коммерческих целей или нарушение авторских прав! Последнее добавление




Генерация страницы за: 0.01 сек.