Студопедия

КАТЕГОРИИ:


Архитектура-(3434)Астрономия-(809)Биология-(7483)Биотехнологии-(1457)Военное дело-(14632)Высокие технологии-(1363)География-(913)Геология-(1438)Государство-(451)Демография-(1065)Дом-(47672)Журналистика и СМИ-(912)Изобретательство-(14524)Иностранные языки-(4268)Информатика-(17799)Искусство-(1338)История-(13644)Компьютеры-(11121)Косметика-(55)Кулинария-(373)Культура-(8427)Лингвистика-(374)Литература-(1642)Маркетинг-(23702)Математика-(16968)Машиностроение-(1700)Медицина-(12668)Менеджмент-(24684)Механика-(15423)Науковедение-(506)Образование-(11852)Охрана труда-(3308)Педагогика-(5571)Полиграфия-(1312)Политика-(7869)Право-(5454)Приборостроение-(1369)Программирование-(2801)Производство-(97182)Промышленность-(8706)Психология-(18388)Религия-(3217)Связь-(10668)Сельское хозяйство-(299)Социология-(6455)Спорт-(42831)Строительство-(4793)Торговля-(5050)Транспорт-(2929)Туризм-(1568)Физика-(3942)Философия-(17015)Финансы-(26596)Химия-(22929)Экология-(12095)Экономика-(9961)Электроника-(8441)Электротехника-(4623)Энергетика-(12629)Юриспруденция-(1492)Ядерная техника-(1748)

Вопрос 7




Если в электростатическом поле точечного заряда из точки 1 в точку 2 вдоль произвольной траектории перемещается другой точечный заряд (рис. 1.8), то кулоновская сила , приложенная к заряду, совершает работу. Работа, совершаемая силой на элементарном перемещении равна:

Так как то
Работа при перемещении заряда из точки 1 в точку 2 определяется выражением: (1.10)

т.е. не зависит от траектории перемещения заряда, а определяется только положениями начальной 1 и конечной 2 точек. Следовательно, электростатическое поле точечного заряда является потенциальным, а кулоновские силы – консервативными силами.

 

Из формулы (1.10) следует, что работа, совершаемая при перемещении электрического заряда во внешнем электростатическом поле по любому замкнутому пути L, равна нулю, т.е.

(1.11)

Если в качестве заряда, переносимого в электростатическом поле, взять единичный точечный положительный заряд, то элементарная работа сил поля на перемещении будет равна где проекция вектора на направление элементарного перемещения. Тогда формулу (1.11) можно записать в виде

(1.12)

Этот интеграл называется циркуляцией вектора напряженности. Следовательно, циркуляция вектора напряженности электростатического поля вдоль любого замкнутого контура равна нулю. Силовое поле, обладающее свойством (1.12), является потенциальным. Из обращения в нуль циркуляции вектора следует, что линии напряженности электростатического поля не могут быть замкнутыми: они начинаются и оканчиваются на зарядах (положительных и отрицательных) или же уходят в бесконечность.
Формула (1.12) справедлива только для электростатического поля; для электрического поля движущихся зарядов циркуляция вектора напряженности отлична от нуля.
Тело, находящееся в потенциальном поле сил, в частности, в электростатическом поле, обладает потенциальной энергией, за счет которой силами поля совершается работа.

 

Вопрос 8. Электростатический потенциа́л — скалярная энергетическая характеристика электростатического поля, характеризующая потенциальную энергию поля, которой обладает единичный заряд, помещённый в данную точку поля. Единицей измерения потенциала является, таким образом, единица измерения работы, деленная на единицу измерения заряда (для любой системы единиц; подробнее о единицах измерения - см. ниже).

Электростатический потенциал равен отношению потенциальной энергии взаимодействия заряда с полем к величине этого заряда. Напряжённость электростатического поля E и потенциал связаны соотношением:

.

Здесь — оператор Гамильтона, или набла, то есть в правой части равенства стоит вектор с компонентами, равными частным производным от потенциала по соответствующим координатам, взятый с противоположным знаком

Воспользовавшись этим соотношением и теоремой Гаусса для напряжённости поля , легко увидеть, что электростатический потенциал удовлетворяет уравнению Пуассона. В единицах системы СИ:

где — электростатический потенциал (в вольтах), — объёмная плотность заряда (в кулонах на кубический метр), а — диэлектрическая проницаемость вакуума (в фарадах на метр).

Вопрос 9. Напряженность и потенциал – различные характеристики одной и той же точки поля. Следовательно, между ними должна существовать однозначная связь.
Работа по перемещению единичного точечного положительного заряда из одной точки поля в другую вдоль оси х на элементарное расстояние равна . С другой стороны, эту работу можно выразить через разность потенциалов на концах отрезка , т.е. . Приравнивая оба выражения для работы, получим , откуда

где символ частной производной подчеркивает, что дифференцирование производится только по оси х. Повторив аналогичные рассуждения для осей y и z, можем найти вектор

(1.20) где единичные векторы координатных осей x, y и z (орты).
В математике вектор, показывающий направление наибольшего роста скалярной функции П, называется градиентом (обозначается ). Таким образом, формулу (1.20) можно представить в виде

(1.21)

т.е. напряженность поля равна градиенту потенциала со знаком «минус». Это означает, что вектор напряженности электростатического поля направлен в сторону убывания потенциала. В случае однородного поля (например, поля плоского конденсатора) модуль напряженности определяется по формуле
(1.22) где d – расстояние, разность потенциалов между обкладками конденсатора. Из формулы (1.22) следует, что напряженность электрического поля можно выражать в вольтах на метр (В/м).
Для графического изображения распределения потенциала электростатического поля пользуются эквипотенциальными поверхностями – поверхностями, во всех точках которых потенциал имеет одно и то же значение. Если поле создается точечным зарядом (рис. 1.9), то его потенциал равен Таким образом, эквипотенциальные поверхности в данном случае – концентрические сферы, охватывающие заряд. С другой стороны, линии напряженности поля точечного заряда – радиальные прямые. Следовательно, линии напряженности в случае точечного заряда перпендикулярны эквипотенциальным поверхностям.

Можно доказать, что силовые линии поля всегда нормальны к эквипотенциальным поверхностям. Действительно, все точки эквипотенциальной поверхности имеют одинаковый потенциал, поэтому работа по перемещению заряда вдоль этой поверхности Это означает, что электростатические силы, действующие на заряд, всегда направлены по нормали к эквипотенциальным поверхностям, следовательно, вектор всегда нормален к эквипотенциальным поверхностям и поэтому линии напряженности ортогональны этим поверхностям.
Эквипотенциальных поверхностей вокруг каждого заряда и системы зарядов можно провести бесчисленное множество. Обычно их проводят так, чтобы разности потенциалов между любыми двумя соседними поверхностями были одинаковы. Тогда густота эквипотенциальных поверхностей наглядно характеризует напряженность поля в разных точках: там, где эти поверхности расположены гуще, напряженность поля больше.

 

 

Вопрос 11. Диэлектрик (изолятор) — вещество, плохо проводящее или совсем не проводящее электрический ток. Концентрация свободных носителей заряда в диэлектрике не превышает 108 см-3. Основное свойство диэлектрика состоит в способности поляризоваться во внешнем электрическом поле. С точки зрения зонной теории твердого тела диэлектрик - вещество с шириной запрещенной зоны больше 3 эВ.

Физическим параметром, который характеризует диэлектрик, является диэлектрическая проницаемость. Диэлектрическая проницаемость может иметь дисперсию.

К диэлектрикам относятся воздух и другие газы, стекло, различные смолы, пластмассы непременно сухие. Химически чистая вода также является диэлектриком

Диэлектрики используются не только как изоляционные материалы.

Ряд диэлектриков проявляют интересные физические свойства.

К ним относятся электреты, пьезоэлектрики, пироэлектрики, сегнетоэластики, сегнетоэлектрики, релаксоры и сегнетомагнетики. При применении диэлектриков — одного из наиболее обширных классов электротехнических материалов — довольно четко определилась необходимость использования как пассивных, так и активных свойств этих материалов. Пассивные свойства диэлектрических материалов используются, когда их применяют в качестве электроизоляционных материалов и диэлектриков конденсаторов обычных типов. Электроизоляционными материалами называют диэлектрики, которые не допускают утечки электрических зарядов, то есть с их помощью отделяют электрические цепи друг от друга или токоведущие части устройств, приборов и аппаратов от проводящих, но не токоведущих частей (от корпуса, от земли). При этом надо заметить, что удельное сопротивление хороших проводников может составлять всего 10-8 Ом·м, а у лучших диэлектриков превосходить 1016 Ом·м. Удельное сопротивление полупроводников в зависимости от строения и состава материалов, а также от условий их эксплуатации может изменяться в пределах 10-5—108 Ом·м. Хорошими проводниками электрического тока являются металлы. Из 105 химических элементов лишь двадцать пять являются неметаллами, причем двенадцать элементов могут проявлять полупроводниковые свойства. полупроводников или диэлектриков. Четкую границу между значениями удельного сопротивления различных классов материалов провести достаточно сложно. Например, многие полупроводники при низких температурах ведут себя подобно диэлектрикам. В то же время диэлектрики при сильном нагревании могут проявлять свойства полупроводников. Качественное различие состоит в том, что для металлов проводящее состояние является основным, а для полупроводников и диэлектриков — возбужденным. Развитие радиотехники потребовало создания материалов, в которых специфические высокочастотные свойства сочетаются с необходимыми физико-механическими параметрами. Такие материалы называют высокочастотными.. Успехи материаловедения позволили перейти от использования уже известных к целенаправленному созданию новых материалов с заранее заданными свойствами.

Диэлектрики, используемые в конденсаторостроении, могут быть разделены на следующие пять основных классов:

1)слюда, стекло, керамика с низкими потерями и т.п.; используются в конденсаторах с емкостью от нескольких единиц до нескольких сотен пикофарад;

2) керамика с высокой диэлектрической проницаемо­стью; используется при емкостях от нескольких сотен до нескольких десятков тысяч пикофарад;

3) бумага и металлизированная бумага; используются в конденсаторах с емкостью от нескольких тысяч пикофарад до нескольких микрофарад;

4) оксидные пленки (в электролитах); используются при емкостях от единиц до многих микрофарад;

5) пленочные диэлектрики, такие, как полистирол, полиэтилентерефталат (майлар), политетрафторэтилен (теф­лон); предел использования — от сотен пикофарад до не­скольких микрофарад.

Поляризация диэлектриков — явление, связанное с поляризацией связанных зарядов в диэлектрике и поворотом электрических диполей под воздействием внешнего электрического поля. Поляризацию диэлектриков характеризует вектор электрической поляризации.

В зависимости от механизма поляризации, поляризацию диэлектриков можно подразделить на следующие типы:

Электронная — смещение электронных оболочек атомов под действием внешнего электрического поля. Самая быстрая поляризация (до 10-15 с). Не связана с потерями.

Ионная — смещение узлов кристаллической структуры под действием внешнего электрического поля, причем смещение на величину, меньшую, чем величина постоянной решетки. Время протекания 10-13 с, без потерь.

Дипольная (Ориентационная) — протекает с потерями на преодоление сил связи и внутреннего трения. Связана с ориентацией диполей во внешнем электрическом поле.

Электронно-релаксационная — ориентация деффектных электронов во внешнем электрическом поле.

Ионно-релаксационная — смещение ионов, слабо закрепленных в узлах кристаллической структуры, либо находящихся в междуузлие.

Структурная — ориентация примесей и неоднородных макроскопических включений в диэлектрике. Самый медленный тип.

Самопроизвольная (спонтанная) — благодаря наличию этого типа поляризации в диэлектрике проявляются нелинейность свойств, то есть явление гистерезиса. Отличается очень высокими значениями диэлектрической проницаемости (от 900 до 7500 у некоторых видов конденсаторной керамики). Введение спонтаной поляризации, как правило, увеличивет тангенс угла потерь материала (до 10-2)

Резонансная — ориентация частиц, собственные частоты которых совпадают с частотами внешнего электрического поля.

Поляризация диэлектриков имеет максимальное значение в статических электрических полях. В переменных полях, в связи с наличием инерции электронов, ионов и электрических диполей, вектор электрической поляризации зависит от частоты. В связи с этим вводится понятие дисперсии диэлектрической проницаемости.

 

 

Вопрос 12. Электри́ческая инду́кция (электри́ческое смеще́ние) — векторная величина, равная сумме вектора напряжённости электрического поля и вектора поляризации. В СИ: .

Для полного определения электромагнитного поля урравнения Максвелла необходимо дополнить материальными уравнениями, связыывающими векторы и (а также и ) в веществе. В вакууме эти векторы совпадают, а в веществе связь между ними зачастую предполагают линейной:

Величины образуют тензор диэлектрической проницаемости. В принципе, он может зависеть как от точки внутри тела, так и от частоты колебаний электромагнитного поля. В изотропных средах тензор диэлектрической проницаемости сводится к скаляру, называемому также диэлектрической проницаемостью. Материальные уравнения для приобретают простой вид

Возможны среды, для которых зависимость между и является нелинейной.

Граничные условия

На границе двух веществ скачок нормальной компоненты Dn вектора определяется поверхностной плотностью свободных зарядов:

(в СГС)

(в СИ)

Здесь — нормальная производная, — точка на поверхности раздела, — вектор нормали к этой поверхности в данной точке, — поверхностная плотность свободных зарядов. Уравнение не зависит от выбора нормали (внешней или внутренней). В частности, для диэлектриков уравнение означает, что нормальная компонента вектора непрерывна на границе сред. Простого уравнения для касательной составляющей записать нельзя, она должна определяться из граничных условий для и материальных уравнений.

 

 

Вопрос 13. Теорема Гаусса для электростатического поля в диэлектрике:

(3)

т. е. поток вектора смещения электростатического поля в диэлектрике сквозь любую замкнутую поверхность равен алгебраической сумме свободных электрических зарядов, заключенных внутри этой поверхности. В такой форме теорема Гаусса верна для электростатического поля как для однородной и изотропной, так и для неоднородной и анизотропной сред.

Для вакуума Dn = ε0En (ε=1), и поток вектора напряженности Е сквозь произвольно выбранную замкнутую поверхность равен

Так как источниками поля Е в среде являются как свободные, так и связанные заряды, то теорему Гаусса для поля Е в самом общем виде можно записать как

где ∑Qi и ∑Qsv— соответственно алгебраические суммы свободных и связанных зарядов, которые охватываются замкнутой поверхностью S. Но эта формула неприменима для описания поля Е в диэлектрике, поскольку она выражает свойства неизвестного поля Е через связанные заряды, которые, в свою очередь, определяются им же. Это еще раз показывает целесообразность введения вектора электрического смещения.

Вопрос 14. Вещество или материальное тело, в котором имеются заряды, способные переносить электрический ток, называется проводником. В металлах переносчиками тока служат свободные (т.е. не привязанные к атомам) электроны, в электролитах — ионы, в плазме — и электроны, и ионы. Для электростатических явлений поле внутри проводника равно нулю:

E→in ≡ 0.

Механизм исчезновения электрического поля в проводниках связан со смещением свободных зарядов ровно настолько, чтобы как раз компенсировать внешнее электрическое поле, если таковое имеется. При изменении внешнего поля свободные заряды в проводнике перераспределяются, а в момент перераспределения в проводнике течет ток. Пример такой компенсации внутри проводящей пластины изображен на рис. 1.25.

Рис. 1.25: Проводящая пластина в однородном электрическом поле и распределение плотности заряда в объёме проводника. В плазме толщина заряженного слоя на поверхности составляет несколько радиусов Дебая, в металле — несколько длин Ферми.

 

Поскольку E→in = 0, то и плотность заряда внутри проводника также равна нулю:

ρin = 1 4π divE→in ≡ 0.

Заряды, компенсирующие внешнее поле, могут размещаться только на поверхности проводника. В связи с этим говорят, что проводник квазинейтрален. По аналогии с объёмной плотностью заряда ρ = limΔV →0Δq∕ΔV, поверхностную плотность определяют, как предел отношения заряда на физически малом участке поверхности Δq к площади этого участка ΔS:

σ = limΔS→0Δq∕ΔS.

Все точки проводника имеют одинаковый потенциал, так как gradϕin = −E→in = 0. Поверхность проводника также эквипотенциальна. Следовательно, электрическое поле перпендикулярно к ней. Этот факт иногда формулируют в виде равенства нулю тангенциальной (касательной к поверхности проводника) проекции внешнего электрического поля E→t = [[n→,E→],n→]:

E→t = 0.

Здесь и далее n→ обозначает внешнюю нормаль к поверхности проводника.

Рис. 1.26: Поток через верхнюю грань параллелепипеда, натянутого на элемент поверхности S, равен En S; поток через остальные грани равен нулю. Сравнивая En S с полным зарядом 4π σ S внутри параллелепипеда, получаем граничное условие En = 4πσ.

 

Нормальная компонента электрического поля на поверхности проводника En = (n→,E→) однозначно связана с поверхностной плотностью зарядов. Применяя теорему Гаусса к параллелепипеду, натянутому на элемент поверхности проводника (рис. 1.26), получаем:

E→n = 4πσ.

Обычно распределение зарядов σ по поверхности проводника неизвестно. Если нужно, его находят в результате решения задачи (см. след. параграф). Однако одну существенную закономерность можно указать из качественных соображений (Б.Франклин, 1747 г.). Так как одноименные заряды (заряды одного знака) отталкиваются, они стремятся разойтись в проводнике как можно дальше. Это приводит к накоплению зарядов на наиболее удаленных участках проводников, например на остриях. Поле вблизи острия можно приближенно представить, как поле заряженной сферы того же радиуса кривизны r. Отсюда можно оценить напряженность электрического поля и поверхностную плотность заряда 4πσ ∼ E ∼ ϕ∕r, где ϕ — потенциал проводника относительно соседних тел. При этом полезно отметить, что полный заряд острия q ∼ πr2σ ∼ ϕr все-таки составляет малую долю заряда всего проводящего тела Q ∼ ϕR, где R — его характерный размер.

Вопрос 17. 1. Энергия системы неподвижных точечных зарядов. Как мы уже знаем, электростатические силы взаимодействия консервативны; значит, система зарядов обладает потенциальной энергией. Будем искать потенциальную энергию системы двух неподвижных точечных зарядов Q1 и Q2, которые находятся на расстоянии r друг от друга. Каждый из этих зарядов в поле другого обладает потенциальной энергией (используем формулу потенциала уединенного заряда):

где φ12 и φ21 — соответственно потенциалы, которые создаются зарядом Q2 в точке нахождения заряда Q1 и зарядом Q1 в точке нахождения заряда Q2. Согласно,

и

поэтому W1 = W2 = W и

Добавляя к нашей системе из двух зарядов последовательно заряды Q3, Q4,..., можно доказать, что в случае n неподвижных зарядов энергия взаимодействия системы точечных зарядов равна

(1)

где φi — потенциал, который создается в точке, где находится заряд Qi, всеми зарядами, кроме i-го.

2. Энергия заряженного уединенного проводника. Рассмотрим уединенный проводник, заряд, потенциал и емкость которого соответственно равны Q, φ и С. Увеличим заряд этого проводника на dQ. Для этого необходимо перенести заряд dQ из бесконечности на уединенный проводник, при этом затратив на это работу, которая равна

");?>" alt="элементарная работа сил электрического поля заряженного проводника">

Чтобы зарядить тело от нулевого потенциала до φ, нужно совершить работу

(2)

Энергия заряженного проводника равна той работе, которую необходимо совершить, чтобы зарядить этот проводник:

(3)

Формулу (3) можно также получить и условия, что потенциал проводника во всех его точках одинаков, так как поверхность проводника является эквипотенциальной. Если φ - потенциал проводника, то из (1) найдем

где Q=∑Qi - заряд проводника.

3. Энергия заряженного конденсатора. Конденсатор состоит из заряженных проводников поэтому обладает энергией, которая из формулы (3) равна

(4)

где Q — заряд конденсатора, С — его емкость, Δφ — разность потенциалов между обкладками конденсатора.

Используя выражение (4), будем искать механическую (пондеромоторную) силу, с которой пластины конденсатора притягиваются друг к другу. Для этого сделаем предположение, что расстояние х между пластинами изменилось на величину dx. Тогда действующая сила совершает работу dA=Fdx вследствие уменьшения потенциальной энергии системы Fdx = — dW, откуда

(5)

Подставив в (4) выражение для емкости плоского конденсатора, получим

(6)

Продифференцировав при фиксированном значении энергии (см. (5) и (6)), получим искомую силу:

где знак минус указывает, что сила F является силой притяжения.

4. Энергия электростатического поля. Используем выражение (4), которое выражает энергию плоского конденсатора посредством зарядов и потенциалов, и спользуя выражением для емкости плоского конденсатора (C=ε0εS/d) и разности потенциалов между его обкладками (Δφ=Ed. Тогда

(7)

где V= Sd — объем конденсатора. Формула (7) говорит о том, что энергия конденсатора выражается через величину, характеризующую электростатическое поле, — напряженность Е.

Объемная плотность энергии электростатического поля (энергия единицы объема)

(8)

Выражение (8) справедливо только для изотропного диэлектрика, для которого выполняется соотношение: Р = æε0 Е.

Формулы (4) и (7) соответственно выражают энергию конденсатора через заряд на его обкладках и через напряженность поля. Возникает вопрос о локализации электростатической энергии и что является ее носителем — заряды или поле? Ответ на этот вопрос может дать только опыт. Электростатика занимается изучением постоянных во времени поля неподвижных зарядов, т. е. в ней поля и попродившие их заряды неотделимы друг от друга. Поэтому электростатика ответить на данный вопрос не может. Дальнейшее развитие теории и эксперимента показало, что переменные во времени электрические и магнитные поля могут существовать отдельно, независимо от возбудивших их зарядов, и распространяются в пространстве в виде электромагнитных волн, которые способны переносить энергию. Это убедительно подтверждает основное положение теории близкодействия о том, что энергия локализована в поле и что носителем энергии является поле.

 

Вопрос 18. Магни́тное по́ле — составляющая электромагнитного поля, появляющаяся при наличии изменяющегося во времени электрического поля. Кроме того, магнитное поле может создаваться током заряженных частиц, либо магнитными моментами электронов в атомах (постоянные магниты). Основной характеристикой магнитного поля является его сила, определяемая вектором магнитной индукции (вектор индукции магнитного поля)[1]. В СИ магнитная индукция измеряется в Тесла (Тл).

Магнитное поле — это особый вид материи, посредством которой осуществляется взаимодействие между движущимися заряженными частицами или телами, обладающими магнитным моментом.

Можно также рассматривать магнитное поле, как релятивистскую составляющую электрического поля. Точнее, магнитные поля являются необходимым следствием существования электрических полей и специальной теории относительности. Вместе, магнитное и электрическое поля образуют электромагнитное поле, проявлениями которого являются свет и прочие электромагнитных волны.

Магнитное поле формируется изменяющимся во времени электрическим полем либо собственными магнитными моментами частиц. Кроме того, магнитное поле может создаваться током заряженных частиц.

Величина B в системе единиц СИ измеряется в теслах, в системе СГС в гауссах.

Векторное поле H измеряется в амперах на метр (А/м) в системе СИ и в эрстедах в СГС. Эрстеды и гауссы являются тождественными величинами, их разделение является чисто терминологическим.

В простых случаях магнитное поле может быть найдено из закона Био — Савара — Лапласа или теоремы о циркуляции (она же — закон Ампера). В более сложных ситуациях ищется как решение уравнений Максвелла.

 

 

Вопрос 19. Закон Био́—Савара—Лапла́са — физический закон для определения модуля вектора магнитной индукции в любой точке магнитного поля, порождаемого постоянным электрическим током на некотором рассматриваемом участке. Был установлен экспериментально в 1820 году Био и Саваром. Лаплас проанализировал данное выражение и показал, что с его помощью путём интегрирования, в частности, можно вычислить магнитное поле движущегося точечного заряда, если считать движение одной заряженной частицы током.

Пусть постоянный ток течёт по контуру γ, находящемуся в вакууме, — точка, в которой ищется поле, тогда индукция магнитного поля в этой точке выражается интегралом (в системе СИ)

Направление перпендикулярно и , то есть перпендикулярно плоскости, в которой они лежат, и совпадает с касательной к линии магнитной индукции. Это направление может быть найдено по правилу нахождения линий магнитной индукции (правилу правого винта): направление вращения головки винта дает направление , если поступательное движение буравчика соответствует направлению тока в элементе. Модуль вектора определяется выражением (в системе СИ)

Векторный потенциал даётся интегралом (в системе СИ)

 

 

Вопрос 20. Закон Ампера — закон взаимодействия постоянных токов. Установлен Андре Мари Ампером в 1820. Из закона Ампера следует, что параллельные проводники с постоянными токами, текущими в одном направлении, притягиваются, а в противоположном — отталкиваются. Законом Ампера называется также закон, определяющий силу, с которой магнитное поле действует на малый отрезок проводника с током.

Сила , с которой магнитное поле действует на элемент объёма dV проводника с током плотности , находящегося в магнитном поле с индукцией :

.

Если ток течёт по тонкому проводнику, то , где — «элемент длины» проводника — вектор, по модулю равный dl и совпадающий по направлению с током. Тогда предыдущее равенство можно переписать следующим образом:

Сила , с которой магнитное поле действует на элемент проводника с током, находящегося в магнитном поле, прямо пропорциональна силе тока I в проводнике и векторному произведению элемента длины проводника на магнитную индукцию :

.

Направление силы определяется по правилу вычисления векторного произведения, которое удобно запомнить при помощи правила левой руки.

Модуль силы Ампера можно найти по формуле:

,

где α — угол между векторами магнитной индукции и тока.

Сила dF максимальна когда элемент проводника с током расположен перпендикулярно линиям магнитной индукции (): .

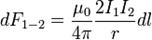
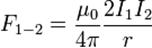
Наиболее известным примером, иллюстрирующим силу Ампера, является следующая задача. В вакууме на расстоянии a друг от друга расположены два бесконечных параллельных проводника, в которых в одном направлении текут токи I 1 и I 2. Требуется найти силу, действующую на единицу длины проводника.

Бесконечный проводник с током I 1 в точке на расстоянии r создаёт магнитное поле с индукцией:

(по закону Био — Савара — Лапласа).

Теперь по закону Ампера найдём силу, с которой первый проводник действует на второй:

По правилу буравчика, направлена в сторону первого проводника (аналогично и для , а значит, проводники притягиваются).

Модуль данной силы (r - расстояние между проводниками):

Интегрируем, учитывая только проводник единичной длины (пределы l от 0 до 1):

 

 

Вопрос 21. Любой проводник с током создает в окружающем пространстве магнитное поле. При этом электрический же ток является упорядоченным движением электрических зарядов. Значит можно считать, что любой движущийся в вакууме или среде заряд попрождает вокруг себя магнитное поле. В результате обобщения многочисленных опытных данных был установлен закон, который определяет поле В точечного заряда Q, движущегося с постоянной нерелятивистской скоростью v. Этот закон задается формулой

(1)

где r — радиус-вектор, который проведен от заряда Q к точке наблюдения М (рис. 1). Согласно (1), вектор В направлен перпендикулярно плоскости, в которой находятся векторы v и r: его направление совпадает с направлением поступательного движения правого винта при его вращении от v к r.

 

Рис.1

 

Модуль вектора магнитной индукции (1) находится по формуле

(2)

где α — угол между векторами v и r.

Сопоставляя закон Био-Савара-Лапласа и (1), мы видим, что движущийся заряд по своим магнитным свойствам эквивалентен элементу тока:

Приведенные законы (1) и (2) выполняются лишь при малых скоростях (v<<с) движущихся зарядов, когда электрическое поле движущегося с постоянной скорость заряда можно считать электростатическим, т. е. создаваемым неподвижным зарядом, который находится в той точке, где в данный момент времени находится движущийся заряд.

Формула (1) задает магнитную индукцию положительного заряда, движущегося со скоростью v. При движении отрицательнго заряда Q заменяется на -Q. Скорость v - относительная скорость, т. е. скорость относительно системы отсчета наблюдателя. Вектор В в данной системе отсчета зависит как от времени, так и от расположения наблюдателя. Поэтому следует отметить относительный характер магнитного поля движущегося заряда.

Первый, кто обнаружил поле движущегося заряда, был американский физик Г. Роуланду (1848—1901). Окончательно этот факт был установлен профессором Московского университета А. А. Эйхенвальдом (1863—1944), который изучал магнитное поле конвекционного тока и магнитное поле связанных зарядов поляризованного диэлектрика. Магнитное поле движущихся с постоянной скоростьб зарядов было измерено академиком А. Ф. Иоффе, который также доказал эквивалентность, в смысле возбуждения магнитного поля, электронного пучка и тока проводимости.

 

Вопрос 22. Сила Лоренца- сила, действующая со стороны магнитного поля на движущуюся электрически заряженную частицу.

где q - заряд частицы; V - скорость заряда; B - индукции магнитного поля; a - угол между вектором скорости заряда и вектором магнитной индукции.

Направление силы Лоренца определяется по правилу левой руки:

Если поставить левую руку так, чтобы перпендикулярная скорости составляющая вектора индукции входила в ладонь, а четыре пальца были бы расположены по направлению скорости движения положительного заряда (или против направления скорости отрицательного заряда), то отогнутый большой палец укажет направление силы Лоренца

.

Так как сила Лоренца всегда перпендикулярна скорости заряда, то она не совершает работы (т.е. не изменяет величину скорости заряда и его кинетическую энергию). Если заряженная частица движется параллельно силовым линиям магнитного поля, то Fл = 0, и заряд в магнитном поле движется равномерно и прямолинейно. Если заряженная частица движется перпендикулярно силовым линиям магнитного поля, то сила Лоренца является центростремительной

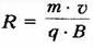
и создает центростремительное ускорение. В этом случае частица движется по окружности

.

Согласно второму закону Ньютона: сила Лоренца равна произведению массы частицы на центростремительное ускорение


тогда радиус окружности


а период обращения заряда в магнитном поле

Так как электрический ток представляет собой упорядоченное движение зарядов, то действие магнитного поля на проводник с током есть результат его действия на отдельные движущиеся заряды.

Вопрос 23.

 

 




Поделиться с друзьями:


Дата добавления: 2015-04-24; Просмотров: 566; Нарушение авторских прав?; Мы поможем в написании вашей работы!


Нам важно ваше мнение! Был ли полезен опубликованный материал? Да | Нет



studopedia.su - Студопедия (2013 - 2026) год. Все материалы представленные на сайте исключительно с целью ознакомления читателями и не преследуют коммерческих целей или нарушение авторских прав! Последнее добавление




Генерация страницы за: 0.012 сек.