Студопедия

КАТЕГОРИИ:


Архитектура-(3434)Астрономия-(809)Биология-(7483)Биотехнологии-(1457)Военное дело-(14632)Высокие технологии-(1363)География-(913)Геология-(1438)Государство-(451)Демография-(1065)Дом-(47672)Журналистика и СМИ-(912)Изобретательство-(14524)Иностранные языки-(4268)Информатика-(17799)Искусство-(1338)История-(13644)Компьютеры-(11121)Косметика-(55)Кулинария-(373)Культура-(8427)Лингвистика-(374)Литература-(1642)Маркетинг-(23702)Математика-(16968)Машиностроение-(1700)Медицина-(12668)Менеджмент-(24684)Механика-(15423)Науковедение-(506)Образование-(11852)Охрана труда-(3308)Педагогика-(5571)Полиграфия-(1312)Политика-(7869)Право-(5454)Приборостроение-(1369)Программирование-(2801)Производство-(97182)Промышленность-(8706)Психология-(18388)Религия-(3217)Связь-(10668)Сельское хозяйство-(299)Социология-(6455)Спорт-(42831)Строительство-(4793)Торговля-(5050)Транспорт-(2929)Туризм-(1568)Физика-(3942)Философия-(17015)Финансы-(26596)Химия-(22929)Экология-(12095)Экономика-(9961)Электроника-(8441)Электротехника-(4623)Энергетика-(12629)Юриспруденция-(1492)Ядерная техника-(1748)

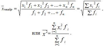
Квадратическая взвешенная




Средняя квадратическая взвешенная равна:

15. Средней величиной называется статистический показатель, который дает обобщенную характеристику варьирующего признака однородных единиц совокупности.

Можно выделить три основных свойства, которые наиболее всего обусловили широкое применение арифметической средней в статистико-экономических расчетах.

Свойство первое (нулевое): сумма положительных отклонений индивидуальных значений признака от его среднего значения равна сумме отрицательных отклонений. Это очень важное свойство, поскольку оно показывает, что любые отклонения (как с +, так и с -), вызванные случайными причинами, взаимно будут погашены.

Свойство второе (минимальное): сумма квадратов отклонений индивидуальных значений признака от средней арифметической меньше, чем от любого другого числа (а), т.е. есть число минимальное.

Свойство третье: средняя арифметическая постоянной величины равна этой постоянной: при а = const.

Кроме этих трех важнейших свойств средней арифметической существуют так называемые расчетные свойства, которые постепенно теряют свою значимость в связи с использованием электронно-вычислительной техники:

- если индивидуальное значение признака каждой единицы умножить или разделить на постоянное число, то средняя арифметическая увеличится или уменьшится во столько же раз;

- средняя арифметическая не изменится, если вес (частоту) каждого значения признака разделить на постоянное число;

- если индивидуальные значения признака каждой единицы уменьшить или увеличить на одну и ту же величину, то средняя арифметическая уменьшится или увеличится на ту же самую величину.




Поделиться с друзьями:


Дата добавления: 2015-04-24; Просмотров: 748; Нарушение авторских прав?; Мы поможем в написании вашей работы!


Нам важно ваше мнение! Был ли полезен опубликованный материал? Да | Нет



studopedia.su - Студопедия (2013 - 2026) год. Все материалы представленные на сайте исключительно с целью ознакомления читателями и не преследуют коммерческих целей или нарушение авторских прав! Последнее добавление




Генерация страницы за: 0.014 сек.