Студопедия

КАТЕГОРИИ:


Архитектура-(3434)Астрономия-(809)Биология-(7483)Биотехнологии-(1457)Военное дело-(14632)Высокие технологии-(1363)География-(913)Геология-(1438)Государство-(451)Демография-(1065)Дом-(47672)Журналистика и СМИ-(912)Изобретательство-(14524)Иностранные языки-(4268)Информатика-(17799)Искусство-(1338)История-(13644)Компьютеры-(11121)Косметика-(55)Кулинария-(373)Культура-(8427)Лингвистика-(374)Литература-(1642)Маркетинг-(23702)Математика-(16968)Машиностроение-(1700)Медицина-(12668)Менеджмент-(24684)Механика-(15423)Науковедение-(506)Образование-(11852)Охрана труда-(3308)Педагогика-(5571)Полиграфия-(1312)Политика-(7869)Право-(5454)Приборостроение-(1369)Программирование-(2801)Производство-(97182)Промышленность-(8706)Психология-(18388)Религия-(3217)Связь-(10668)Сельское хозяйство-(299)Социология-(6455)Спорт-(42831)Строительство-(4793)Торговля-(5050)Транспорт-(2929)Туризм-(1568)Физика-(3942)Философия-(17015)Финансы-(26596)Химия-(22929)Экология-(12095)Экономика-(9961)Электроника-(8441)Электротехника-(4623)Энергетика-(12629)Юриспруденция-(1492)Ядерная техника-(1748)

Глоссарий




Термин Определение
Адиабата (от греч. adiabatos – непроходимый) Линия, изображающая на термодиаграмме равновесный адиабатный процесс (процесс без теплообмена с окружающей средой)
Алгоритм Совокупность предписаний, начинающихся с произвольного исходного данного и направленного на получение полностью определенного результата  
Амплитуда колебаний Наибольшее отклонение (от нулевого) значения величины, совершающей гармоническое колебание
Атмосфера стандартная и международная (МСА) Условная атмосфера, в которой распределение давления с высотой в земной атмосфере получается из барометрических формул (давление на среднем уровне моря при t=15°C, равное 101.3 км/ч или 760 мм рт.ст.)
Аккумулятор гидравлический (пневматический) (лат. accumulator – собиратель) Устройство для накопления механической энергии жидкости или газа с целью последующего использования в гидравлических (пневматических) системах с выравненным давлением и расходом
Бар (от греч. baros - тяжесть) Внесистемная единица давления равная 101972 ~ Па
Барометр Прибор для измерения атмосферного давления
Вакуум Среда, в которой давление ниже атмосферного; недостаток давления до атмосферного (см. давление)
Вакуум допускаемый Предельное значение вакуума, при котором возможны разрывы сплошности потока и образование кавитации (см. ниже)
Водомер Вентури Конфузорно – диффузорный участок трубы, стенки которой очерчены по границе струи в диафрагме, применяемой для измерения расхода
Вязкость и её характеристики Физическое свойство жидких сред (противоположное текучести), которое оказывает сопротивление деформации сдвига слоев в потоке и обусловливает внутреннее трение
Вязкость динамическая (молекулярная) Динамический коэффициент вязкости [Па*c], где - напряжение dU / dy – относительная скорость деформации сдвига (0,1 П*с=1ПУФЗ)
Вязкость кинематическая Кинематический коэффициент вязкости [ ], где - плотность жидкой среды,  
Вязкость турбулентная (вихревая) Динамический коэффициент турбулентной вязкости , где турбулентное напряжение; - осредненная (во времени) продольная составляющая вектора скорости
Газ совершенный Идеальный газ, состояние которого определяется физическими величинами: давлением Р, температурой Т и объемом V
Гидравлика (наука и дисциплина) Техническая механика жидкости и газа
Гидромеханика Раздел механики, в котором изучается движение и равновесие жидкой среды. Подразделяется на гидродинамику и гидростатику
Гидравлический двигатель Гидравлическая машина, преобразующая энергию потока жидкости в механическую энергию ведомого звена (штока, вала)
Гидравлическая машина Энергетическая машина, преобразующая энергию одного вида механического движения в энергию другого вида механического движения, при этом одним из энергоносителей является несжимаемая жидкость
Гидропередача Энергосиловое устройство, служащее для передачи вращательного движения в машине или механизме. Различают гидрообъемные и гидродинамические передачи
Гидропривод Совокупность устройств, в число которых входят объемный насос и объемный гидродвигатель, предназначенный для приведения в движение механизмов и машин   посредством рабочей жидкости под давлением
Гидропривод следящий Гидропривод в системах автоматического управления, алгоритм функционирования которого содержит предписание изменять управляемую величину в зависимости от заранее неизвестной переменной величины на входе в систему
Гидродроссель Аппарат, регулирующий расход рабочей жидкости в системах гидроприводов и гидроавтоматики
Гидрораспределитель Аппарат, предназначенный для управления потоком рабочей жидкости в системах гидроприводов и гидроавтоматики.
Гидроклапан давления Аппарат, ограничивающий, поддерживающий или регулирующий давление в гидросистеме
Гидравлический удар Явление резкого изменения давления в жидкости, вызванное мгновенным изменением скорости её течения в напорном трубопроводе при быстром перекрытии запорным устройством
Гидравлический усилитель Устройство для перемещения управляющих органов гидравлических исполнительных механизмов с одновременным усилением мощности управляющего воздействия
Гидравлическое сопротивление Сопротивление движению жидкостей (и газов) в проточных трактах гидро – и пневмосистем. Количественно оценивается потерей давления (напора) в системе
Гидравлический радиус R Гидравлическая характеристика поперечного (живого) сечения потока, определяемого по формуле R=S/X, где S - площадь поперечного сечения; Х - смоченный радиус сечения
Гидродинамическая передача Механизм для бесступенчатого изменения передаваемого от двигателя крутящего момента и частота вращения, рабочий процесс в котором осуществляется за счет работы лопастного насоса и турбин в одном агрегате. Различают два вида гидродинамических передач: гидромуфта и гидротрансформатор
Гидроцилиндр силовой Гидравлический двигатель с возвратно-поступательным движением поршня
Градиент давления (от лат. gradientis - шагающий) Вектор, показывающий направление наискорейшего изменения величины давления, значение которого изменяется от одной точки пространства к другой. Обозначается знаком grad p, составляющие которого равны dp/dx; dp/dy; dp/dz
Давление Давление твердых тел – физический вектор , характеризующий интенсивность нормальных (направленных перпендикулярно к поверхности) внешних сил, с которыми одно тело действует на поверхности другого, создавая нормальное напряжение. Давление жидкости или газа на твердое тело – тоже физический вектор , измеряемый в Давление в точке внутри объема покоящейся жидкости или газа –физический скаляр (одинаковый по всем направлениям)
Давление гидростатическое В общем случае общее значение трех нормальных напряжений в данной точке покоящейся жидкой среды взятое со знаком минус В частном случае, в покоящейся жидкости
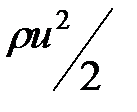
Давление гидродинамическое Давление в движущейся жидкости со скоростью U, равное величине
Давление манометрическое Р ман. Избыточное давление по отношению к атмосферному Р ман = Р - Р атм.
Давление вакуумметрическое Р вак. Недостаток давления до атмосферного (то же, что и вакуум) Р вак.=Р атм.- Р
Давление абсолютное Р Давление Р, равное: - при Р>Р атм. Р=Р атм.+Р ман. - при Р<Р атм. Р=Р атм.- Р вак.
Давление осредненное в точке Осредненная во времени величина пульсуирующего давления в точке потока жидкой среды при турбулентном движении (Т- период осреднения)
Демпфер (нем. dampfer - глушитель) Устройство для искусственного подавления колебаний механических, электрических и других систем
Диафрагма В технике - деталь приборов, механизмов и т.д., представляет из себя пластину или перегородку (с отверстием или без него)
Диссипация энергии потока жидкости (от лат. dissipation – рассеяние). Переход полной механической энергии в тепловую вследствие работы сил трения и последующее рассеяние в окружающей среде
Движение жидкости (газа) - безвихревое Движение, при котором в каждой точке потока составляющие вектора вихря скорости rot u равны нулю
- безнапорное Часть потока ограничена твердыми стенками, другая часть – свободной поверхностью
- винтовое Движение, при котором вихревые линии совпадают с линиями потока
- ламинарное (от лат. lamina - пластинка) Упорядоченное течение жидкости или газа, при котором жидкость (газ) перемещаются как бы слоями параллельно направлению течения
- напорное Поток со всех сторон ограничен твердыми стенками
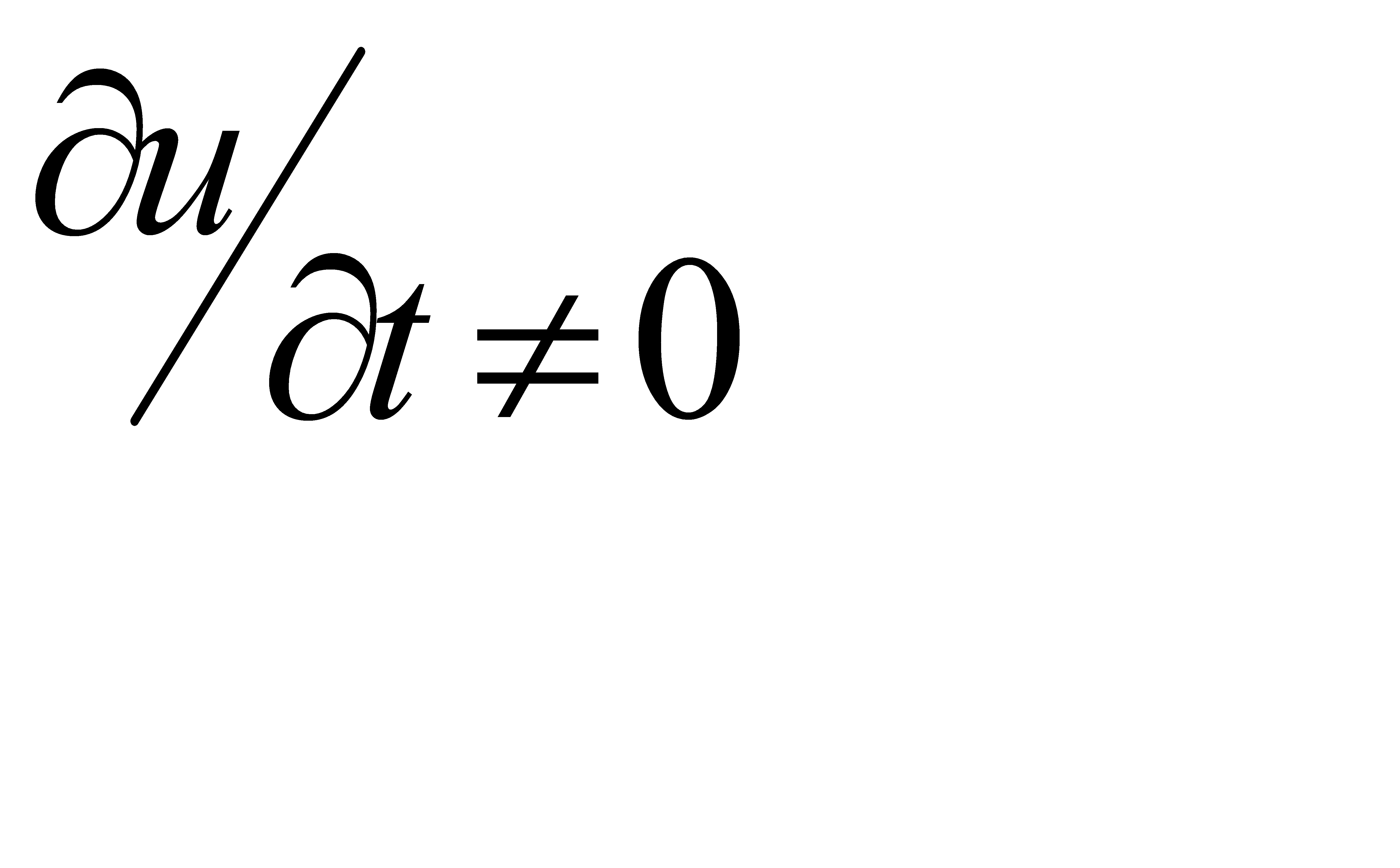
- неустановившееся (нестационарное) Движение жидкой среды, при котором гидродинамические параметры потока (скорость, давление) изменяются во времени ()
Потенциальное Безвихревое движение с потенциалом скоростей
- равномерное Движение жидкой среды, при котором линии тока являются прямыми
- резкоизменяющееся Движение жидкой среды, при котором линии тока имеют значительную кривизну и не параллельны.
- турбулентное   (от лат. turbulentus - бурный, беспорядочный). Движение жидкой среды, при котором частицы совершают неупорядоченное, неустановившееся движение по сложным траекториям, что приводит к интенсивному перемешиванию среды
- установившееся Движение жидкой среды, при котором гидродинамические параметры потока не изменяются во времени
Дивергенция скорости (от лат. divergenia – расхождение) Скалярная величина, определяемая равенством  
Диффузор Гаситель канала или отдельных трубок, в которых происходит замедление (расширение) потока и возрастание давления
Жидкость - аномальная Жидкость, для которой не выполняется реологический закон Ньютона о внутреннем трении, при котором касательные напряжения не зависят линейно от скорости деформации сдвига
- вязкая Жидкость, при движении которой имеют место касательные напряжения трения
- идеальная Жидкость, при изучении которой не учитывается количественная сторона вязкости при её движении и в состоянии покоя (невязкая жидкость)
- несжимаемая Обычная капельная жидкость, при изучении которой плотность считается постоянной
Закон - Архимеда На погруженное в жидкость (газ) тело действует выталкивающая сила гидростатического давления, равная весу вытесненной телом жидкой среды и приложения к центру тяжести вытесненного объема
- Ньютона Закон о внутреннем трении в жидкости: «Сопротивление, возникающее вследствие недостатка скольжения между частицами жидкости, при прочих равных условиях пропорционально скорости, с которой частицы отделяются одна от другой» (см. вязкость)
- Паскаля Закон гидростатики, согласно которому давление на поверхность жидкости, произведенное внешними силами, передается жидкостью одинаково во все направлениях
- изменение кинетической энергии Изменение кинетической энергии контрольного объема жидкости при перемещении его из одного положения в другое происходит под действием приложенных внешних и внутренних сил и равно сумме работ эти сил на данном перемещении
- изменение количества движения Изменение количества движения контрольного объема жидкости за единицу времени равно сумме всех приложенных к нему внешних сил. Математическая формулировка ( - вектор количества движения, - главный вектор, т.е. равнодействующее внешних сил). Гидравлическое уравнение применительно к двум контрольным сечениям одномерного потока ( - средние скорости)
- сохранение массы (инерции) Математическая формулировка закона: (m- масса контрольного объема жидкой среды). Гидравлическое уравнение применительно к двум контрольным сечениям одномерного потока при (несжимаемая жидкость) - объемный расход  
- сохранение энергии В гидромеханике потенциальная кинетическая энергии потока выражается через плотность. Плотность потенциальной энергии , плотность кинетической энергии . Баланс энергии, выражающий закон сохранения для двух контрольных сечений потока вязкой жидкости с учетом диссипации, имеет вид ( - диссипация, потеря энергии в единицах плотности)
Интеграл Бернулли Решение дифференциального уравнения движения идеальной жидкости вдоль элементароной струйки в виде (Ф – потенциальная функция объемных сил)
Инжектор (от лат injiecio – вбрасываю) Струйный насос, предназначенный для сжатия газов и паров, а также нагнетания жидкости в различные аппараты и резервуары
Кавитация Явление, возникающее в проточных элементных гидросистемах с пониженным давлением ниже давления насыщенных паров, при котором нарушаются сплошность потока, выделение пузырьков и каверн (двухфазная среда). Перенос потоком двухфазной среды на участок с повышенным давлением сопровождается «захлопыванием» пузырьков, гидравлическими ударами и эрозией материала. В гидравлических машинах кавитация снижает производительность, мощность, коэффициент полезного действия
Конфузор Конический сходящийся насадок (сопло)
Коэффициент - кинетической энергии Поправочный коэффициент ( <1) в формуле плотности кинетической энергии - , (коэффициент Кориолиса)
- количества движения Поправочный коэффициент в гидравлическом уравнении количества движения (коэффициент Буссинеска)
- местного гидравлического сопротивления Безразмерный коэффициент пропорциональности в формуле Вейсбаха для определения местной потери давления равный отношению потери давления к динамическому давлению (как правило, эмпирический)
- гидравлического трения Безразмерный коэффициент пропорциональности в формуле Вейсбаха-Дарси для определения потери давления на длине
- объемного сжатия жидкой среды Размерный коэффициент , характеризующий сжимаемость жидкой среды (жидкости, газа) как отношение приращения объема со знаком минус к первоначальному объему и приращению давления
- полезного действия насоса Отношение эффективной (полезной) мощности к потребляемой (Q- подача насоса в , р – давление на выходе из насоса, )
- расхода проходного отверстия гидравлического аппарата Безмерный коэффициент пропорциональности в формуле расхода через проходное отверстие, равный отношению действительного расхода к теоретическому. Для отверстия в стенке резервуара и насадка , где - коэффициент сжатия струи; - коэффициент скорости (см. ниже)
- сжатие струи Отношение площади сжатого сечения струи Sc к площади отверстий Sот.
- скорость струи Безразмерный коэффициент, характеризующий отношение скоростей действительной и теоретической, и равный
Критерий гидродинамического подобия (от греч. criterion – средство для суждения). Необходимые условия физического подобия двух гидродинамических явлений, представляемые безразмерными величинами, называемые характеристическими числами (см. число характеристическое)
Линия тока Кривая в поле скоростей сплошной среды, в каждой точке которой вектор скорости направлен по касательной к ней
- напорная Линия полного напора на диаграмме уравнения Бернулли
- пьезометрическая Линия статического (потенциального) напора на диаграмме уравнения Бернулли
Манометр Прибор для измерения манометрического (избыточного) давления
Метод Эйлера Метод описания поля скоростей в сплошной среде, в точке которой определяют значение скоростей и другие характеристики как функции координат и времени
Модель сплошной среды Материальная среда с непрерывным распределением макрочастиц и всех механических и термодинамических величин
Модуль объемной упругости Величина, обратная коэффициенту объемного сжатия
Манжета Резиновое или резинотканевое уплотнительное устройство, предназначенное для уплотнения деталей гидроцилиндров
Мощность гидравлическая Мощность потока жидкости, равная и мощность потока газа, равная (М – массовый расход газа кг/с)
Мультипликатор давления Механизм, внутри которого перемещается двухступенчатый поршень, предназначенный для кратковременного движения давления в какой-либо части гидросистемы
Момент вращающий Мера внешнего воздействия (силы), изменяющего угловую скорость вращения вала
Напор Удельная механическая энергия, единица веса, жидкости (газа). Измеряется в единицах длины
- потенциальный Hn Удельная потенциальная энергия, единица веса жидкости (газа)
-кинетический Hk Удельная кинетическая энергия, единица веса жидкости (газа)
-инерционный Hин Локальная составляющая единицы веса жидкости (газа) при неустановившемся движении
Напряжение Плотность распределения поверхностной силы на заданной поверхности. Измеряется в н/м2 (1н/м2=1Па)
-касательное Плотность распределения касательной поверхностной силы (силы трения) на заданной поверхности
-нормальное Плотность распределения нормальной поверхностной силы (сжимающей силы давления) на заданной поверхности
-турбулентное Осредненная во времени величина пульсирующей составляющей вектора скорости
Насадок Короткий патрубок (цилиндрический, конический, коноидальный) длиной обычно до 20 диаметров, присоединяемый к стенке резервуара, шлангов и других устройств
Область гидравлического сопротивления Область значений коэффициента гидравлического трения в трубах в функции числа Рейнольдса Re и относительной шероховатости стенки , ограниченная критическими и предельными значениями чисел Рейнольдса и представленная на графике , где Δ - «гидравлическая шероховатость», d – диаметр трубы. Различают одну область при ламинарном режиме и четыре области при турбулентном режиме: 1 - область гидравлически гладких труб; 2 – доквадратичная область сопротивления; 3 – квадратичная область сопротивления
Облитерация (лат. obliterate – уничтожение) Зарастание проходных отверстий вследствие облегчения на твердой поверхности его краев слоя поляризованных молекул рабочей жидкости
Объемные силы Так называемые силы дальнего действия на все частицы рассматриваемого объема жидкости; величина этих сил пропорциональна массе жидкости, а при одинаковой плотности во всем объеме () – объему жидкости
Обратный клапан Гидравлический или пневматический клапан, пропускающий жидкость (газ) только в одном направлении
Объемный вес Вес единицы объема жидкой среды -
Осредненная скорость Осредненная во времени скорость в точке пульсирующего потока (газа)
Парабола Пуазейля Огибающая кривая эпюры местных скоростей течения в цилиндрической трубе, названная по имени французского врача и физика (1799 – 1869 гг.)
Парадокс -гидростатический (от греч. paradoxes – неожиданный, странный). Непривычное представление о значении силы давления на дно сосудов разной формы, но имеющих одинаковую площадь, и заполненных жидкостью, уровень которой расположен на одинаковой высоте от дна
Даламбера Главный вектор сил, действующих на цилиндр при его безотрывном обтекании потенциальным потоком жидкости, назван по имени Даламбера - французского математика и философа (1717 – 1783 гг.)
Переменные -Лагранжа Характеристики сплошной среды (скорость, плотность, давление и т.п.) связанные с движущимися частицами сплошной среды, как и её координаты, названые по имени Лагранжа - французского математика и механика (1736 – 1813 гг.)  
-Эйлера Характеристики сплошной среды (поля скоростей, давлений, напряжений) отнесенные и фиксированные в неподвижной точке пространства, как и сама точка. Названа по имени Эйлера - швейцарец, математик, физик (1707 – 1783 гг.)
Плотность -жидкой среды Плотность в точке пространства определяет зависимостью где – элементарная масса в элементарном объеме V
-распределение внешней объемной силы Векторная величина, равная силе F, действующей на единицу объема V: . В частности, сила тяжести, действующая на единицу объема, представляет так называемый удельный вес
-распределение поверхностной силы давления Векторная величина, равная силе, действующий на единицу поверхности, то же, что напряжение н/м2. Напряжение нормальной поверхностной силы в точке объема жидкости, называется градиентом давления, векторная величина – grad
-распределение энергии -потенциальной Векторная величина, равная потенциальной энергии единицы объема жидкой среды, то же, что напряжение от силы давления в точке объема - , н/м2
-кинетической Скалярная величина, равная кинетической энергии единицы объема жидкой среды, движущейся со скоростью u - (то же, что гидродинамическое давление)
Количество движения Векторная величина, равна количеству движения единицы объема жидкой среды, кг/м2с
Паскаль – Па Единица напряжения, давления, названа по имени Паскаля - французский религиозный философ, писатель, математик и физик (1623 – 1662 гг.)  
Периметр смоченный Периметр той части поперечного сечения русла, которая смочена движущейся жидкостью
Площадь поперечного сечения Площадь поперечного сечения потока, нормального к элементарным струйкам
Подслой вязкий Очень тонкий, измеряемый десятками микрометров слой, прилегающий непосредственно к стенке трубы
Показатель адиабаты Показатель степени основания плотности в формуле адиабатического процесса
Постоянная газовая Удельная газовая постоянная R=287 Дж/кгКо, не зависящая от температуры, различная для различных газов
Потеря энергии То же, что диссипация энергии, обусловленная работой сил трения и выраженная объемной плотностью (потери давления) или весовой (потери напора)
Производная субстанциональная Производная от гидромеханической характеристики по времени, связанная с рассмотрением движения текучей среды (в общем случае материи, субстанции)
Пуаз Единица динамического коэффициента вязкости жидкой среды 1пуаз=0,1Па.с, названа в честь французского врача, физика Пуазейля (1799 – 1869 гг.)
Пьезометр Прозрачная трубка со шкалой для измерения невысоких давлений, заполненная жидкостью (атмосферное давление измеряется ртутным пьезометром или барометром)
Радиус гидравлический Отношение площади поперечного сечения к смоченному периметру. На длине потока, равной гидравлическому радиусу, потеря давления равна касательному напряжению трения
Равновесие жидкой среды Равновесие жидкой среды означает равенство нулю суммы всех внешних сил, приложенных к контрольному объему. Равновесие может быть абсолютное в неподвижной системе координат и относительное (по отношению к ограничивающим стенкам) в системе координат, движущихся вместе с жидкой средой  
Расход жидкой среды -массовый -объемный Количество жидкой среды, проходящей через живые сечения русла в единицу времени. Расход, выраженный в единицах массы жидкой среды. Расход, выраженный в единицах объема жидкой среды
Рабочий объем насоса или гидро-пневмовигателя Объем жидкой среды, вытесняемый объемным насосом в один такт, то же- пропускаемый гидродвигателем в один такт (за один оборот вала)
Регулирование дроссельное Регулирование скорости (частоты вращения) гидропневмодвигателя величиной расхода жидкой среды, изменяемой дросселем (регулятором расхода)
Регулирование объемное (машинное) Регулирование скорости (частоты вращения) гидродвигателя величиной расхода, изменяемой объемом рабочих камер в гидромашинах (насосе или двигателе)
Режим движения ламинарный Устройство структурированное (слоистое) движения жидкой среды
Режим движения турбулентки Квазиустойчивое (пульсирующее) беспорядочное движение жидкой среды
Сечение -живое Поперечное сечение потока, в котором местные скорости жидкой среды ортогональны к элементам сечения
-сжатое Сужение поперечного сечения струи, вытекающей через отверстие в стенке бака (через диафрагму). В сжатом сечении движение считается равномерным, параллельно- струйным
Сжимаемость жидкой среды Упругая деформация (уменьшение) объема жидкой среды под воздействием сил сжатия
Сила Архимедова Сила, действующая на погруженное в жидкую среду тело, равная весу вытесненной телом жидкой среды. Направлена вверх
-гидростатического давления Вектор, направленный со стороны жидкости по нормали на малую площадку, равный произведению давления на площадку или единичного вектора нормали  
-гидравлического сопротивления (трения) Вектор, направленный против движения жидкой среды, выделяемый касательными напряжениями в потоке
-объемная Сила дальнего действия на все частицы объема жидкости, пропорциональная величине объема
-поверхностная Сила ближнего действия на поверхности, ограничивающие объем жидкого тела, пропорциональная площади поверхности
Скорость -звука в жидкой среде Скорость распространения волны возмущения. Зависит от упругости и плотности жидкой среды  
-местная Скорость в фиксированной точке среды, заданная в переменных Эйлера
-критическая Скорость в газовом потоке, равная скорости звука  
-осредненная по времени Интегральное среднее значение скорости в точке пульсирующего потока за определенный промежуток времени
-средняя Скорость в живом течении потока при одномерном движении, определяемая отношением расхода к площади живого сечения
Слой пограничный Тонкий слой в потоке жидкой среды, в котором скорость возрастает от нуля на твердой границе обтекаемого тела до скорости набегающего потока
Сопло Лаваля Сопло, составленное из конфузорного (сужающего) и диффузорного (расширяющего) насадков, служащее для преобразования дозвукового движения газа в сверхзвуковое. Названное по имени шведского инженера и изобретателя Лаваля (1845 – 1913 гг.)
Среда жидкая Среда, используемая для описания общего характера поведения как собственно жидкостей, называемых капельными, так и газов
Степень турбулентности Отношение стандарта пульсационной скорости, равного корню квадратному из её среднеквадратичного значения, к осредненной во времени местной скорости
Струя Поток жидкой среды не ограниченной твердой поверхностью
Текучесть Легкоподвижность частиц жидкой среды как некоторый суммарный эффект от большого числа молекулярных переходов между временным положением равновесия
Тензор Матрица, определяющая какую-либо физическую величину – величину не зависящую от выбора системы координат
Теорема Бернулли При установившемся движении идеальной несжимаемой жидкости в поле сил тяжести - сумма скоростного (динамического) и статического (геометрического плюс изометрического) напоров сохраняет постоянное значение вдоль линии тока или элементарной струи. Названа по имени Даниила Бернулли – шведского ученого, медика, математика, гидромеханика (1700-1782 гг.)
- Осторогродского – Гаусса (в гидромеханике) Преобразование поверхностного интеграла от напряжения сжатия в объемный интеграл от градиента давления со знаком минус, равного нормальной поверхностной силе, приложенной и ограничивающей объем поверхности. (Гаусс – немецкий математик, физик, астроном, 1777-1855 гг.; Острогродский – русский математик, 1801-1862 гг.)
Течение Куэтта Фрикционное, обусловленное внешними силами трения, ламинарное течение жидкости (например, в подшипниках скольжения)
Течение Пуазейля Ламинарное течение, обусловленное внешними нормальными силами (силами давления)
Течение адиабатическое Течение газа без притока тепла извне
Течение изотермическое Течение при постоянной температуре
Траектория Геометрическое место последовательных положений материальной точки (элементарные частицы жидкой среды) при её движении в пространстве
Трансформатор давления Автоматически действующий мультипликатор (усилитель) давления жидкости
Трубки Пито Трубка с изогнутым под прямым углом концом, устанавливаемая в поток против течения для измерения динамического напора. Вместе с пьезометром служит для измерения местной скорости
Удар гидравлический Комплекс явлений, возникающих в трубопроводе при резком изменении скорости течения жидкости, носящих волновой характер. При резком увеличении скорости давление резко падает, при резком торможении – резко увеличивается. При гидравлическом ударе наряду с силами инерции действуют и силы упругости жидкости и стенок трубопровода
Уравнение - неразрывности Выражает закон сохранения массы в потоке жидкой среды (постоянный расход вдоль потока без притока и оттока)
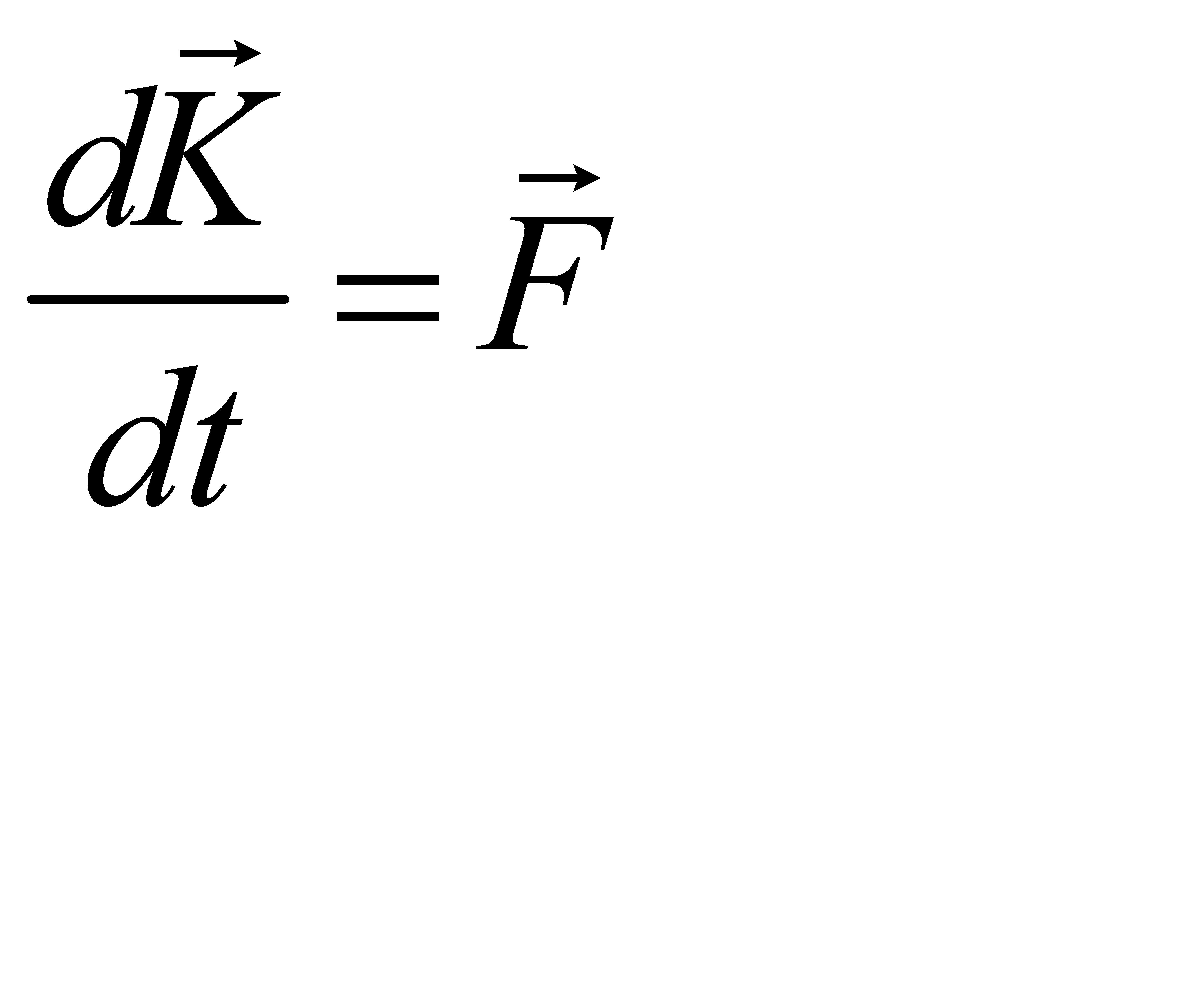
- количественного движения Гидравлическое уравнение, выражающее второй закон механики Ньютона: производная по времени от вектора количества движения равна главному вектору внешних сил, действующих на выделенный контрольный объем жидкой среды
- баланса механической энергии Уравнение в единицах объемной плотности потенциальной и кинетической энергии с учетом потерянной (рассеянной) энергии, измеренной в Па. Уравнение в единицах весовой плотности энергии – уравнение Бернулли
Ускорение - локальное Изменение скорости во времени в данной точке пространства, занятого потоком жидкой среды в связи с нестационарностью (изменчивостью) поля скоростей
- конвективное Характеризует изменение скорости в связи с переносом частицы из одной точки в другую за бесконечно малый интервал времени, обусловленное неоднородностью поля скоростей
Фаза гидравлического удара Время пробега ударной волны двойной длины трубопровода, равное отношению двойной длины к скорости распространения ударной волны
Формула Жуковского прямого гидравлического удара Выражает зависимость величины ударного давления от скорости стационарного движения, скорости распространения ударной волны и плотности жидкости  
-Альтшуля Зависимость коэффициента гидравлического трения в трубах от числа Рейнольдса и относительной шероховатости в доквадратичной области сопротивления
- Блазиуса Зависимость коэффициента гидравлического трения от числа Рейнольдса в области гидравлически гладкого сопротивления
Борда Зависимость коэффициента местного сопротивления при резком расширении потока при напорном давлении
Вейсбаха Зависимость потери давления (напора) в местном сопротивлении от пограничной геометрии
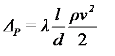
Вейсбаха-Дарси Зависимость потери давления (напора) по длине потока, выраженная через динамическое давление (динамический напор)
Котельная Зависимость растягивающих напряжений в трубе от давления, диаметра и толщины стенки трубы. Аналогичная зависимость для сферы
Характеристика - насоса рабочая Зависимость подачи, мощности и КПД от давления (напора)
- гидродвигателя объемного Зависимость развиваемого усилия (момента), мощности и КПД от скорости (частоты вращения) исполнительного механизма
- насоса кавитационная Зависимость подачи, мощности и КПД от величины вакуума в полости всасывания насоса
- трубопровода Зависимость пропускаемого расхода от перепада давления (напора)
Характеристическое уравнение Уравнение знаменателя передаточной функции САУ в оперативной форме, приравненного к нулю
Центр давления Точка, в которой приложена сила гидростатического давления
Циркуляция скорости Циркуляция скорости на некоторой кривой равна интегралу вдоль этой кривой от скалярного произведения вектора скорости на дифференциал вектора перемещения вдоль этой кривой
Число Вебера We Величина, пропорциональная отношению сил поверхностного натяжения к силам инерции (безразмерная величина)
- Ньютона Ne Общий безразмерный критерий гидродинамического подобия (отношение силы к силам инерции)
- Маха M Величина, равная отношению скорости потока газа и скорости звука в газе
- Рейнольдса Re Величина, характеризующая соотношения в потоке сил инерции к силам вязкости
- Струхаля Sh Число, характеризующее колебание жидкости, составленное из скорости потока, линейного размера колеблющегося тела и частоты в виде дроби, числитель которой равен произведению частоты на линейный размер, а знаменатель - скорость
- Фруда Fr Число в виде дроби, составленной в виде квадрата скорости на произведение двух величин: ускорение силы тяжести на линейный размер, характеризует соотношение в открытом потоке сил тяжести и инерции
- Эйлера Еu Число в виде дроби, числитель которой равен перепаду давления, а знаменатель - динамическое давление, которое характеризует соотношение в потоке статистического и динамического давлений
Шероховатость – зернистая (песочная) Искуственная шероховатость стенок трубы, создаваемая колиброванным песком, наклеиваемым изнутри на стенки. Создавалось для проведения серии опытов в Гетингенстском университете в Германии исследователем И. Никурадзе под руководством Л. Прандтля - немецкого ученого в области гидроаэродинамики (1815 – 1953 гг.)
- относительная Шероховатость, отнесенная к линейному параметру (в трубах - к диаметру)
Эксцентриситет осей Смещение оси вращения вала от его геометрической оси
Энергия - внутренняя удельная (газа) Энергия выделенного объема газа, связанная с его термодинамическим состоянием
- кинетическая удельная Кинетическая энергия потока жидкой среды, отнесенная к единице объема, размерностью давления (динамического)
- потенциальная (удельная) Потенциальная энергия единицы объема жидкой среды, отнесенная к единице объема, размерностью давления (статического)
Энтальпия Удельная энергия выделенного объема газа, состоящая из внутренней энергии и удельной (отнесенной к единице массы) потенциальной энергии
Ядро турбулентное Основная часть потока в поперечном сечении за исключением вязкого подслоя при турбулентном режиме течения в трубах

 

3.3.2. Принятые обозначения:




Поделиться с друзьями:


Дата добавления: 2015-05-23; Просмотров: 1533; Нарушение авторских прав?; Мы поможем в написании вашей работы!


Нам важно ваше мнение! Был ли полезен опубликованный материал? Да | Нет



studopedia.su - Студопедия (2013 - 2025) год. Все материалы представленные на сайте исключительно с целью ознакомления читателями и не преследуют коммерческих целей или нарушение авторских прав! Последнее добавление




Генерация страницы за: 0.013 сек.