Студопедия

КАТЕГОРИИ:


Архитектура-(3434)Астрономия-(809)Биология-(7483)Биотехнологии-(1457)Военное дело-(14632)Высокие технологии-(1363)География-(913)Геология-(1438)Государство-(451)Демография-(1065)Дом-(47672)Журналистика и СМИ-(912)Изобретательство-(14524)Иностранные языки-(4268)Информатика-(17799)Искусство-(1338)История-(13644)Компьютеры-(11121)Косметика-(55)Кулинария-(373)Культура-(8427)Лингвистика-(374)Литература-(1642)Маркетинг-(23702)Математика-(16968)Машиностроение-(1700)Медицина-(12668)Менеджмент-(24684)Механика-(15423)Науковедение-(506)Образование-(11852)Охрана труда-(3308)Педагогика-(5571)Полиграфия-(1312)Политика-(7869)Право-(5454)Приборостроение-(1369)Программирование-(2801)Производство-(97182)Промышленность-(8706)Психология-(18388)Религия-(3217)Связь-(10668)Сельское хозяйство-(299)Социология-(6455)Спорт-(42831)Строительство-(4793)Торговля-(5050)Транспорт-(2929)Туризм-(1568)Физика-(3942)Философия-(17015)Финансы-(26596)Химия-(22929)Экология-(12095)Экономика-(9961)Электроника-(8441)Электротехника-(4623)Энергетика-(12629)Юриспруденция-(1492)Ядерная техника-(1748)

Воздушный винт (20 мин.)




Воздушный винт, пропеллер — лопаточная машина (лопастной агрегат), приводимый во вращение двигателем и предназначенный для преобразования мощности (крутящего момента) двигателя в тягу. Воздушный винт применяется в качестве движителя для самолётов, автожиров и вертолётов с поршневыми и турбовинтовыми двигателями, а также в том же качестве — для экранопланов, аэросаней, аэроглиссеров и судов на воздушной подушке. У автожиров и вертолётов воздушный винт применяется также в качестве несущего винта, а у одновинтовых вертолётов еще и в качестве рулевого винта (у двухвинтовых тоже). В зависимости от наличия возможности изменения шага лопастей воздушный винт подразделяются на винты неизменяемого шага, фиксированного шага и изменяемого шага. В зависимости от способа использования воздушные винты делятся на тянущие и толкающие.

Лопасти винта, вращаясь, захватывают воздух и отбрасывают его в направлении, противоположном движению. Перед винтом создаётся зона пониженного давления, за винтом — повышенного. Вращение лопастей воздушного винта приводит к тому, что отбрасываемые им массы воздуха приобретают окружные и радиальные направления и на это расходуется часть энергии, подводимой к винту.

К аэродинамическим характеристикам воздушных винтов относятся угол атаки и тяга воздушного винта.

Углом атаки элементов лопасти винта  называется угол между хордой элемента и направлением его истинного результирующего движения W (рис.11).

Рис. 11 Угол установки и угол атаки лопастей: а - угол атаки элемента лопасти, б - скорости элемента лопасти

 

Каждый элемент лопасти совершает сложное движение, состоящее из вращательного и поступательного. Вращательная скорость равна

где n с - обороты двигателя.

Поступательная скорость -это скорость самолета V. Чем дальше элемент лопасти находится от центра вращения воздушного винта, тем больше вращательная скорость U.

При вращении винта каждый элемент лопасти будет создавать аэродинамические силы, величина и направление которых зависят от скорости движения самолета (скорости набегающего потока) и угла атаки.

Рассматривая рис.11, а, нетрудно заметить, что:

- когда воздушный винт вращается, а поступательная скорость равна нулю (V=0), то каждый элемент лопасти винта имеет угол атаки, равный углу установки элемента лопасти ;

- при поступательном движении воздушного винта угол атаки элемента лопасти винта отличается от угла наклона элемента лопасти винта (становится меньше его);

- угол атаки будет тем больше, чем больше угол установки элемента лопасти винта;

- результирующая скорость вращения элемента лопасти винта W равна геометрической сумме поступательной и вращательной скоростей и находится по правилу прямоугольного треугольника:

чем больше вращательная скорость, тем больше угол атаки элемента лопасти воздушного винта. И наоборот, чем больше поступательная скорость воздушного винта, тем меньше угол атаки элемента лопасти воздушного винта.

В действительности картина получается сложнее. Так как винт засасывает и вращает воздух, отбрасывает его назад, сообщая ему дополнительную скорость v, которую называют скоростью подсасывания. В результате истинная скорость W' будет по величине и направлению отличаться от скорости подсасывания, если их сложить геометрически. Следовательно, и истинный угол атаки ' будет отличаться от угла (рис.11, б).

Анализируя вышесказанное, можно сделать выводы:

при поступательной скорости V=0 угол атаки максимальный и равен углу установки лопасти винта;

при увеличении поступательной скорости угол атаки уменьшается и становится меньше угла установки;

при большой скорости полета угол атаки лопастей может стать отрицательным;

чем больше скорость вращения воздушного винта, тем больше угол атаки его лопасти;

если скорость полета неизменна и обороты двигателя уменьшаются, то угол атаки уменьшается и может стать отрицательным.

Сделанные выводы объясняют, как изменяется сила тяги винта неизменяемого шага при изменении скорости полета и числа оборотов.

Сила тяги винта возникает в результате действия аэродинамической силы R на элемент лопасти винта при его вращении (рис.12).

Разложив эту силу на две составляющие, параллельную оси вращения и параллельную плоскости вращения, получим силу Р и силу сопротивления вращению Х элемента лопасти винта.

Суммируя силу тяги отдельных элементов лопасти винта и приложив ее к оси вращения, получим силу тяги винта Р.

Тяга винта зависит от диаметра винта Д, числа оборотов в секунду n, плотности воздуха и подсчитывается по формуле (в кгс или Н)

где - коэффициент тяги винта, учитывающий форму лопасти в плане, форму профиля и угла атаки, определяется экспериментально. Коэффициент тяги воздушного винта самолетов Як-52 и Як-55 В530ТА-Д35 равен 1,3.

Таким образом, сила тяги винта прямо пропорциональна своему коэффициенту, плотности воздуха, квадрату числа оборотов винта в секунду и диаметру винта в четвертой степени.

Так как лопасти винта имеют геометрическую симметрию, то величины сил сопротивления и удаления их от оси вращения будут одинаковые.

Сила сопротивления вращению определяется по формуле

где Схл -коэффициент сопротивления лопасти, учитывающий ее форму в плане, форму профиля, угол атаки и качество обработки поверхности;

W - результирующая скорость, м/с;

- площадь лопасти;

К - количество лопастей.

 

Рис. 12 Аэродинамические силы воздушного винта

Рис. 13 Режимы работы воздушного винта

 

Сила сопротивления вращению винта относительно его вращения создает момент сопротивления вращению винта, который уравновешивается крутящим моментом двигателя:

Мтрвrв

Крутящий момент, создаваемый двигателем, определяется (в кгс-м) по формуле

где Ne -эффективная мощность двигателя.

Рассмотренный режим называется режимом положительной тяги винта, так как эта тяга тянет самолет вперед (рис.12, а). При уменьшении угла атаки лопастей уменьшаются силы Р и Х (уменьшается тяга винта и тормозящий момент). Можно достичь такого режима, когда Р=0 и X=R. Это режим нулевой тяги (рис.12, б).

При дальнейшем уменьшении угла атаки достигается режим, когда винт начнет вращаться не от двигателя, а от действия сил воздушного потока. Такой режим называется самовращением винта или авторотацией (рис.12, в).

При дальнейшем уменьшении угла атаки элементов лопасти винта получим режим, на котором сила сопротивления лопасти винта Х будет направлена в сторону вращения винта, и при этом винт будет иметь отрицательную тягу. На этом режиме винт вращается от набегающего воздушного потока и вращает двигатель. Происходит раскрутка двигателя, этот режим называется режимом ветряка (рис.12, г).

Режимы самовращения и ветряка возможны в горизонтальном полете и на пикировании.

 

Технические параметры:

Определяющими являются диаметр и шаг винта. Шаг винта соответствует воображаемому расстоянию, на которое передвинется винт, ввинчиваясь в плохосжимаемую среду на один оборот. Существуют винты с изменяемым шагом, как на земле, так и в полёте, последние получили распространение в конце 1930-х годов.

Исходными данными для подбора винтов обычно являются мощность двигателя Nдв (л. с.), частота вращения воздушного винта пв, максимальная скорость движения (полета) Vмакс (км/ч) и расчетная скорость для винта Vp (км/ч).

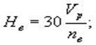
Воздушный винт фиксированного шага, является однорежимным. Это означает, что максимальный КПД он обеспечивает только на одной - расчетной - скорости и (для летательного аппарата) только на одной расчетной высоте. Наивыгоднейшую скорость набора (Vнаб) для самолета можно ориентировочно определить по специальной номограмме, или подсчитать по следующей эмпирической формуле:

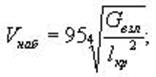
, где G взл - взлетный вес, l кр- размах крыла.

 

Для пилотажного самолета, развивающего высокую скорость в пикировании, необходим воздушный винт фиксированного шага, который в режиме ветряка не раскручивался бы до, оборотов, превышающих предельно допустимые. В противном случае следует установить пропеллер несколько большего шага или винт с автоматически изменяемым шагом.

Определение диаметра и шага винта возможно по монограммам или по эмпирическим формулам:

 

 

где Dв,- диаметр винта (м), Нв - шаг винта (м), Nдв - мощность двигателя (л. с.), nв-частота вращения винта (мин-1), Vмакс - максимальная скорость (км/ч).

 

Если конструктивные особенности не позволяют использовать винт рекомендованного диаметра, следует учитывать, что при уменьшении диаметра на 10... 12%, по сравнению с определенными по номограмме, надо перейти к трехлопастному винту. При занижении диаметра на 15% и более - стоит подумать уже о применении четырех-лопастного пропеллера. При уменьшении диаметра на 20% относительно расчетного придется уже подумать о повышении частоты вращения винта или же изменении компоновки транспортного средства.

При занижении диаметра винта иногда рекомендуют увеличивать ширину лопастей или же шага. Действительно, это позволяет снимать с двигателя всю мощность, но КПД аэродвижителя при этом неизбежно падает.

Толкающий винт по сравнению с расчетным должен иметь меньший на 5...10% шаг.

Ширина лопасти в каждом сечении определяется по формуле:

 

где b - относительная ширина лопасти (%).

Максимальная хорда лопасти в плановой проекцит должна составлять 0,08...0,1 Dв.

Форма лопасти может быть эллиптической, веслообразной, саблевидной или какой-либо иной. Практика показывает, что в реальных условиях характеристики винта от формы лопасти практически не зависят.

Для лопастей винта используются обычно крыльевые профили. Следует, правда учесть, что по ряду причин чаще предпочтение отдается плоско-выпуклым лопастям.

Кратко о конструкции деревянного воздушного винта. Заготовка такого винта получается методом переклейки из брусков дерева (примерно сечением 20Х60 мм). Для соединения брусков используются эпоксидные смолы. Для изготовления винтов обычно применяются достаточно твердые и тяжелые породы древесины (иногда сосну). Древесина, по сути, выполняет роль жесткого легкого заполнителя, а прочность достигается последующей оклейкой готового винта двумя слоями стеклоткани на эпоксидном связующем. Передняя кромка лопасти оконтовывается пластинами (из резины, латуни) для предотвращения преждевременного выхода винта из строя. Однако если окантовка закрепляется на винте заклепками, ресурс винта оказывается невысоким, поэтому окантовка (из латуни) вначале припаивается к металлической сетке, которая затем наклеивается на лопасть и покрывается стеклотканью. Далее лопасть шпаклюется, вышкуривается и окрашивается. В результате получается поверхность очень высокого качества.




Поделиться с друзьями:


Дата добавления: 2015-05-08; Просмотров: 4606; Нарушение авторских прав?; Мы поможем в написании вашей работы!


Нам важно ваше мнение! Был ли полезен опубликованный материал? Да | Нет



studopedia.su - Студопедия (2013 - 2025) год. Все материалы представленные на сайте исключительно с целью ознакомления читателями и не преследуют коммерческих целей или нарушение авторских прав! Последнее добавление




Генерация страницы за: 0.011 сек.