Студопедия

КАТЕГОРИИ:


Архитектура-(3434)Астрономия-(809)Биология-(7483)Биотехнологии-(1457)Военное дело-(14632)Высокие технологии-(1363)География-(913)Геология-(1438)Государство-(451)Демография-(1065)Дом-(47672)Журналистика и СМИ-(912)Изобретательство-(14524)Иностранные языки-(4268)Информатика-(17799)Искусство-(1338)История-(13644)Компьютеры-(11121)Косметика-(55)Кулинария-(373)Культура-(8427)Лингвистика-(374)Литература-(1642)Маркетинг-(23702)Математика-(16968)Машиностроение-(1700)Медицина-(12668)Менеджмент-(24684)Механика-(15423)Науковедение-(506)Образование-(11852)Охрана труда-(3308)Педагогика-(5571)Полиграфия-(1312)Политика-(7869)Право-(5454)Приборостроение-(1369)Программирование-(2801)Производство-(97182)Промышленность-(8706)Психология-(18388)Религия-(3217)Связь-(10668)Сельское хозяйство-(299)Социология-(6455)Спорт-(42831)Строительство-(4793)Торговля-(5050)Транспорт-(2929)Туризм-(1568)Физика-(3942)Философия-(17015)Финансы-(26596)Химия-(22929)Экология-(12095)Экономика-(9961)Электроника-(8441)Электротехника-(4623)Энергетика-(12629)Юриспруденция-(1492)Ядерная техника-(1748)

Трудности и осложнения при искусственной вентиляции легких




 

1. Повышение пикового давления в дыха­тельных путях на вдохе (ПДВ) всегда представ­ляет серьезную проблему. Это явление может встречаться лишь при использовании частот­ных или объемно-циклических респираторов, а также в случае неисправности прессоциклических респираторов. Давление может повышать­ся лишь до верхнего предела, на который ус­тановлен предохранительный клапан. В повы­шении ПДВ можно выделить 3 фактора. Пер­вый — это давление в конце выдоха, которое, возрастая при неисправности клапана выдоха или системы шлангов, может отменять или за­держивать выдох, увеличивая, таким образом, давление и на выдохе, и на вдохе.

2. Два других фактора ПДВ можно опреде­лить при задержке выдоха и измерении пиково­го давления и давления в фазу плато. Зависи­мость давления в фазу плато (статическое дав­ление) и дыхательного объема отражает общую (грудной стенки плюс легкие) статическую по­датливость. Показателем сопротивления пото­ку воздуха является разница между пиковым давлением и давлением в фазу плато.

3. Причиной высокого сопротивления дыха­тельному потоку может быть обструкция в кон­туре респиратора между местом, где произво­дится измерение и эндотрахеальной трубкой. Повышению сопротивления также способ­ствует обструкция интубационной трубки, на­пример при ее сгибании, обструкции секретом, либо при пережатии зубами, если речь идет об оротрахеальной трубке. Наблюдение за рабо­той респиратора, герметичностью и проходи­мостью его контура и воздуховода относится к наиважнейшим обязанностям персонала отде­ления интенсивной терапии. Недостаточное ув­лажнение вдыхаемой газовой смеси может при­вести к затвердеванию секрета на стенке инту­бационной трубки, а поломка обогревателя — к ожогам дыхательных путей пациента. Утечка газовой смеси в контуре более выражена при высоком пиковом давлении на вдохе, что при­водит к снижению МОД и развитию гиперкапнии. Важное значение имеет измерение величи­ны фракции кислорода в дыхательной смеси (FiO2), так как эта величина может изменяться, например, при колебании давления стенки по­дающих к смесителю газ трубок.

4. Разрыв легкого может привести к проник­новению газа в интерстиций легочной ткани, что нередко предшествует более значительному распространению газа. В дальнейшем возмож­но образование пневмомедиастинума, пневмоперикарда, пневмоторакса и пневмоперитонеума, а также подкожной эмфиземы. Изредка развивается газовая эмболия артерий большого круга кровобращения. К признакам пневмото­ракса, из которых не все могут быть выявлены, относятся: снижение звучности дыхательных шумов, тимпанит при перкуссии, смещение тра­хеи, а также повышенная проводимость звука с боковой поверхности стенки грудной клетки к срединной линии. Встречаются и неспецифи­ческие изменения уровня системного артери­ального давления, которые могут выражаться как в гипо-, так и гипертензии. Желательно подтвердить диагноз рентгенограммой грудной клетки, если только состояние больного не тре­бует немедленной эвакуации воздуха из плев­ральной полости посредством пункции грудной клетки.

5. Увеличение объема брюшной полости обычно объясняется скоплением газа в желудке и кишечнике, и может быть следствием ИВЛ положительным давлением. Сложнее разо­браться в причине появления свободного воз­духа в брюшной полости; при дифференциаль­ной диагностике следует учитывать возможность разрыва органов желудочно-кишечного тракта.

6. Причина двигательного возбуждения больного может быть простой и легкоустранимой, например неудобное положение в кровати. Применение седативных и наркотических пре­паратов описано ниже по ходу схемы, чтобы еще раз подчеркнуть, что их назначение оправ­дано лишь после того, как исключены другие, потенциально опасные для жизни больного причины двигательного возбуждения.

7. Вновь выявляемые нарушения могут объ­ясняться как развитием новых, так и усугубле­нием прежних расстройств; при этом вентиля­ция положительным давлением может обо­стрить их. Например, повышение внутригрудного давления без увеличения венозного давле­ния за пределами грудной клетки приводит к дефициту венозного возврата; обычно это случается лишь при гиповолемии или дилатации вен. Венозный возврат снижается при избыточ­ном феномене «ловушки» газа в легких вслед­ствие высокой частоты или объема вентиляции, особенно у больных с ХНЗЛ. Увеличение веноз­ного давления также повышает внутричереп­ное давление. Вентиляция с положительным давлением может приводить к повышению легочного сосудистого сопротивления, следстви­ем чего является шунтирование крови справа налево. Отек легких вследствие задержки жидкости возникает, возможно, из-за повышения уровня антидиуретического гормона (АДГ), вызванного положительным внутригрудным давлением.


Глава 57

ПРЕКРАЩЕНИЕ ИСКУССТВЕННОЙ ВЕНТИЛЯЦИИ ЛЕГКИХ

 

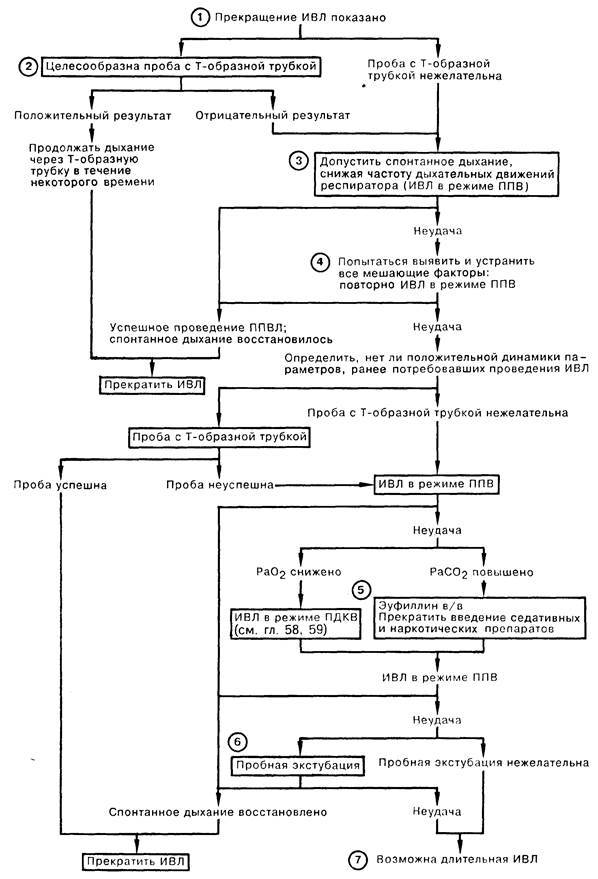
1. Показанием для прекращения ИВЛ слу­жит положительная динамика тех симптомов и признаков, ухудшение которых ранее потре­бовало проведения искусственной вентиляции. Таким образом, универсальных критериев для прекращения ИВЛ нет.

2. Попытка дыхания увлажненным кисло­родом через Т-образную трубку показана лишь в случае, если существует высокая вероятность положительного результата. Примером может быть ситуация, когда ИВЛ проводили в течение заданного периода после неосложненного опе­ративного вмешательства на сердце. При этом больной должен находиться в сознании, спосо­бен сделать глубокий вдох без втяжения межре­берных промежутков, а также чувствовать себя в силах дышать самостоятельно, при этом у не­го должна отмечаться стабильная гемодинамика. Предсказать положительный результат про­цедуры можно на основании определения ЖЕЛ более 10 мл/кг массы тела, а также при макси­мальном отрицательном давлении на вдохе ниже - 20 см вод. ст.; однако ЖЕЛ и при более низких значениях может обеспечивать поддер­жание самостоятельного дыхания. Положитель­но процедуру оценивают в том случае, если от­мечается удовлетворительное самочувствие больного, стабильное состояние гемодинамики, частота дыхания менее 30 циклов/мин, удовле­творительное РаО2 (например, свыше 100 мм рт.ст. при фракции кислорода во вдыхаемой газовой смеси 1,0). а также если уровень РаСО2 составляет менее 50 мм рт.ст. При удачном проведении теста ИВЛ следует немедленно пре­кратить. Эта рекомендация изменяется при на­личии индивидуальных показаний к ИВЛ, а так­же в случае, если ИВЛ проводилась более 2 сут.

3. Если проба с Т-образной трубкой боль­ному не рекомендована, следует начать сниже­ние минутной частоты вентиляции для увеличе­ния «вклада» спонтанного дыхания, т.е. прово­дить ИВЛ в режиме перемежающейся принуди­тельной вентиляции (ППВЛ). Этот метод безопаснее и легче регулируется по сравнению с пробой дыхания через Т-образную трубку. Снижение частоты дыханий проводится по про­извольно выбранному графику; если первона­чально частота дыханий составляла 14 в 1 мин, в дальнейшем можно снижать эту частоту на 2 цикла/мин каждые 4 ч. Адекватность ответа больного на каждую ступень снижения частоты искусственной вентиляции оценивается по кли­ническим признакам, стабильности гемодина­мики, уровням РаСО2 и РаО2.

4. Следует выявлять факторы, которые мо­гут способствовать успешному проведению ИВЛ. Неисправность оборудования может стать причиной повышения сопротивления вдо­ху или выдоху. У больного может продолжать­ся действие препаратов, вызывающих централь­ное угнетение дыхания; в некоторых случаях действие наркотиков продолжается до 10 сут. По возможности следует прекратить введение препаратов, вызывающих бронхоконстрикцию (анаприлин). Миорелаксанты могут иметь пролонгированное действие у больных с печеноч­ной или почечной недостаточностью. Блокада нервно-мышечных синапсов встречается в качестве побочного эффекта некоторых антибиоти­ков, например стрептомицина, неомицина или гентамицина. Гипофосфатемия и гипомагниемия также приводят к мышечной слабости. Ва­жное значение имеет правильное питание боль­ных. Следует помнить о возможности существования миастении или периферического не­врита независимо от основного заболевания. Наконец, причиной неудачи может быть отсут­ствие адекватной психологической поддержки.

5. Причиной гиперкапнии нередко бывает угнетение центральной регуляции дыхания. Введение эуфиллина не только приводит к бронходилатации, повышению силы сокраще­ний диафрагмы и миокарда желудочков, увели­чению диуреза, а также стимулирует вентиля­цию.

6. Причиной неудачи может быть оставле­ние в трахее интубационной трубки, поэтому желательно провести экстубацию. В этом слу­чае требуется тщательное наблюдение за боль­ным, а также готовность персонала, способного провести повторную интубацию.

7. Иногда единственным выходом является проведение длительной ИВЛ. Следует рассмо­треть возможность использования устройств типа «качающаяся кровать» и кирасного респи­ратора. При сохранной функции диафрагмы возможна электрическая стимуляция нервов диафрагмы.


Глава 58

ИСКУССТВЕННАЯ ВЕНТИЛЯЦИЯ ЛЕГКИХ С ПОСТОЯННЫМ ПОЛОЖИТЕЛЬНЫМ ДАВЛЕНИЕМ В ДЫХАТЕЛЬНЫХ ПУТЯХ

 

Искусственная вентиляция с постоянным положительным давлением заключается в под­держании положительного давления в дыха­тельных путях во всех фазах дыхательного цик­ла. Положительное давление в конце выдоха (ПДКВ) увеличивает остаточную функциональ­ную емкость легких, расправляет спавшиеся альвеолы. ПДКВ приводит к уменьшению той части сердечного выброса (Qt), которая не уча­ствует в газообмене в легких (Q8), а следова­тельно, уменьшается фракция шунтируемой крови (Q8/Qt).

 

1. ПДКВ используют для увеличения РаО2 или уменьшения FiO2 при искусственной венти­ляции у больных с острым заболеванием лег­ких. Этот вид ИВЛ также помогает поддержи­вать проходимость дыхательных путей у боль­ных с хроническими заболеваниями легких, в том числе бронхиальной астмой. Не доказано, что ПДКВ ускоряет раснравлсние спавшегося легкого; при отеке легких ПДКВ не снижает со­держание жидкости в легких. Прежде чем уста­новить ПДКВ, следует убедиться в том, что на­блюдаемое снижение РаО2, не вызвано такими гемодинамическими нарушениями, как шок, также необходимо установить отсутствие ос­ложнений, например пневмоторакса.

2. Хотя ПДКВ улучшает работу сердца бла­годаря повышению РаО2, снижению преднагрузки и, возможно, уменьшению постнагрузки левого желудочка, в то же время оно может приводить и к неблагоприятному гемодинамическому эффекту из-за снижения наполнения правого желудочка. Следствием этого эффекта является уменьшение системного АД; более достоверны определяемые изменения сердечного выброса, содержания кислорода в смешанной венозной крови, рН крови, а также уменьшение мочеиспускания. При возникновении подобных нарушений ПДКВ следует устранить, а наруше­ния гемодинамики скомпенсировать либо в/в введением жидкости (при легочном капилляр­ном давлении заклинивания менее 10 мм рт. ст.), либо при Ркз свыше 10 мм рт. ст. инфузией дофамина или добутамина. При необходимо­сти проводят гемотрансфузию для поддержа­ния уровня гемоглобина свыше 120 г/л.

3. Оптимальный уровень ПДКВ приводит к наименьшим осложнениям и минимальному риску летального исхода, однако следует заме­тить, что в настоящее время не имеется проспективного исследования по влиянию ПДКВ на количество осложнений и смертность боль­ных при использовании ИВЛ. Для определения оптимального уровня ПДКВ различные авторы предлагали следующие критерии: максималь­ные значения транспорта кислорода, потребле­ния кислорода, общей податливости; и мини­мальные шунтирования крови и градиента СО2 в артериальной крови и дыхательной сме­си в конце вдоха. Ни один из этих критериев не является идеальным для прогнозирования ре­зультатов ИВЛ с ПДКВ. Выбор оптимального уровня остается произвольным; мы определяем его как уровень, при котором достигается уме­ренное, прогрессирующее снижение доли шун­тируемой крови с поддержанием системной перфузии на удовлетворительном уровне. Рас­считать долю шунтируемой крови можно, зная содержание кислорода в смешанной венозной крови в образце, полученном при катетериза­ции легочной артерии, либо приблизительно по РаО2 при FiO2 = 1,0. Тестирование с высоким уровнем FiO2 является чувствительным мето­дом для динамического наблюдения, но само по себе повышение содержания кислорода влияет на выраженность шунтирования. Под­держивающий уровень FiO2, выбирается таким образом, чтобы достичь безопасного РаО2, т.е. значения примерно 65 мм рт. ст. Адекватность системной перфузии определяют, как в пунк­те 2.

4. Снижение ПДКВ можно осуществить при достаточном улучшении состояния больного. При этом определение показателей газообмена служит более достоверным признаком, чем по­ложительная динамика на рентгенограмме грудной клетки. Мы используем в качестве ориентира сохранение уровня шунтируемой крови менее 0,19 в течение примерно одних су­ток; уровень РаO2, при FiO2 = 1,0 более 300 мм рт. ст., а также возможность снизить уровень FiO2 до 0,6 или ниже. Изменение доли шунти­руемой крови через 30 мин после снижения ПДКВ служит показателем возможности прекращения ПДКВ. При проведении этого теста увеличение количества шунтируемой крови не должно превышать 0,02. Преждевременный от­каз от ПДКВ может привести к увеличению все­го периода ИВЛ.

5. У некоторых больных бывает невозмож­но снизить шунтирование менее 0,19 (напри­мер, при наличии внутрисердечного шунта);

в этих случаях следует принять и более высокие показатели шунтирования. Следует допустить возможность успешного прекращения ПДКВ, если шунтирование не возрастает при времен­ном снижении давления в конце выдоха. Неко­торые авторы предлагают поддерживать низ­кий уровень ПДКВ у всех интубированных взрослых больных. Мы не руководствуемся этим правилом, однако известно, что эта прак­тика относительно безвредна. До прекращения ИВЛ следует оценить эффект нулевого ПДКВ.

 


Глава 59




Поделиться с друзьями:


Дата добавления: 2015-05-09; Просмотров: 1017; Нарушение авторских прав?; Мы поможем в написании вашей работы!


Нам важно ваше мнение! Был ли полезен опубликованный материал? Да | Нет



studopedia.su - Студопедия (2013 - 2025) год. Все материалы представленные на сайте исключительно с целью ознакомления читателями и не преследуют коммерческих целей или нарушение авторских прав! Последнее добавление




Генерация страницы за: 0.012 сек.