Студопедия

КАТЕГОРИИ:


Архитектура-(3434)Астрономия-(809)Биология-(7483)Биотехнологии-(1457)Военное дело-(14632)Высокие технологии-(1363)География-(913)Геология-(1438)Государство-(451)Демография-(1065)Дом-(47672)Журналистика и СМИ-(912)Изобретательство-(14524)Иностранные языки-(4268)Информатика-(17799)Искусство-(1338)История-(13644)Компьютеры-(11121)Косметика-(55)Кулинария-(373)Культура-(8427)Лингвистика-(374)Литература-(1642)Маркетинг-(23702)Математика-(16968)Машиностроение-(1700)Медицина-(12668)Менеджмент-(24684)Механика-(15423)Науковедение-(506)Образование-(11852)Охрана труда-(3308)Педагогика-(5571)Полиграфия-(1312)Политика-(7869)Право-(5454)Приборостроение-(1369)Программирование-(2801)Производство-(97182)Промышленность-(8706)Психология-(18388)Религия-(3217)Связь-(10668)Сельское хозяйство-(299)Социология-(6455)Спорт-(42831)Строительство-(4793)Торговля-(5050)Транспорт-(2929)Туризм-(1568)Физика-(3942)Философия-(17015)Финансы-(26596)Химия-(22929)Экология-(12095)Экономика-(9961)Электроника-(8441)Электротехника-(4623)Энергетика-(12629)Юриспруденция-(1492)Ядерная техника-(1748)

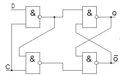
RS-триггер синхронный

Получение диэтилового эфира.

Опыт №7.

Опыт №6.

Взаимодействие пропантриола (глицерина) с гидроксидом меди(II).

В пробирку помещают 2 капли раствора сульфата меди и 2 капли раствора гидроксида натрия и перемешивают. Что выпадает в осадок?

В пробирку добавляют одну каплю глицерина и взбалтывают содержимое. Что произошло с осадком? Как изменилась окраска?

Запишите химизм процесса. Глицерин - трёхатомный спирт. Кислотность его больше, чем одноатомных спиртов: почему?

 

В сухую пробирку помещают 2 капли этанола и 2 капли серной кислоты. Смесь осторожно нагревают над пламенем спиртовки до побурения раствора. К горячей смеси очень осторожно добавляют ещё 2 капли этанола. Ощущается характерный запах диэтилового эфира. Запишите химизм процесса.

 

Контрольные вопросы:

1.Какие продукты образуются при окислении первичных, вторичных, третичных спиртов? Ответ подтвердите уравнениями реакций.

2. В чём выражается генетическая связь между веществами: C4H8, C4H9OH, C3H7OH? Дайте обоснованный ответ.

3. Почему многоатомные спирты реагируют с щелочами, а одноатомные не реагируют?

4. Какие продукты могут ещё быть получены при проведении опыта №7?

 

 

 

 

D-триггер синхронный

 

 

JK-триггер

 

Вывод: в ходе лабораторной работы были рассмотрены схемы триггеров на логических элементах и были получены их таблици истинности

<== предыдущая лекция | следующая лекция ==>
Окисление этанола перманганатом калия | Ход работы. Предположим, что вы хотите создать телефонную книгу или получить список всех учеников, занимающихся у определенного преподавателя
Поделиться с друзьями:


Дата добавления: 2015-05-10; Просмотров: 436; Нарушение авторских прав?; Мы поможем в написании вашей работы!


Нам важно ваше мнение! Был ли полезен опубликованный материал? Да | Нет



studopedia.su - Студопедия (2013 - 2026) год. Все материалы представленные на сайте исключительно с целью ознакомления читателями и не преследуют коммерческих целей или нарушение авторских прав! Последнее добавление




Генерация страницы за: 0.011 сек.