Студопедия

КАТЕГОРИИ:


Архитектура-(3434)Астрономия-(809)Биология-(7483)Биотехнологии-(1457)Военное дело-(14632)Высокие технологии-(1363)География-(913)Геология-(1438)Государство-(451)Демография-(1065)Дом-(47672)Журналистика и СМИ-(912)Изобретательство-(14524)Иностранные языки-(4268)Информатика-(17799)Искусство-(1338)История-(13644)Компьютеры-(11121)Косметика-(55)Кулинария-(373)Культура-(8427)Лингвистика-(374)Литература-(1642)Маркетинг-(23702)Математика-(16968)Машиностроение-(1700)Медицина-(12668)Менеджмент-(24684)Механика-(15423)Науковедение-(506)Образование-(11852)Охрана труда-(3308)Педагогика-(5571)Полиграфия-(1312)Политика-(7869)Право-(5454)Приборостроение-(1369)Программирование-(2801)Производство-(97182)Промышленность-(8706)Психология-(18388)Религия-(3217)Связь-(10668)Сельское хозяйство-(299)Социология-(6455)Спорт-(42831)Строительство-(4793)Торговля-(5050)Транспорт-(2929)Туризм-(1568)Физика-(3942)Философия-(17015)Финансы-(26596)Химия-(22929)Экология-(12095)Экономика-(9961)Электроника-(8441)Электротехника-(4623)Энергетика-(12629)Юриспруденция-(1492)Ядерная техника-(1748)

Уравнение теплопроводности




Для вывода уравнения теплопроводности используем уравнение теплового баланса, которое является следствием закона сохранения энергии и констатирует:

Разность между притоками тепла выделенного объема и оттоком тепла из выделенного объема, равняется измененного количества тепла в этом объеме.

Изменение количества тепла
Отток тепла
Приток тепла

 

За время dt в стержень через левую грань поступает количество тепла

R q(x) · S ·dt (1)

За это время через правую грань уходит количество тепла

q(x + dx) · S · dt (2)

В (1) и (2): q – плотность потока тепла [q] – Дж/м2·с; S – площадь сечения стержня [S] – м2

[q· S·dt] = Дж/м2·с ·м2·с = Дж

Пусть q = 5Дж/м2·с

Согласно уравнению теплового баланса:

[q(x) – q(x + dx)]·S·dt = dQ (3)

Здесь dQ – изменение количества тепла в стержне за время dt/

dQ = m· Cν ·dT = ρ ·dx ·S · Cν·dT (4)

В (4) m = ρ · dx ·S

m – масса участка стержня длины dx,

Сν – удельная теплоемкость

[dQ] = кг/м3·м·м2·Дж/ кг·К = Дж

По определению производной функции в левой части (3)

q = (x + dx) – q(x) =

 

Тогда из (3) и (4) следует:

 

(5)

Плотность теплового потока определяется по закону Фурье

(6)

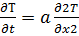
Тогда из (5) имеем

; (7)

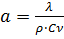
(7) уравнение молекулярной теплопроводности; a – коэффициент температуропроводности.

[C] = Дж/ кг·К для воды при нормальных условия с = 4200 Дж/кг·К (при изменении температуру 1кг воды на 1˚,необходимо 4200Дж количества тепла)

Если температуру необходимо повысить на 1˚, то нужно сообщить воде 4200 Дж тепла; а если температуру необходимо понизить на 1˚, то нужно отнять 4200 Дж тепла.

Разные вещества и среды имеют разное значение теплоемкости, которое зависит от внутренней структуры вещества.

В общем случае перенос тепла происходит в трехмерном пространстве и границы теплопроводности имеют вид:

(8)

стационарный случай.

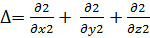
Оператор (∆) Лапласа:

(9)

В(8) – оператор Лапласа в декартовой системе координат.

При необходимости оператора Лапласа можно написать в цилиндрической и в сферической системах координат, (8) или (9) – дифференцированные уравнения в частных производных II порядка – уравнения параболического типа.

Их решения позволяют найти поле температуры в рассматриваемой области в любой момент времени Т = Т(x, y, z, t)




Поделиться с друзьями:


Дата добавления: 2015-05-26; Просмотров: 440; Нарушение авторских прав?; Мы поможем в написании вашей работы!


Нам важно ваше мнение! Был ли полезен опубликованный материал? Да | Нет



studopedia.su - Студопедия (2013 - 2025) год. Все материалы представленные на сайте исключительно с целью ознакомления читателями и не преследуют коммерческих целей или нарушение авторских прав! Последнее добавление




Генерация страницы за: 0.008 сек.