Студопедия

КАТЕГОРИИ:


Архитектура-(3434)Астрономия-(809)Биология-(7483)Биотехнологии-(1457)Военное дело-(14632)Высокие технологии-(1363)География-(913)Геология-(1438)Государство-(451)Демография-(1065)Дом-(47672)Журналистика и СМИ-(912)Изобретательство-(14524)Иностранные языки-(4268)Информатика-(17799)Искусство-(1338)История-(13644)Компьютеры-(11121)Косметика-(55)Кулинария-(373)Культура-(8427)Лингвистика-(374)Литература-(1642)Маркетинг-(23702)Математика-(16968)Машиностроение-(1700)Медицина-(12668)Менеджмент-(24684)Механика-(15423)Науковедение-(506)Образование-(11852)Охрана труда-(3308)Педагогика-(5571)Полиграфия-(1312)Политика-(7869)Право-(5454)Приборостроение-(1369)Программирование-(2801)Производство-(97182)Промышленность-(8706)Психология-(18388)Религия-(3217)Связь-(10668)Сельское хозяйство-(299)Социология-(6455)Спорт-(42831)Строительство-(4793)Торговля-(5050)Транспорт-(2929)Туризм-(1568)Физика-(3942)Философия-(17015)Финансы-(26596)Химия-(22929)Экология-(12095)Экономика-(9961)Электроника-(8441)Электротехника-(4623)Энергетика-(12629)Юриспруденция-(1492)Ядерная техника-(1748)

Стационарная теплопроводность плоского слоя при граничных условиях третьего рода




Рассмотрим теплопередачу через плоскую стенку.

Физическая постановка задачи. Задана: Теплопроводность и толщина стенки λ и l; температуры окружающей среды Тс1 и Тс2, (Тс1 > Тс2), коэффициенты теплоотдачи между стенкой и окружающей средой α1 и α2. Через стенку в направлении оси z происходит перенос тепла. Необходимо найти распределение температуры в стенке и тепловой поток через нее.

Математическая постановка задачи.


Интегрируем

 

решение уравнения (1)

Решение задачи.

Решение (1) имеет вид:

Для нахождения С1 и С2 из условий (2) и (3) получаем систему уравнений:

 


Решение этой системы:

 

 

Подставим С1 и С2 в (4):

(5)

Эти выражения определяют распределение температуры в стенке. Тепловой поток через стенку:

 

 

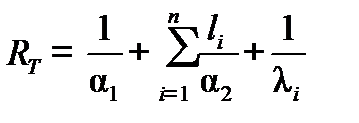
Тепловое сопротивление стенки

 

 

Большие коэффициенты теплообмена тепловое сопротивление


 

При этом граничные условия 3 рода переходят в граничные условия 1го рода.

 


Для многослойной среды (i =1,2,…n) с толщинами li и коэффициентами теплопроводности λ i.

 

 





Поделиться с друзьями:


Дата добавления: 2015-05-26; Просмотров: 640; Нарушение авторских прав?; Мы поможем в написании вашей работы!


Нам важно ваше мнение! Был ли полезен опубликованный материал? Да | Нет



studopedia.su - Студопедия (2013 - 2026) год. Все материалы представленные на сайте исключительно с целью ознакомления читателями и не преследуют коммерческих целей или нарушение авторских прав! Последнее добавление




Генерация страницы за: 0.013 сек.