Студопедия

КАТЕГОРИИ:


Архитектура-(3434)Астрономия-(809)Биология-(7483)Биотехнологии-(1457)Военное дело-(14632)Высокие технологии-(1363)География-(913)Геология-(1438)Государство-(451)Демография-(1065)Дом-(47672)Журналистика и СМИ-(912)Изобретательство-(14524)Иностранные языки-(4268)Информатика-(17799)Искусство-(1338)История-(13644)Компьютеры-(11121)Косметика-(55)Кулинария-(373)Культура-(8427)Лингвистика-(374)Литература-(1642)Маркетинг-(23702)Математика-(16968)Машиностроение-(1700)Медицина-(12668)Менеджмент-(24684)Механика-(15423)Науковедение-(506)Образование-(11852)Охрана труда-(3308)Педагогика-(5571)Полиграфия-(1312)Политика-(7869)Право-(5454)Приборостроение-(1369)Программирование-(2801)Производство-(97182)Промышленность-(8706)Психология-(18388)Религия-(3217)Связь-(10668)Сельское хозяйство-(299)Социология-(6455)Спорт-(42831)Строительство-(4793)Торговля-(5050)Транспорт-(2929)Туризм-(1568)Физика-(3942)Философия-(17015)Финансы-(26596)Химия-(22929)Экология-(12095)Экономика-(9961)Электроника-(8441)Электротехника-(4623)Энергетика-(12629)Юриспруденция-(1492)Ядерная техника-(1748)

Випробування на фосфати




Визначення домішок фосфатів проводять з сульфомолібденовим реактивом у присутності олова (2) хлориду, у порівнянні з еталонним розчином фосфатів – синє забарвлення випробуваного розчину не повинно бути більш інтенсивним, ніж забарвлення еталону:

Випробування на солі калію

При взаємодії солей калію з свіжоприготованим розчином натрію тетрафенілборатом утворюється біла опалесценція:

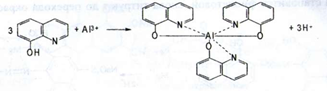
Випробування на солі алюмінію

Випробування засноване на взаємодії солей алюмінію з розчином гідроксихіноліна в хлороформі. Паралельно проводять аналогічні випробування з еталонним розчином і холостим розчином. Вимірюють інтенсивність флюоресценції випробуваного розчину, еталона і холостого розчину.

 

Визначення втрати в масі при висушуванні і води

Дані випробування вводять для контролю вмісту летких речовин і вологи в субстанції. Вода в лікарському речовині може міститися у вигляді капілярної, абсорбційно - пов'язаної, хімічно пов'язаної (гідратної і кристалогідратної) або вільною.

I. Визначення води полумікрометодом (метод К.Фішера) (ДФУ).

Реактив Фішера представляє собою розчин сірки (IV) оксиду, йоду і піридину в метанолі За допомогою йодсірчаного реактиву можна визначити швидко і точно будь-які кількості води як в органічних, так і в неорганічних сполуках. Метод дозволяє визначати як гігроскопічну, так і кристалізаційну воду.

В основі реакції лежить окислення сірчистого ангідриду йодом у присутності води:

Реакція оборотна. Для того, щоб зв'язати виділяющу кислоту йодистоводневу, а також знизити летючість сірчистого ангідриду, реакцію необхідно проводити в присутності піридину. Піридин, як слабка основа, пов'язує кислоту йодистоводневу і сірчистий ангідрид:

Метод дуже чутливий до вологи, але не застосуємо до з'єднань, що реагує з одним або декількома компонентами реактиву. Кінець титрування визначають візуально по зміні забарвлення від жовтої до червоно - коричневої (в цьому випадку - з контрольним досвідом) або електрометрично.

II. Визначення води методом відгону (ДФУ).

Відгонка води здійснюється за допомогою органічних розчинників (толуол і ін), з якими вода дає азеотропні суміші (більш низька температура кипіння в суміші, ніж у кожного з них). Потім вимірюється обсяг води в відгоні. Метод часто застосовують при дослідженні лікарської сировини.

III. Втрата в масі при висушуванні (ДФУ).

Наважку речовини поміщають у зважений бюкс і висушують до постійної маси (умови висушування вказані у відповідній статті). Постійне маса вважається досягнутою, якщо результати двох наступних зважувань відрізняються не більше ніж на 0,5 мг; інтервал часу між двома зважуваннями визначається властивостями і кількістю висушуваного залишку.

Можливі методи визначення води:

I. Газоволюметричний метод. Заснований на визначенні об'єму газу, що виділяється при взаємодії води з реактивом, який при цьому виділяє газоподібні продукти, наприклад, з карбідом кальцію:

II. Пікратний метод.

Неіонізовані молекули пікринової кислоти безбарвні, а в присутності води кислота іонізує з утворенням аніонів жовтого кольору:

Цей метод дає можливість визначити вологу кількісно колориметрично, у порівнянні зі стандартом.

Кількісне визначення.

Проводять визначення основної діючої речовини з використанням відповідних хімічних або фізико -хімічних методів.

 

 

Лікарські речовини, що містять елементи VII-VI груп періодичної системи Д. І. Менделєєва




Поделиться с друзьями:


Дата добавления: 2015-05-26; Просмотров: 752; Нарушение авторских прав?; Мы поможем в написании вашей работы!


Нам важно ваше мнение! Был ли полезен опубликованный материал? Да | Нет



studopedia.su - Студопедия (2013 - 2026) год. Все материалы представленные на сайте исключительно с целью ознакомления читателями и не преследуют коммерческих целей или нарушение авторских прав! Последнее добавление




Генерация страницы за: 0.007 сек.