Студопедия

КАТЕГОРИИ:


Архитектура-(3434)Астрономия-(809)Биология-(7483)Биотехнологии-(1457)Военное дело-(14632)Высокие технологии-(1363)География-(913)Геология-(1438)Государство-(451)Демография-(1065)Дом-(47672)Журналистика и СМИ-(912)Изобретательство-(14524)Иностранные языки-(4268)Информатика-(17799)Искусство-(1338)История-(13644)Компьютеры-(11121)Косметика-(55)Кулинария-(373)Культура-(8427)Лингвистика-(374)Литература-(1642)Маркетинг-(23702)Математика-(16968)Машиностроение-(1700)Медицина-(12668)Менеджмент-(24684)Механика-(15423)Науковедение-(506)Образование-(11852)Охрана труда-(3308)Педагогика-(5571)Полиграфия-(1312)Политика-(7869)Право-(5454)Приборостроение-(1369)Программирование-(2801)Производство-(97182)Промышленность-(8706)Психология-(18388)Религия-(3217)Связь-(10668)Сельское хозяйство-(299)Социология-(6455)Спорт-(42831)Строительство-(4793)Торговля-(5050)Транспорт-(2929)Туризм-(1568)Физика-(3942)Философия-(17015)Финансы-(26596)Химия-(22929)Экология-(12095)Экономика-(9961)Электроника-(8441)Электротехника-(4623)Энергетика-(12629)Юриспруденция-(1492)Ядерная техника-(1748)

Расчет внешнего теплообмена в рабочем пространстве печи




Режим нагрева заготовок

Расчет нагрева заготовок проводится в предположении:

· симметричного температурного поля в заготовке в зонах с двухсторонним обогревом;

· постоянной температуры газов в сварочной зоне.

 

Ширина рабочего пространства:

где n – число рядов заготовок

– расстояние между рядами заготовок или между торцами заготовок и боковыми стенками печи, м

l – длина заготовки, м

Средняя высота рабочего пространства печи принимаем:

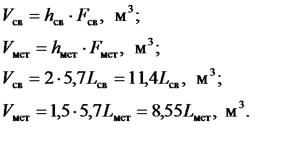
в сварочной зоне: hсв = 2 м

в методической зоне: hмет = 1,5 м

Площадь пода печи:

где Lсв, Lмет – соответственно длины сварочной и методической зон, м

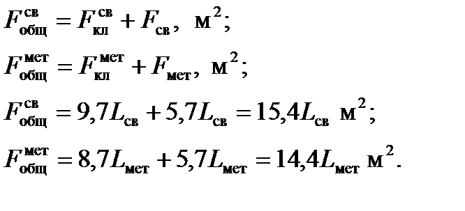
Внутренняя поверхность стен и свода в сварочной и методической зонах

Суммарная поверхность кладки и металла, окружающих газовый объем

 

 

Объем заполняемого газом рабочего пространства в сварочной и методической зонах:

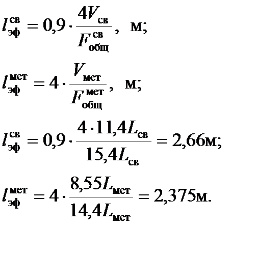
Средняя эффективная длина луча в сварочной и методической зонах:

Парциальное давление газов:

Изм.
Лист
№ докум.
Подпись
Дата
Лист
 
ЧГУ КП 280102.000.000 ПЗ

Степень черноты газов ε и ε в сварочной и методической зонах определяем по приложениям 5 и 6.

ε = 0,12;

ε = 0,14;

ε = 0,12;

ε = 0,14;

Температуру газов в сварочной зоне считаем постоянной, предварительно её можно принять на 50 выше температуры поверхности металла в конце нагрева.

 

 

Температура газов в сварочной зоне:

Изм.
Лист
№ докум.
Подпись
Дата
Лист
 
ЧГУ КП 280102.000.000 ПЗ
Средняя температура газов в методической зоне:

где температура уходящих газов ().

Степень черноты газов продуктов сгорания для сварочной и методической зоны в сварочной и методической зоны


где ­- поправочный коэффициент, учитывающий совместное действие CO2 и Н2О (определяем по приложению 7).

 

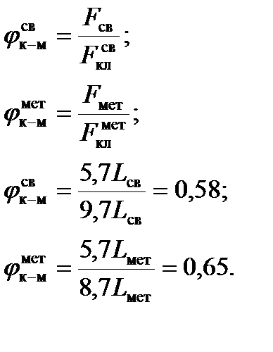
Угловой коэффициент излучения кладки на металл в сварочной и методической

зонах

Общая степень черноты системы газ-кладка-металл:

в сварочной зоне:

в методической зоне:

где степень черноты металла εм=0,8

 

Приведенный коэффициент излучения от газов и кладки металла:

, Вт/м2 ·К4

, Вт/м2 ·К4

Изм.
Лист
№ докум.
Подпись
Дата
Лист
 
ЧГУ КП 280102.000.000 ПЗ

Среднее значение приведенного коэффициента излучения:

, Вт/м2 ·К4

 




Поделиться с друзьями:


Дата добавления: 2015-05-26; Просмотров: 770; Нарушение авторских прав?; Мы поможем в написании вашей работы!


Нам важно ваше мнение! Был ли полезен опубликованный материал? Да | Нет



studopedia.su - Студопедия (2013 - 2026) год. Все материалы представленные на сайте исключительно с целью ознакомления читателями и не преследуют коммерческих целей или нарушение авторских прав! Последнее добавление




Генерация страницы за: 0.013 сек.