Студопедия

КАТЕГОРИИ:


Архитектура-(3434)Астрономия-(809)Биология-(7483)Биотехнологии-(1457)Военное дело-(14632)Высокие технологии-(1363)География-(913)Геология-(1438)Государство-(451)Демография-(1065)Дом-(47672)Журналистика и СМИ-(912)Изобретательство-(14524)Иностранные языки-(4268)Информатика-(17799)Искусство-(1338)История-(13644)Компьютеры-(11121)Косметика-(55)Кулинария-(373)Культура-(8427)Лингвистика-(374)Литература-(1642)Маркетинг-(23702)Математика-(16968)Машиностроение-(1700)Медицина-(12668)Менеджмент-(24684)Механика-(15423)Науковедение-(506)Образование-(11852)Охрана труда-(3308)Педагогика-(5571)Полиграфия-(1312)Политика-(7869)Право-(5454)Приборостроение-(1369)Программирование-(2801)Производство-(97182)Промышленность-(8706)Психология-(18388)Религия-(3217)Связь-(10668)Сельское хозяйство-(299)Социология-(6455)Спорт-(42831)Строительство-(4793)Торговля-(5050)Транспорт-(2929)Туризм-(1568)Физика-(3942)Философия-(17015)Финансы-(26596)Химия-(22929)Экология-(12095)Экономика-(9961)Электроника-(8441)Электротехника-(4623)Энергетика-(12629)Юриспруденция-(1492)Ядерная техника-(1748)

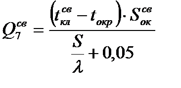
Потери тепла через закрытые окна печи




 

В сварочной зоне

где - площадь окон в сварочной зоне,м2

S – толщина стенки в 1 кирпич, м (S=0,230м)

λ- коэффициент теплопроводности материала окна при ,

В методической зоне

 

Изм.
Лист
№ докум.
Подпись
Дата
Лист
 
ЧГУ КП 280102.000.000 ПЗ
Потери тепла излучением через открытые окна

 

В сварочной зоне через окно выдачи

где – коэффициент диафрагмирования ( =0,8)

hвыд- высота окна выдачи (hвыд=0,5)

 

 

В методической зоне через окно посада

 

Общие потери тепла через окна печи

 

5.Потери тепла с окалиной

 

6.Потери тепла с охлаждающей водой

 

7.Неучтенные потери

 

Секундный расход топлива

 

Изм.
Лист
№ докум.
Подпись
Дата
Лист
 
ЧГУ КП 280102.000.000 ПЗ

Приходные и расходные статьи теплового баланса сводятся в таблицу 1.

 

 

Таблица 1. Тепловой баланс печи.

 

Статья Приход тепла Статья Расход тепла
кВт % кВт %
1. Тепло горения топлива 112628,9 82,2 1. Полезное тепло на нагрев металла 21433,68 15,2
2. Тепло, внесённое подогретым воздухом и топливом (газом) 20845,2 15,2 2. Потери тепла с уходящими газами. 72486,06 51,7
3. Тепло, выделившееся при окислении железа. 3515,55 2,6 3. Потери тепла теплопроводностью через кладку.   0,2
Итого: 136989,7   4. Потери тепла через окна печи. 675,7 0,4
      5. Потери тепла с окалиной. 1033,8 0,7
      6. Потери тепла с охлаждающей водой. 13347,6 9,5
        7. Неучтённые потери 10927,9 7,8
      Итого: 140202,3  

 

Изм.
Лист
№ докум.
Подпись
Дата
Лист
 
ЧГУ КП 280102.000.000 ПЗ
4. Основные теплотехнические показатели работы печи

Коэффициент использования химической энергии топлива , показывающий, какая доля химической энергии топлива остается в рабочем пространстве печи

Общая тепловая мощность Мобщ печи – количество тепла, вносимого в печь с химической энергией топлива в единицу времени:

Общая тепловая мощность складывается из полезной мощности М пол и мощности холостого хода М хх:

Полезная мощность есть тепло, которое необходимо ввести в печь в единицу времени с химической энергией топлива для нагрева изделий (без учёта тепла на покрытие тепловых потерь в рабочем пространстве печи)

– количество тепла, выделенного при сжигании топлива, усвоенное металлом в печи.

- тепло, усвоенное металлом от окисления железа

 

Полезная мощность

Мощность холостого хода

Изм.
Лист
№ докум.
Подпись
Дата
Лист
 
ЧГУ КП 28010200 ПЗ

Удельный расход тепла

Удельный расход условного топлива

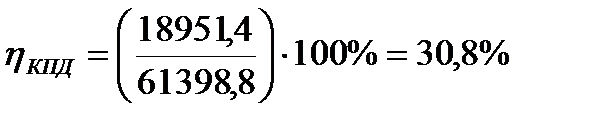
Коэффициент полезного действия печи




Поделиться с друзьями:


Дата добавления: 2015-05-26; Просмотров: 688; Нарушение авторских прав?; Мы поможем в написании вашей работы!


Нам важно ваше мнение! Был ли полезен опубликованный материал? Да | Нет



studopedia.su - Студопедия (2013 - 2026) год. Все материалы представленные на сайте исключительно с целью ознакомления читателями и не преследуют коммерческих целей или нарушение авторских прав! Последнее добавление




Генерация страницы за: 0.009 сек.