Студопедия

КАТЕГОРИИ:


Архитектура-(3434)Астрономия-(809)Биология-(7483)Биотехнологии-(1457)Военное дело-(14632)Высокие технологии-(1363)География-(913)Геология-(1438)Государство-(451)Демография-(1065)Дом-(47672)Журналистика и СМИ-(912)Изобретательство-(14524)Иностранные языки-(4268)Информатика-(17799)Искусство-(1338)История-(13644)Компьютеры-(11121)Косметика-(55)Кулинария-(373)Культура-(8427)Лингвистика-(374)Литература-(1642)Маркетинг-(23702)Математика-(16968)Машиностроение-(1700)Медицина-(12668)Менеджмент-(24684)Механика-(15423)Науковедение-(506)Образование-(11852)Охрана труда-(3308)Педагогика-(5571)Полиграфия-(1312)Политика-(7869)Право-(5454)Приборостроение-(1369)Программирование-(2801)Производство-(97182)Промышленность-(8706)Психология-(18388)Религия-(3217)Связь-(10668)Сельское хозяйство-(299)Социология-(6455)Спорт-(42831)Строительство-(4793)Торговля-(5050)Транспорт-(2929)Туризм-(1568)Физика-(3942)Философия-(17015)Финансы-(26596)Химия-(22929)Экология-(12095)Экономика-(9961)Электроника-(8441)Электротехника-(4623)Энергетика-(12629)Юриспруденция-(1492)Ядерная техника-(1748)

Расчет топливосжигающих устройств




Расчет дымовой трубы

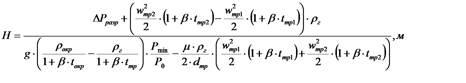
Действительное разряжение, создаваемое трубой должно быть на 30-50 % больше расчётной потери давления в тракте:

Определяем высоту трубы: Н=45м

 

Температура в устье трубы:

Средняя температура газов в трубе:

Приведенную скорость газов в устье дымовой трубы принимаем:

Изм.
Лист
№ докум.
Подпись
Дата
Лист
 
ЧГУ КП 280102.000.000 ПЗ
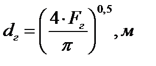
Диаметр в устье:

Диаметр трубы у основания:

Средний диаметр трубы

Приведенная скорость дымовых газов у основания трубы:

Высота дымовой трубы:

где Рmin - барометрическое давление, минимальное для данной местности

min =99 кПа)

P0 - нормальное атмосферное давление (101,32 кПа)

 

Расстояние между осями топливосжигающих устройств принимается 1 м.

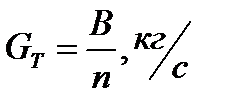
Производительность одной горелки

где n – количество горелок

Расчет диффузионных горелок низкого давления.

Принимаем скорости выхода из горелок (приведенные к нормальным условиям): газа воздуха

Площадь сечения для прохода газа

Диаметр газового сопла

Площадь сечения для прохода воздуха

Изм.
Лист
№ докум.
Подпись
Дата
Лист
 
ЧГУ КП 280102.000.000 ПЗ
Диаметр воздушного сопла

 

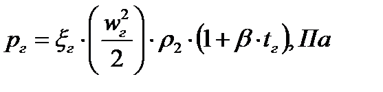
Избыточное давление газа перед горелкой

 

Избыточное давление воздуха перед горелкой:

где ζ - коэффициент сопротивления форсунки ζг=1,5

ζв=1,0

Изм.
Лист
№ докум.
Подпись
Дата
Лист
 
ЧГУ КП 280102.000.000 ПЗ

 

Длина факела:

где К – коэффициент (для природного газа К=1,5)

 

 

Изм.
Лист
№ докум.
Подпись
Дата
Лист
 
ЧГУ КП 280102.000.000 ПЗ




Поделиться с друзьями:


Дата добавления: 2015-05-26; Просмотров: 537; Нарушение авторских прав?; Мы поможем в написании вашей работы!


Нам важно ваше мнение! Был ли полезен опубликованный материал? Да | Нет



studopedia.su - Студопедия (2013 - 2026) год. Все материалы представленные на сайте исключительно с целью ознакомления читателями и не преследуют коммерческих целей или нарушение авторских прав! Последнее добавление




Генерация страницы за: 0.013 сек.