Студопедия

КАТЕГОРИИ:


Архитектура-(3434)Астрономия-(809)Биология-(7483)Биотехнологии-(1457)Военное дело-(14632)Высокие технологии-(1363)География-(913)Геология-(1438)Государство-(451)Демография-(1065)Дом-(47672)Журналистика и СМИ-(912)Изобретательство-(14524)Иностранные языки-(4268)Информатика-(17799)Искусство-(1338)История-(13644)Компьютеры-(11121)Косметика-(55)Кулинария-(373)Культура-(8427)Лингвистика-(374)Литература-(1642)Маркетинг-(23702)Математика-(16968)Машиностроение-(1700)Медицина-(12668)Менеджмент-(24684)Механика-(15423)Науковедение-(506)Образование-(11852)Охрана труда-(3308)Педагогика-(5571)Полиграфия-(1312)Политика-(7869)Право-(5454)Приборостроение-(1369)Программирование-(2801)Производство-(97182)Промышленность-(8706)Психология-(18388)Религия-(3217)Связь-(10668)Сельское хозяйство-(299)Социология-(6455)Спорт-(42831)Строительство-(4793)Торговля-(5050)Транспорт-(2929)Туризм-(1568)Физика-(3942)Философия-(17015)Финансы-(26596)Химия-(22929)Экология-(12095)Экономика-(9961)Электроника-(8441)Электротехника-(4623)Энергетика-(12629)Юриспруденция-(1492)Ядерная техника-(1748)

Прием и расходование малого груза




Предположим, что на судно принят относительно малый груз, сила тяжести которого p не превышает (5—10) % силы тяжести судна D. Обозначим через xp, yp, zp координаты ЦТ принятого груза. В результате приема груза изменятся средняя осадка и остойчивость, могут возникнуть крен и дифферент судна. Для упрощения вывода расчетных формул разобьем рассматриваемую операцию на две части. Сначала примем груз таким образом, чтобы не возникало ни крена, ни дифферента. Эта часть операции будет сопровождаться изменением средней осадки и метацентрической высоты. Затем перенесем в горизонтальной плоскости груз в место его фактического приема. При этом могут появиться крен и дифферент.

Чтобы при приеме малого груза не возникало крена и дифферента, ЦТ груза должен располагаться на одной вертикали с ЦТ площади ватерлинии. Поэтому примем вначале груз в точку с координатами x­f, 0, zp, где аппликата zp может быть любой. Изменение средней осадки определится формулой: . Найдем изменение поперечной метацентрической высоты , рассматривая его как сумму изменений слагаемых

. (10)

Изменение аппликаты ЦВ определяется формулой (см.модуль 4):

.

Изменение поперечного метацентрического радиуса равно , где — метацентрический радиус после приема груза; — метацентрический радиус до его приема. В формулах для r 1 и r 0 величина , а Ix 1 и Ix — моменты инерции площади ватерлинии после и до приема груза соответственно. Поскольку принятый груз полагаем малым, борта судна в пределах изменения осадки можно считать вертикальными, т. е. площадь действующей ватерлинии неизменна и, следовательно, . Тогда

. (11)

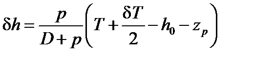
Подставляя значения и в (10) с учетом выражения для h 0 найдем

. (12)

Отсюда поперечная метацентрическая высота после приема груза равна

. (13)

Аналогичным путем определяется изменение продольной метацентрической высоты:

. (14)

Изменение продольного метацентрического радиуса находим аналогично,считая судно прямобортным

. (15)

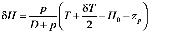
После подстановки значений , и в (14) получим

. (16)

Для большинства судов величина много меньше H 0. Поэтому приближенно можно положить

. (17)

Тогда продольная метацентрическая высота после приема груза равна

. (18)

В случае расходования груза величину p следует вводить со знаком минус.

Перейдем ко второй части операции: переместим груз в горизонтальной плоскости так, чтобы его ЦТ оказался в точке с координатами xp и yp.. Тогда изменения углов крена и дифферента будут равны

; (19)

. (20)

Проанализируем, как изменяются начальные метацентрические высоты при приеме (расходовании) малого груза в разные места по высоте судна. Рассматривая формулу (12), видим, что при аппликате ЦТ груза, равной

. (21)

изменение поперечной метацентрической высоты как в случае приема груза , так и в случае его расходования . Выражение (21) представляет собой уравнение горизонтальной плоскости, расположенной на высоте над основной. При приеме (расходовании) груза, ЦТ которого окажется на этой горизонтальной плоскости, поперечная метацентрическая высота не изменится. Такая горизонтальная плоскость называется нейтральной (иногда ее называют предельной). Если груз принят ниже нейтральной плоскости, т. е. , то согласно формуле (12) — поперечная метацентрическая высота увеличится. Если же груз принят выше нейтральной плоскости, т. е. , то — поперечная метацентрическая высота уменьшится. В случае расходования груза получается наоборот — снятие его с плоскости, лежащей ниже нейтральной плоскости, приводит к уменьшению поперечной метацентрической высоты, снятие же груза, расположенного выше нейтральной плоскости — к ее увеличению.

Рассматривая приближенную формулу (17), определяющую изменение продольной метацентри-ческой высоты, видим, что для большинства надводных судов прием любого малого груза приводит к уменьшению продольной метацентрической высоты, а любое расходование — к ее увеличению. Это объясняется расположением соответствующей нейтральной плоскости, которая согласно (16) приближенно описывается уравнением

, (22)

и, следовательно, практически всегда лежит ниже основной плоскости. Значит, груз, принятый или израсходованный в любом месте на судне, оказывается выше нейтральной плоскости, что должно приводить к уменьшению метацентрической высоты в случае приема и к ее увеличению в случае расходования груза.




Поделиться с друзьями:


Дата добавления: 2015-06-04; Просмотров: 1327; Нарушение авторских прав?; Мы поможем в написании вашей работы!


Нам важно ваше мнение! Был ли полезен опубликованный материал? Да | Нет



studopedia.su - Студопедия (2013 - 2025) год. Все материалы представленные на сайте исключительно с целью ознакомления читателями и не преследуют коммерческих целей или нарушение авторских прав! Последнее добавление




Генерация страницы за: 0.008 сек.