Студопедия

КАТЕГОРИИ:


Архитектура-(3434)Астрономия-(809)Биология-(7483)Биотехнологии-(1457)Военное дело-(14632)Высокие технологии-(1363)География-(913)Геология-(1438)Государство-(451)Демография-(1065)Дом-(47672)Журналистика и СМИ-(912)Изобретательство-(14524)Иностранные языки-(4268)Информатика-(17799)Искусство-(1338)История-(13644)Компьютеры-(11121)Косметика-(55)Кулинария-(373)Культура-(8427)Лингвистика-(374)Литература-(1642)Маркетинг-(23702)Математика-(16968)Машиностроение-(1700)Медицина-(12668)Менеджмент-(24684)Механика-(15423)Науковедение-(506)Образование-(11852)Охрана труда-(3308)Педагогика-(5571)Полиграфия-(1312)Политика-(7869)Право-(5454)Приборостроение-(1369)Программирование-(2801)Производство-(97182)Промышленность-(8706)Психология-(18388)Религия-(3217)Связь-(10668)Сельское хозяйство-(299)Социология-(6455)Спорт-(42831)Строительство-(4793)Торговля-(5050)Транспорт-(2929)Туризм-(1568)Физика-(3942)Философия-(17015)Финансы-(26596)Химия-(22929)Экология-(12095)Экономика-(9961)Электроника-(8441)Электротехника-(4623)Энергетика-(12629)Юриспруденция-(1492)Ядерная техника-(1748)

Плоская система сходящихся сил




ПРИМЕРЫ РЕШЕНИЯ ЗАДАЧ

ЗАДАЧА 1

Груз весом G = 2 кН (рис. 1) удерживается краном, состоящим из двух невесомых стержней в шарнирах АВ и АС, прикрепленных к вертикальной стене и составляющих с ней углы α1 = 60º и α2 = 40°. В точке А подвешен блок, через который перекинут грузовой трос, идущий к блоку в точке D и составляющий со стеной угол α3 = 60°.

Весом троса и блока, а также размерами блока можно пренебречь. Определить усилия в стержнях.

Решение. Рассмотрим находящийся в равновесии груз (рис. 2).

На него действуют две силы: сила тяжести Ğ и сила натяжения троса Ň1. Поскольку система сил уравновешена, можно сделать очевидный вывод: сила натяжения троса направлена по оси троса, является растягивающей и по модулю равна весу груза N1 = G.

Если для любого блока (рис. 3) пренебречь трением на его оси, то силы натяжения ветвей его троса одинаковы N1 = N2 (что легко видеть из уравнения моментов относительно центра блока).

 

 

Теперь в качестве объекта равновесия можно рассмотреть мысленно вырезанный узел в точке А или, что то же самое, блок с прилежащей к нему частью троса. На этот узел будут действовать силы натяжения ветвей троса N1 и N2 и реакции R1 и R2 стержней АВ и АС (рис. 4).

Реакции опорных стержней направим по оси этих стержней, считая их изначально растянутыми.

Составим теперь уравнения равновесия в виде проекций сил на оси х и у, учитывая, что силы R1, R2 и N2 составляют углы α1, α2 и α3 с осью у.

Отсюда, учитывая, что N1 = N2 = 2 кН, получаем

Решая эту систему уравнений, находим R1 = 0,611 кН, R2 = —3,52 кН. Знак «минус» у величины реакции R2 означает, что она имеет направление, противоположное принятому, то есть стержень АС не растянут, а сжат.
Ответ: R1 = 0,611 кН; R2 = -3,52 кН.

 

ЗАДАЧА 2

На невесомую балку, закрепленную с помощью неподвижного шарнира в точке А и троса в точке В, действует сила , модуль которой F = 5 кН (рис. 5). Учитывая указанные на рисунке геометрические размеры, определить реакции опор балки.

Решение. Рассмотрим балку, воспользуемся принципом освобождаемости от связей, отбросим их и введем соответствующие реакции. Реакция троса в точке В, как известно, направлена по тросу, а реакция шарнирно-неподвижной опоры имеет неизвестное направление.

 

Однако в данном случае определить ее направление позволяет теорема о трех силах, согласно которой линии действия трех непараллельных сил, под действием которых тело находится в равновесии, должны пересекаться в одной точке. В рассматриваемой схеме это будет точка O пересечения линий действия силы F и линии троса (рис. 6). Таким образом, реакция в точке А проходит по линии АО под углом β, величину которого найдем из треугольника: tgβ = и β = arctg ⅓.

Для определения величин реакций могут быть применены три способа: графический, графоаналитический и аналитический.

1. Графический способ. Следует построить в масштабе замкнутый силовой многоугольник, начиная с известной силы , а затем в произвольной последовательности остальные силы и .

Например, можно провести из конца силы линию действия реакции , а из ее начала — линию действия до их пересечения. Силы должны быть направлены в одну сторону по пути обхода контура (рис. 7).

Затем, измеряя отрезки и сравнивая их с масштабом, можно узнать величины неизвестных сил.

2. Графоаналитический способ. Здесь также строится силовой многоугольник, но только в виде геометрической схемы, рассматривая которую можно вычислить неизвестные стороны треугольника.

Для схемы (рис. 7) согласно теореме синусов получаем

 

Из этих уравнений имеем

3. Аналитический способ. Здесь не требуется построения силового многоугольника, необходима лишь расчетная схема с направлениями реакций (рис. 8). При этом не имеет значения, в какую сторону по линии действия направлять неизвестные силы.

Выбирая координатные оси х и у, записываем уравнения равновесия в проекциях на эти оси:

Решая эту систему уравнений, получаем

Отрицательный знак у величины RА означает, что действительное направление этой реакции противоположно выбранному на схеме.
Ответ: RА = -7, 9 кН; RB = 10, 6 кН.

 

ЗАДАЧА 3

(пространственная система сходящихся сил)

 

Подвеска идеального блока О лебедки состоит из трех невесомых стержней в шарнирах: двух горизонтальных АО и ВО, составляющих углы 45° с перпендикуляром к стене , и стержня СО, составляющего угол 60° с вертикальной линией стены (рис. 9).

Через блок перекинут трос, на одном конце которого подвешен неподвижный груз весом G = 10 кН. Другой конец, уходящий на лебедку, в точке Е стены составляет угол 30° с вертикалью . Определить усилия в стержнях подвески.

 

 

 

 

Решение. В качестве объекта, равновесие которого следует рассмотреть, выберем блок вместе с прилегающей к нему частью троса (узел в точке О ).

При условии, что размерами его можно пренебречь, действующие на него силы представляют собой систему сходящихся сил. Учитывая, что реакции опорных стержней направлены по линиям этих стержней, а силы натяжения по тросу, получаем расчетную схему (рис. 10).

 

 

 

Здесь G1 = G — сила натяжения ветви троса, идущей к лебедке в точке Е; направления реакций стержней выбраны в предположении, что стержни АО и ВО растянуты, а стержень СО — сжат.

Для удобства геометрического рассмотрения начало координат взято в точке D, ось х направлена по линии АВ, ось у — по , ось z— по .

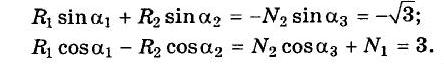
Записываем теперь условие равновесия пространственной системы сходящихся сил.

Решая эту систему, находим значения усилий в стержнях подвески:

Все усилия получились положительными, значит, их направления были изначально взяты правильно.

Можно отметить при этом, что усилия в стержнях подвески оказались значительно большими, чем вес удерживаемого ими груза, и существенно зависят от геометрических параметров (углов) самой конструкции подвески.
Ответ: RС = 37,3 кН; RА = RВ = 19,3 кН.

 

ЗАДАНИЕ С2




Поделиться с друзьями:


Дата добавления: 2015-06-04; Просмотров: 5845; Нарушение авторских прав?; Мы поможем в написании вашей работы!


Нам важно ваше мнение! Был ли полезен опубликованный материал? Да | Нет



studopedia.su - Студопедия (2013 - 2026) год. Все материалы представленные на сайте исключительно с целью ознакомления читателями и не преследуют коммерческих целей или нарушение авторских прав! Последнее добавление




Генерация страницы за: 0.009 сек.