Студопедия

КАТЕГОРИИ:


Архитектура-(3434)Астрономия-(809)Биология-(7483)Биотехнологии-(1457)Военное дело-(14632)Высокие технологии-(1363)География-(913)Геология-(1438)Государство-(451)Демография-(1065)Дом-(47672)Журналистика и СМИ-(912)Изобретательство-(14524)Иностранные языки-(4268)Информатика-(17799)Искусство-(1338)История-(13644)Компьютеры-(11121)Косметика-(55)Кулинария-(373)Культура-(8427)Лингвистика-(374)Литература-(1642)Маркетинг-(23702)Математика-(16968)Машиностроение-(1700)Медицина-(12668)Менеджмент-(24684)Механика-(15423)Науковедение-(506)Образование-(11852)Охрана труда-(3308)Педагогика-(5571)Полиграфия-(1312)Политика-(7869)Право-(5454)Приборостроение-(1369)Программирование-(2801)Производство-(97182)Промышленность-(8706)Психология-(18388)Религия-(3217)Связь-(10668)Сельское хозяйство-(299)Социология-(6455)Спорт-(42831)Строительство-(4793)Торговля-(5050)Транспорт-(2929)Туризм-(1568)Физика-(3942)Философия-(17015)Финансы-(26596)Химия-(22929)Экология-(12095)Экономика-(9961)Электроника-(8441)Электротехника-(4623)Энергетика-(12629)Юриспруденция-(1492)Ядерная техника-(1748)

Квантовая физика. Специальная теория относительности




Специальная теория относительности

Волновая оптика

Геометрическая оптика

Закон отражения света
Закон преломления света  
Полное внутреннее отражение
Абсолютный показатель преломления света
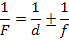
*Формула тонкой линзы
Оптическая сила линзы
Увеличение, даваемое линзой
Формула тонкой собирающей линзы
Формула тонкой рассеивающей линзы
Оптическая сила системы линз
Длина волны
Условие интерференционного усиления волн (максимума)
Условие интерференционного ослабления волн (минимума)
Условие дифракционного максимума
Условие дифракционного минимума
*Наибольший порядок спектра
Относительность промежутков времени
Относительность длины тела
Сложение скоростей
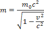
Относительность массы тела
Энергия тела
Полная энергия тела
Энергия фотона
Масса фотона
Импульс фотона
Красная граница фотоэффекта
Уравнение Эйнштейна для фотоэффекта
*Уравнение Стефана-Больцмана
*Радиус стационарной орбиты атома водорода
*Энергия стационарной орбиты атома водорода
Второй постулат Бора



Поделиться с друзьями:


Дата добавления: 2015-06-04; Просмотров: 360; Нарушение авторских прав?; Мы поможем в написании вашей работы!


Нам важно ваше мнение! Был ли полезен опубликованный материал? Да | Нет



studopedia.su - Студопедия (2013 - 2026) год. Все материалы представленные на сайте исключительно с целью ознакомления читателями и не преследуют коммерческих целей или нарушение авторских прав! Последнее добавление




Генерация страницы за: 0.007 сек.