Студопедия

КАТЕГОРИИ:


Архитектура-(3434)Астрономия-(809)Биология-(7483)Биотехнологии-(1457)Военное дело-(14632)Высокие технологии-(1363)География-(913)Геология-(1438)Государство-(451)Демография-(1065)Дом-(47672)Журналистика и СМИ-(912)Изобретательство-(14524)Иностранные языки-(4268)Информатика-(17799)Искусство-(1338)История-(13644)Компьютеры-(11121)Косметика-(55)Кулинария-(373)Культура-(8427)Лингвистика-(374)Литература-(1642)Маркетинг-(23702)Математика-(16968)Машиностроение-(1700)Медицина-(12668)Менеджмент-(24684)Механика-(15423)Науковедение-(506)Образование-(11852)Охрана труда-(3308)Педагогика-(5571)Полиграфия-(1312)Политика-(7869)Право-(5454)Приборостроение-(1369)Программирование-(2801)Производство-(97182)Промышленность-(8706)Психология-(18388)Религия-(3217)Связь-(10668)Сельское хозяйство-(299)Социология-(6455)Спорт-(42831)Строительство-(4793)Торговля-(5050)Транспорт-(2929)Туризм-(1568)Физика-(3942)Философия-(17015)Финансы-(26596)Химия-(22929)Экология-(12095)Экономика-(9961)Электроника-(8441)Электротехника-(4623)Энергетика-(12629)Юриспруденция-(1492)Ядерная техника-(1748)

Длина пути резания




Гребнистость дна борозды

Высота гребешков определяется координатами точки В (рис. 4.3):

,

где хВ - абсцисса вершины гребешка В;

х1 - абсцисса кромки ножа при ωt1+90°.

Рис. 4.3. Схема определения толщины стружки и гребнистости дна борозды

Из параметрических уравнений трохоиды (4.1) следует

;

ранее определенное значение S (4.3):

; или .

Подставляя х1 и S/2 в уравнение хВ можно получить:

.

Если значение yB обозначить как с (высота гребешков), то подставляя хВ и уВ в уравнение (4.2а), получим

;

или, если учесть, что

,

можно найти

.

Из этого уравнения можно найти высоту гребешков С, если известны параметры фрезы и λ, но чаще его используют для определения кинематического показателя λ, исходя из допустимого значения высоты гребешков сдоп:

,

тогда

. (4.5)

 

Под длиной пути резания стружки понимают длину отрезка трохоиды от поверхности поля до точки пересечения двух соседних траекторий в нижней части (точка В, рис. 4.3).

От длины пути резания в значительной мере зависят затраты энергии на процесс фрезерования. Чем меньше длина пути резания, тем меньше (при прочих равных условиях) работа на отрезание стружки и тем самым энергия, затрачиваемая на технологический процесс.

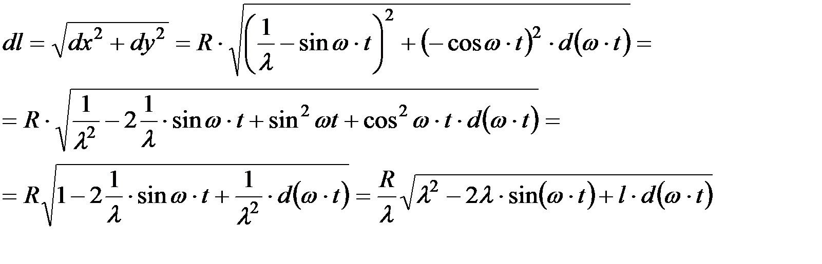
Элемент дуги траектории может быть определен как

. (4.6)

Поскольку

;

,

то

; ;

; ,

или

; ,

тогда

.

Если ввести обозначения

ωt = α; ωt1 = α; ωt2 = α,

где α1 - угол наклона ножа к горизонту при входе в почву;

α2 - угол наклона ножа к моменту конца резания стружки, то

.

Данный интеграл относится к типу эллиптических интегралов второго рода, и его определение представляет определенную трудность.

Угол α1 определяется из соотношения

, (4.8)

а угол

. (4.9)

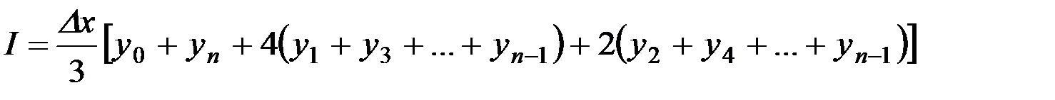
При наличии ЭВМ значительно проще произвести численное решение интеграла, например, по методу Симпсона с любой точностью.

, (4.10)

где Δх - шаг приращения аргумента при численном интегрировании;

yi - значение функции при фиксированном аргументе.

Вычисления длины пути резания позволяют проследить влияние различных параметров (R,λ,z) на энергетические показатели технологического процесса

 




Поделиться с друзьями:


Дата добавления: 2015-06-04; Просмотров: 1587; Нарушение авторских прав?; Мы поможем в написании вашей работы!


Нам важно ваше мнение! Был ли полезен опубликованный материал? Да | Нет



studopedia.su - Студопедия (2013 - 2025) год. Все материалы представленные на сайте исключительно с целью ознакомления читателями и не преследуют коммерческих целей или нарушение авторских прав! Последнее добавление




Генерация страницы за: 0.007 сек.