Студопедия

КАТЕГОРИИ:


Архитектура-(3434)Астрономия-(809)Биология-(7483)Биотехнологии-(1457)Военное дело-(14632)Высокие технологии-(1363)География-(913)Геология-(1438)Государство-(451)Демография-(1065)Дом-(47672)Журналистика и СМИ-(912)Изобретательство-(14524)Иностранные языки-(4268)Информатика-(17799)Искусство-(1338)История-(13644)Компьютеры-(11121)Косметика-(55)Кулинария-(373)Культура-(8427)Лингвистика-(374)Литература-(1642)Маркетинг-(23702)Математика-(16968)Машиностроение-(1700)Медицина-(12668)Менеджмент-(24684)Механика-(15423)Науковедение-(506)Образование-(11852)Охрана труда-(3308)Педагогика-(5571)Полиграфия-(1312)Политика-(7869)Право-(5454)Приборостроение-(1369)Программирование-(2801)Производство-(97182)Промышленность-(8706)Психология-(18388)Религия-(3217)Связь-(10668)Сельское хозяйство-(299)Социология-(6455)Спорт-(42831)Строительство-(4793)Торговля-(5050)Транспорт-(2929)Туризм-(1568)Физика-(3942)Философия-(17015)Финансы-(26596)Химия-(22929)Экология-(12095)Экономика-(9961)Электроника-(8441)Электротехника-(4623)Энергетика-(12629)Юриспруденция-(1492)Ядерная техника-(1748)

Методические указания. На объем производства и реализации продукции влияют факторы, связанные с эф­фективностью использования трудовых и материальных ресурсов




На объем производства и реализации продукции влияют факторы, связанные с эф­фективностью использования трудовых и материальных ресурсов, основных средств.

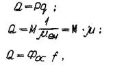
Для величины влияния факторов объемреализациипродукции представляется как произведение взаимодействующих факторов:

где Q - объем реализации продукции (работ, услуг); Р - среднеспи­сочная численность промышленно-производственного персонала; q - производительность труда; M - материальные затраты на производство продукции; mем - материалоёмкость про­дукции; m- материалоотдача продукции; Фос -среднегодовая стоимость производственных основных средств ос­новного вида деятельности; f - фондоотдача.

Величину воздействия указанных факторов на изменение объема реализации продукции (работ, услуг) можно установить элиминированием.

Элиминирование - прием факторного анализа при функциональной связи между показателями. Элиминирование позволяет измерить влияние факторов на обобщающий показатель при исключении дей­ствия остальных факторов. Применяются три основных способа элиминирова­ния: цепные подстановки, разницы, интегральный метод, При ис­пользовании способа цепных подстановок и способа разниц коли­чественные значения факторов зависят от последовательности вы­числения влияния факторов. Поэтому расчеты начинают с опреде­ления влияния количественных факторов (численности персонала, стоимости основных средств, материальных затрат и т.п.).

Интегральный метод позволяет рассчитать однозначные оценки влияния факторов при любой последовательности вычисления, од­нако использование интегрального метода требует знания основ математического анализа и проведения значительного объема вы­числений.

Алгоритм применения способа цепных подстановок:

где Уо и У1 - значения обобщающего показателя, соответственно базовое и фактическое; а, b, с - факторы (показатели), дей­ствующие на обобщающий показатель.

Абсолютное изменение обобщающего показателя D У:

Находим корректированные значения обобщающего показателя путем последовательной замены базовых значений факторов на фактические значения. Сравнение значений двух стоящих рядом обобщающих показателей в цепи подстановок позволяет вычислить влияние того фактора, базовое значение которого заменялось на фактическое.

Первая подстановка:

Определяем влияние изменения фактора а на изменение обоб­щающего показателя:

Вторая подстановка:

Определим влияние изменения факторов на изменение обобщаю­щего показателя:

Число подстановок равно n-1, где п - число факторов. Проверку влияния факторов на отклонение обобщающего показа­теля проведем балансовым приемом:

Алгоритм применения способа разниц:

где Уо и У1 - значения обобщающего показателя, соответственно базовое и фактическое; a, b, c - факторы (показатели), действующие на обобщающий показатель.

Абсолютное изменение обобщающего показателя У:

Определяем влияние изменения фактора а на изменение обоб­щающего показателя:

Определяем влияние изменения фактора b на отклонение обоб­щающего показателя:

Проверку влияния факторов на изменение обобщающего показа­теля проводят балансовым приемом

Алгоритм применения интегрального метода при двух факторах (а, b), влияющих на показатель D У, определяется:

Определяем влияние изменения фактора а:

Определяем влияние изменения фактора b:

DУ(b)=a0Db+1/2DaDb.

При влиянии трех факторов на обобщающий показатель DУ:

Задача 2
Анализ факторов, влияющих на прибыльот продаж
продукции (работ, услуг)

1. Требуется определить:

а) темп роста объема реализации продукции (работ, услуг);

б) прибыль от продаж продукции (работ, услуг);

в) увеличение (+), снижение (-) прибыли от продаж про­дукции (работ, услуг) в отчетном периоде по сравнению с преды­дущим;

г) влияние отдельных факторов на изменение прибыли от реа­лизации продукция (работ, услуг);

- цен продаж;

- полной себестоимости;

- объема реализации продукции (работ, услуг);

- структуры реализованной продукции (работ, услуг).

2. Дайте оценку влияния уровня рентабельности отдельных из­делий на прибыль от реализации продукция (работ, услуг).

Источниками информации для факторного анализа прибыли от продаж продукции (работ, услуг) является форма №2 бухгал­терской отчетности: "Отчет о прибылях и убытках". Также требуется прямой пересчет показателя выруч­ки от продаж продукции (работ, услуг) отчетного периода по ценам продаж предыдущего периода, показателя затрат на про­изводство фактически реализованной продукции (работ, услуг) в отчетном периоде по себестоимости предыдущего периода.

Исходные данные для факторного анализа прибыли от продаж продукции (работ, услуг) приведены в табл. 2.1.

Таблица 2.1. Исходные данные для влияния факторов на прибыль от продаж (работ, услуг), тыс. руб.

Вари­ант     Наименование показателя     Отчет за предыдущий период   Фактически реализован­ная продукция в отчет­ном периоде
в ценах, по себестоимо­сти преды­дущего пе­риода в ценах, по себестоимо­сти отчетного пе­риода
I Выручка от реализации продукций (работ, услуг)      
Затраты на производст­во и реализацию про­дукции (работ, услуг)   I606I5  
  То же   I323I6  
  -"-      
  -"-      
  -"- 6I9I0    
  -"-      
  -"- I030I0    
  -"-      
  -"-      
  -"-      



Поделиться с друзьями:


Дата добавления: 2015-06-04; Просмотров: 296; Нарушение авторских прав?; Мы поможем в написании вашей работы!


Нам важно ваше мнение! Был ли полезен опубликованный материал? Да | Нет



studopedia.su - Студопедия (2013 - 2026) год. Все материалы представленные на сайте исключительно с целью ознакомления читателями и не преследуют коммерческих целей или нарушение авторских прав! Последнее добавление




Генерация страницы за: 0.01 сек.