Студопедия

КАТЕГОРИИ:


Архитектура-(3434)Астрономия-(809)Биология-(7483)Биотехнологии-(1457)Военное дело-(14632)Высокие технологии-(1363)География-(913)Геология-(1438)Государство-(451)Демография-(1065)Дом-(47672)Журналистика и СМИ-(912)Изобретательство-(14524)Иностранные языки-(4268)Информатика-(17799)Искусство-(1338)История-(13644)Компьютеры-(11121)Косметика-(55)Кулинария-(373)Культура-(8427)Лингвистика-(374)Литература-(1642)Маркетинг-(23702)Математика-(16968)Машиностроение-(1700)Медицина-(12668)Менеджмент-(24684)Механика-(15423)Науковедение-(506)Образование-(11852)Охрана труда-(3308)Педагогика-(5571)Полиграфия-(1312)Политика-(7869)Право-(5454)Приборостроение-(1369)Программирование-(2801)Производство-(97182)Промышленность-(8706)Психология-(18388)Религия-(3217)Связь-(10668)Сельское хозяйство-(299)Социология-(6455)Спорт-(42831)Строительство-(4793)Торговля-(5050)Транспорт-(2929)Туризм-(1568)Физика-(3942)Философия-(17015)Финансы-(26596)Химия-(22929)Экология-(12095)Экономика-(9961)Электроника-(8441)Электротехника-(4623)Энергетика-(12629)Юриспруденция-(1492)Ядерная техника-(1748)

Методические указания. Обобщающим показателем использования ос­новных производственных фондов является фондоотдача ( f ):




Обобщающим показателем использования ос­новных производственных фондов является фондоотдача (f):

где Q - объем реализации продукции (работ, услуг), тыс. руб.; фос. -среднегодовая стоимость основных средств, тыс. руб.

Общим показателем использования средств труда является фон­довооруженность труда (f вт):

где фос - среднегодовая стоимость производственных основных средств, тыс. руб.; Р - среднесписочная численность ППП, чел.

Обобщающий показатель производительности труда - выработка объема продукции (работ, услуг) на одного работника ППП (q):

где Q,- объем реализации продукции (работ, услуг), руб.

Фондоотдача (f) во многом зависит от достигнутого уровня производительности труда (q) и его фондовооруженности (f вт):

В ходе анализа необходимо определить соотношение темпов роста показателей и сделать вывод о характере развития предприятия и уровне использования ресурсов.

Производительность труда исчисляется в расчете на одного работника ППП (q) и одного рабочего (qр). Наличие этих двух показателей позволяет проанализировать сдвиги в структуре персонала предприятия.

При правильном соотношении ППП (Р) и численности рабочих (Рр) соотношение между темпами роста производительности труда одного ППП (Jq)и одного рабочего (Jqр) должно быть следующим:

Взаимосвязь показателей удельного веса численности рабочих ППП (gРр), производительности труда одного рабочего (qр) и одного работника ППП (q) может быть выражена следующее формулой:

Величину влияния указанных факторов на изменение производительности труда (Dq) можно определить одним из способов элиминирования.

При улучшении использования рабочего времени в отчетном году по сравнению с предыдущим годом соотношение между темпами роста производительности труда одного рабочего годовой (Jq), дневной (Jqдн) и часовой (Jqчас) должно быть следующим: '

Взаимосвязь показателей использования рабочего времени я производительности труда одного рабочего может быть выражена следующей формулой:

где qp - годовая производительность труда одного рабочего, руб.; D – число дней, отработанных одним рабочим в год; t - продолжительность рабочего дня, ч; qpчас – среднечасовая производительность одного рабочего, руб.

Взаимосвязь объема продукции, численности рабочих, исполь­зования рабочего времени и среднечасовой производительности труда одного рабочего выражается следующей формулой:

Величину влияния указанных факторов на изменение объема продукции (работ, услуг) можно определить одним из способов элиминирования.

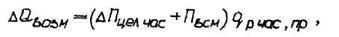
Возможное изменение выпуска продукции(DQвозм) за счет сокращения потерь рабочего времени по сравнению с предыдущим годом определяется по формуле:

где DП цел.чac - изменение целодневных потерь рабочего времени по сравнению с предыдущим годом, ч; D Пвсм - изменение внутрисменных потерь рабочего времени по сравнению о пре­дыдущим годом; qpчас,пр - среднечасовая производительность труда одного рабочего в предыдущем году, руб.

Потери рабочего времени по сравнению с предыдущим годом определяются во формулам:

целодневные, ч:

внутри сменные:

 

где Dпр, Dф - число дней, отработанных одним рабочим соот­ветственно в предыдущем и отчетном году; tпр, tф - продолжительность рабочего дня соответственно в предыдущем и в отчет­ном году; Ррф - среднесписочная численность рабочих в отчет­ном году.

Доля прироста объема продукции за счет изменения уровня фон­доотдачи (DQ(f)%) определяется по формуле

где JQ – темп роста объема продукции (работ, услуг), %; Jф ос – темп роста среднегодовой стоимости производственных основных средств, %.

Доля прироста объема продукции за счет повышения производительности труда (DQ(q)%)определяется по формуле:

где Jр - темп роста численности ППП, %.

Задача 4
Факторный анализ уровня рентабельности
производственных фондов

1. Требуется определить:

а) уровень рентабельности производственных фондов;

б) изменение рентабельности производственных фондов по срав­нению с предыдущим годом;

в) влияние отдельных факторов на изменение уровня рентабель­ности производственных фондов:

- фондоотдачи;

- коэффициента закрепления материальных оборотных средств;

- прибыли на 1 рубль выручки от реализации продукции (работ, услуг).

2. Укажите пути повышения уровня рентабельности производственных фондов.

Исходные данные по вариантам для анализа уровня рентабельности приведены в табл. 4.1.

Таблица 4.1. Исходные данные для расчета уровня рентабельности производственных фондов и влияния факторов на изменение рентабельности, тыс.руб.

Вари­анты Показатели
    Выручка от реализации продукции (работ, услуг) Балансовая прибыль Среднегодовая стоимость основных средств Средняя стои­мость мате­риальных обо­ротных средств
    Преды­дущий год Отчет­ный год Преды­дущий год Отчет­ный год Предыду­щий год Отчетный год Преды­дущий год Отчет­ный год
I               20I4I5
  I3C620              
              2I293I  
              62205  
                 
            I963I6    
                 
S                
    I205S4       9III6    
                 

 




Поделиться с друзьями:


Дата добавления: 2015-06-04; Просмотров: 244; Нарушение авторских прав?; Мы поможем в написании вашей работы!


Нам важно ваше мнение! Был ли полезен опубликованный материал? Да | Нет



studopedia.su - Студопедия (2013 - 2026) год. Все материалы представленные на сайте исключительно с целью ознакомления читателями и не преследуют коммерческих целей или нарушение авторских прав! Последнее добавление




Генерация страницы за: 0.012 сек.