Студопедия

КАТЕГОРИИ:


Архитектура-(3434)Астрономия-(809)Биология-(7483)Биотехнологии-(1457)Военное дело-(14632)Высокие технологии-(1363)География-(913)Геология-(1438)Государство-(451)Демография-(1065)Дом-(47672)Журналистика и СМИ-(912)Изобретательство-(14524)Иностранные языки-(4268)Информатика-(17799)Искусство-(1338)История-(13644)Компьютеры-(11121)Косметика-(55)Кулинария-(373)Культура-(8427)Лингвистика-(374)Литература-(1642)Маркетинг-(23702)Математика-(16968)Машиностроение-(1700)Медицина-(12668)Менеджмент-(24684)Механика-(15423)Науковедение-(506)Образование-(11852)Охрана труда-(3308)Педагогика-(5571)Полиграфия-(1312)Политика-(7869)Право-(5454)Приборостроение-(1369)Программирование-(2801)Производство-(97182)Промышленность-(8706)Психология-(18388)Религия-(3217)Связь-(10668)Сельское хозяйство-(299)Социология-(6455)Спорт-(42831)Строительство-(4793)Торговля-(5050)Транспорт-(2929)Туризм-(1568)Физика-(3942)Философия-(17015)Финансы-(26596)Химия-(22929)Экология-(12095)Экономика-(9961)Электроника-(8441)Электротехника-(4623)Энергетика-(12629)Юриспруденция-(1492)Ядерная техника-(1748)

Проверка нормальности распределения результативного признака




Уравновешивание комплексов

Создание комплексов

Подготовка данных к дисперсионному анализу

Лучше всего для каждого испытуемого создать отдельную кар­точку, куда были бы занесены данные по всем исследованным призна­кам. Дело в том, что в процессе анализа у исследователя могут изме­ниться гипотезы. Потребуется создавать, быть может, не один, а мно­жество дисперсионных комплексов, различающихся как по факторам, так и по результативным признакам. Карточки помогут нам быстро создавать новые дисперсионные комплексы. Благодаря карточкам мы сразу увидим, равномерно ли распределяются данные по градациям в случае, если за фактор мы решили принять один из исследованных пси­хологических признаков. С помощью карточек мы можем помочь себе выделить три, четыре или более градаций этого фактора, например, уровни мотивации, настойчивости, креативности и др.

Комплекс, в котором каждая ячейка представлена одинаковым количеством наблюдений, называется равномерным. Равномерность комплекса позволяет нам обойти требование равенства дисперсий в ка­ждой из ячеек комплекса (Шеффе Г., 1980).

Равномерные комплексы позволяют также избежать значитель­ных трудностей, которые неизбежно возникают при обсчете неравно­мерных, или неортогональных, комплексов. В настоящем руководстве приведены алгоритмы расчета лишь для равномерных комплексов. С методами обсчета неравномерных комплексов можно ознакомиться у НА. Плохинского (1970), Г.В. Суходольского (1972), Г. Шеффе (1980).

В случае, если в разных градациях комплекса оказалось неравное количество наблюдений, необходимо отсеять некоторые из них. Если вкомплексе со связанными выборками кто-либо из испытуемых не был подвергнут одному из условий действия переменной (градаций факто­ра), то его данные исключаются. Если же комплекс включает незави­симые выборки, каждая из которых была подвергнута определенному условию воздействия (градации фактора), то "лишние" испытуемые вкакой-либо из ячеек комплекса отсеиваются путем случайного выбора необходимого количества карточек.

Дисперсионный анализ относится к группе параметрических мето­дов и поэтому его следует применять только тогда, когда известно илидоказано, что распределение признака является нормальным (Суходольский Г.В., 1972; Шеффе Г., 1980 и др.). Строго говоря, перед тем, как применять дисперсионный анализ, мы должны убедиться в нормальности распределения результативного признака. Нормальность распределения результативного признака можно проверить путем расче­та показателей асимметрии и эксцесса и сопоставления их с критическими значениями (Пустыльник Е.И., 1968* Плохинский Н.А., 1970 и др.).

Произведем необходимые расчеты на примере параграфа 8.3, в котором анализируется длительность мышечного волевого усилия.

Действовать будем по следующему алгоритму:

а) определим показатели асимметрии и эксцесса по формулам Н.А. Плохинского и сопоставим их с критическими значениями, указан­ными Н.А. Плохинским;

б) рассчитаем критические значения показателей асимметрии и эксцесса по формулам Е.И. Пустыльника и сопоставим с ними эмпирические значения;

в) если эмпирические значения показателей окажутся ниже критиче­ских, сделаем вывод о том, что распределение признака не отличает­ся от нормального.

Таблица 7.1

Вычисление показателей асимметрии и эксцесса по показателю длитель­ности попыток решения анаграмм

хi i – ) i – )2 i – )3 i – )4
    0,94 0,884 0.831 0,781
    2,94 8,644 25,412 74,712
    1.94 3,764 7,301 14,165
    -1,06 1,124 -1,191 1,262
    -0.06 0,004 -0,000 0,000
    0,94 0,884 0,831 0,781
    -2,06 4,244 -8.742 18,009
    -0,06 0,004 -0,000 0,000
    4,94 24,404 120,554 595,536
    3,94 15,524 61,163 240,982
И   -2,06 4,244 -8,742 18,009
    -3.06 9,364 -28,653 87,677
    -0.06 0,004 -0,000 0,000
    -0,06 0.004 -0,000 0,000
    -5,06 25,604 -129,554 655,544
    -2,06 4,244 -8,742 18,009
Суммы     102,944 30,468 1725,467

Для расчетов в Табл. 7.1 необходимо сначала определить сред­нюю арифметическую по формуле:

где хi - каждое наблюдаемое значение признака;

n - количество наблюдений. В данном случае:

Стандартное отклонение (сигма) вычисляется по формуле:

где хi - каждое наблюдаемое значение признака; среднее значение (среднее арифметическое); n - количество наблюдений. В данном случае:

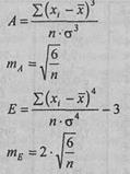
Показатели асимметрии и эксцесса с их ошибками репрезента­тивности определяются по следующим формулам:

где i ) - центральные отклонения;

σ - стандартное отклонение;

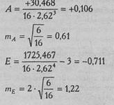
п - количество испытуемых. В данном случае:

 

 

Показатели асимметрии и эксцесса свидетельствуют о достовер­ном отличии эмпирических распределений от нормального в том случае, если они превышают по абсолютной величине свою ошибку репрезентативности в 3 и более раз:

Мы видим, что оба показателя не превышают в три раза свою ошибку репрезентативности, из чего мы можем заключить, что распре­деление данного признака не отличается от нормального.

Теперь произведем проверку по формулам Е.И. Пустыльника. Рассчитаем критические значения для показателей А и Е:

 

 

Итак, оба варианта проверки, по Н.А. Плохинскому и по Е.И. Пустыльнику, дают один и тот же результат: распределение результа­тивного признака в данном примере не отличается от нормального рас­пределения.

Можно выбрать любой из двух предложенных вариантов провер­ки и придерживаться его. При больших объемах выборки, по-видимому, стоит производить расчет первичных статистик (оценок па­раметров) на ЭВМ.

 




Поделиться с друзьями:


Дата добавления: 2015-06-04; Просмотров: 1294; Нарушение авторских прав?; Мы поможем в написании вашей работы!


Нам важно ваше мнение! Был ли полезен опубликованный материал? Да | Нет



studopedia.su - Студопедия (2013 - 2026) год. Все материалы представленные на сайте исключительно с целью ознакомления читателями и не преследуют коммерческих целей или нарушение авторских прав! Последнее добавление




Генерация страницы за: 0.011 сек.